ДИСТАНЦИОННАЯ ОЦЕНКА ХАРАКТЕРИСТИК НЕИЗУЧЕННЫХ ОЗЁР СЕВЕРНЫХ ТЕРРИТОРИЙ
- Авторы: Зверев И.С.1, Расулова А.М.1, Голосов С.Д.1, Кондратьев С.А.1
- 
							Учреждения: 
							- Институт озероведения РАН – подразделение Санкт-Петербургского Федерального исследовательского центра РАН
 
- Выпуск: Том 93, № 5 (2023)
- Страницы: 456-461
- Раздел: ИЗ РАБОЧЕЙ ТЕТРАДИ ИССЛЕДОВАТЕЛЯ
- URL: https://journals.rcsi.science/0869-5873/article/view/140550
- DOI: https://doi.org/10.31857/S0869587323050110
- EDN: https://elibrary.ru/VXEOCE
- ID: 140550
Цитировать
Полный текст
Аннотация
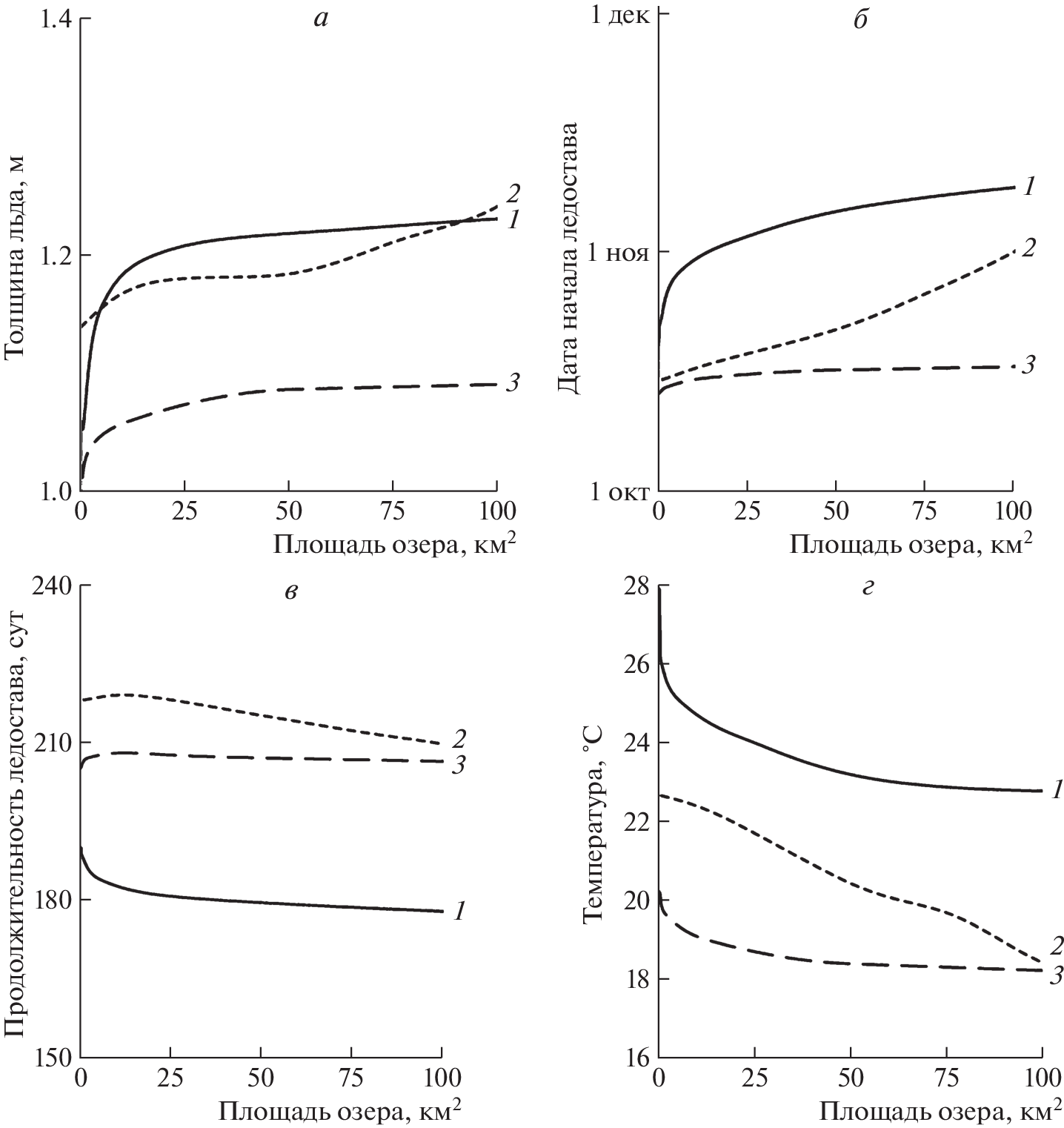
В статье предложена методика оценки гидрофизических и химико-биологических характеристик неизученных малых и средних озёр (площадью до 100 км2) северных территорий России (на примере Восточной Фенноскандии) с использованием методов дистанционного зондирования и математического моделирования. Она основана на использовании одномерной модели гидротермодинамических процессов в водоёмах FLake. По данным спутниковой съёмки подстилающей поверхности определяется площадь озера, связанная частными эмпирическими зависимостями со средней глубиной, которая является входным параметром для применения модели. Кроме того, используются ряды метеоэлементов стандартных измерений, получаемых по географическим координатам выбранного объекта из метеорологического реанализа семейства ERA5.
Таким образом можно оценить термические характеристики водоёма, а также рассчитать содержание растворённого кислорода в различных слоях водной массы и вероятность возникновения бескислородных условий. При этом не требуются контактные измерения, что крайне важно при исследовании труднодоступных и малоизученных северных территорий нашей страны.
Об авторах
И. С. Зверев
Институт озероведения РАН – подразделение Санкт-ПетербургскогоФедерального исследовательского центра РАН
														Email: vestnik.ran@yandex.ru
				                					                																			                												                								Россия, Санкт-Петербург						
А. М. Расулова
Институт озероведения РАН – подразделение Санкт-ПетербургскогоФедерального исследовательского центра РАН
														Email: vestnik.ran@yandex.ru
				                					                																			                												                								Россия, Санкт-Петербург						
С. Д. Голосов
Институт озероведения РАН – подразделение Санкт-ПетербургскогоФедерального исследовательского центра РАН
														Email: vestnik.ran@yandex.ru
				                					                																			                												                								Россия, Санкт-Петербург						
С. А. Кондратьев
Институт озероведения РАН – подразделение Санкт-ПетербургскогоФедерального исследовательского центра РАН
							Автор, ответственный за переписку.
							Email: vestnik.ran@yandex.ru
				                					                																			                												                								Россия, Санкт-Петербург						
Список литературы
- Стратегия развития Арктической зоны Российской Федерации и обеспечения национальной безопасности на период до 2035 года. http://kremlin.ru/acts/news/64274 (дата обращения 01.02.2023).
- Измайлова А.В. Озёрный фонд Арктической зоны Российской Федерации // MGO 2020 им. Л.Н. Карлина. Труды IV Всероссийской конференции “Гидрометеорология и экология: достижения и перспективы развития”. 16–17 декабря. СПб.: Химиздат, 2020. С. 181–184.
- Мякишева Н.В. Многокритериальная классификация озёр. СПб.: РГГМУ, 2009.
- Исаченко А.Г., Шляпников А.А. Ландшафты. М.: Мысль, 1989.
- Физико-географическое районирование (М 1 : : 15 000 000) // Национальный атлас России. Т. 2. Природа и экология. М.: ПКО “Картография”, 2007. С. 350–351.
- Шульга М. Представление озёр в моделях погоды и климата: внешние параметры, объективный анализ температуры поверхности воды и верификация. Дисс. … канд. физ.-мат. наук. СПб.: РГГМУ, 2015.
- Рянжин С.В., Ульянова Т.Ю. Геоинформационная система “озёра мира” – GIS WORLDLAKE // Доклады Академии наук. 2000. № 4. С. 542–545.
- Кочков Н.В., Рянжин С.В. Озёра мира WORLDLAKE / Свидетельство о государственной регистрации базы данных № 2015621549. Заявка № 2015620713. ИНОЗ РАН, 2015.
- Lehner B., Grill G. Global River hydrography and network routing: Baseline data and new approaches to study the world’s large river systems // Hydrological Processes. 2013. № 15. P. 2171–2186.
- Mironov D.V. Parameterization of Lakes in Numerical Weather Prediction. Description of a Lake Model // COSMO Technical Report № 11. Offenbach am Main: German Weather Service, 2008.
- Mironov D., Heise E., Kourzeneva E. et al. Implementation of the lake parameterization scheme Flake into the numerical weather prediction model COSMO // Boreal environ. Res. 2010. V. 15. P. 218–230.
- Golosov S., Kirillin G. A parameterized model of heat storage by lake sediments // Environmental Modelling & Software. 2010. V. 25 (6). P. 793–801.
- Choulga M., Kourzeneva E., Zakharova E. et al. Estimation of the mean depth of boreal lakes for use in nume-rical weather prediction and climate modelling // Tellus A: Dynamic Meteorology and Oceanography. 2014. V. 66 (1). P. 21295.
- Golosov S., Maher O.A., Schipunova E. et al. Physical Background of Oxygen Depletion Development in Ice-Covered Lakes // Oecologia. 2007. V. 151. P. 331–340.
- Mironov D.V., Golosov S.D., Zilitinkevich S.S. et al. Seasonal changes of temperature and mixing conditions in a lake. Modelling Air-Lake Interaction. Physical Background / Ed. S.S. Zilitinkevich. Berlin: Springer-Verlag, 1991. P. 74–90.
- Тержевик А.Ю., Пальшин Н.И., Голосов С.Д. и др. Гидрофизические аспекты формирования кислородного режима мелководного озера, покрытого льдом // Водные ресурсы. 2010. № 5. С. 568–580.
- Copernicus Climate Data Store. https://cds.climate.copernicus.eu/cdsapp#!/dataset/ reanalysis-era5 (дата обращения 02.02.2023).
- Pekel J.F., Cottam A., Gorelick N. et al. High-resolution mapping of global surface water and its long-term changes // Nature. 2016. V. 540. P. 418–422.
- Global Surface Water Explorer. https://global-surface-water.appspot.com/ (дата обращения 01.02.2023).
- Copernicus: Europe’s eyes on Earth. https://www.copernicus.eu/en
- Кочков Н.В., Рянжин С.В. Методика оценки морфометрических характеристик озёр с использованием спутниковой информации // Водные ресурсы. 2016. № 1. С. 18–23.
- СТО ГГИ 52.08.40-2017. Определение морфометрических характеристик водных объектов суши и их водосборов с использованием технологии географических информационных систем по цифровым картам РФ и спутниковым снимкам // Федеральная служба по гидрометеорологии и мониторингу окружающей среды (Росгидромет). СПб.: ООО “РПЦ Офорт”, 2017.
- Messager M., Lehner B., Grill G. et al. Estimating the volume and age of water stored in global lakes using a geo-statistical approach // Nat. Commun. 2016. V. 7 (1). 13603.
- Озёра различных ландшафтов Кольского полуострова. Ч. 2. Гидрохимия и гидробиология / Отв. ред. В.Г. Драбкова и Т.Д. Слепухина. Л.: Наука, 1974.
- Даувальтер В.А., Кашулин Н.А. Геоэкология озёр Мурманской области. В 3 ч. Ч. 2. Гидрохимия водоёмов. Мурманск: Изд-во МГТУ, 2014.
Дополнительные файлы
 
				
			 
						 
						 
						 
					 
						 
									
 
  
  
  Отправить статью по E-mail
			Отправить статью по E-mail 






