Ксилогенез, фотосинтез и дыхание деревьев сосны обыкновенной, растущих в Восточной Сибири (Россия)
- Авторы: Антонова Г.Ф.1, Стасова В.В.1, Суворова Г.Г.2, Осколков В.А.2
-
Учреждения:
- Институт леса им. В.Н. Сукачева СО РАН
- Сибирский институт физиологии и биохимии растений СО РАН
- Выпуск: Том 54, № 5 (2023)
- Страницы: 323-340
- Раздел: ОРИГИНАЛЬНЫЕ ИССЛЕДОВАНИЯ
- URL: https://journals.rcsi.science/0475-1450/article/view/137067
- DOI: https://doi.org/10.31857/S0475145023050038
- EDN: https://elibrary.ru/KABNSZ
- ID: 137067
Цитировать
Полный текст
Аннотация
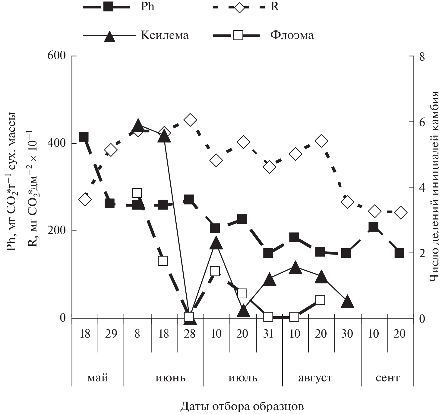
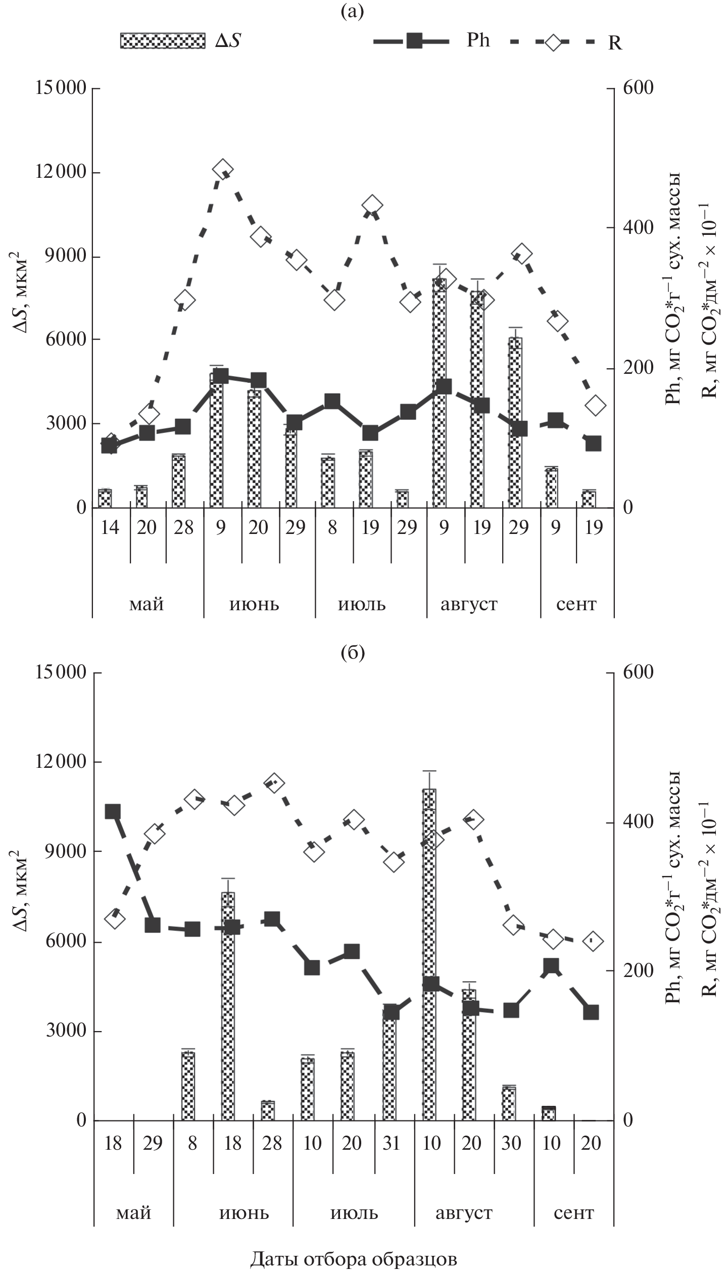
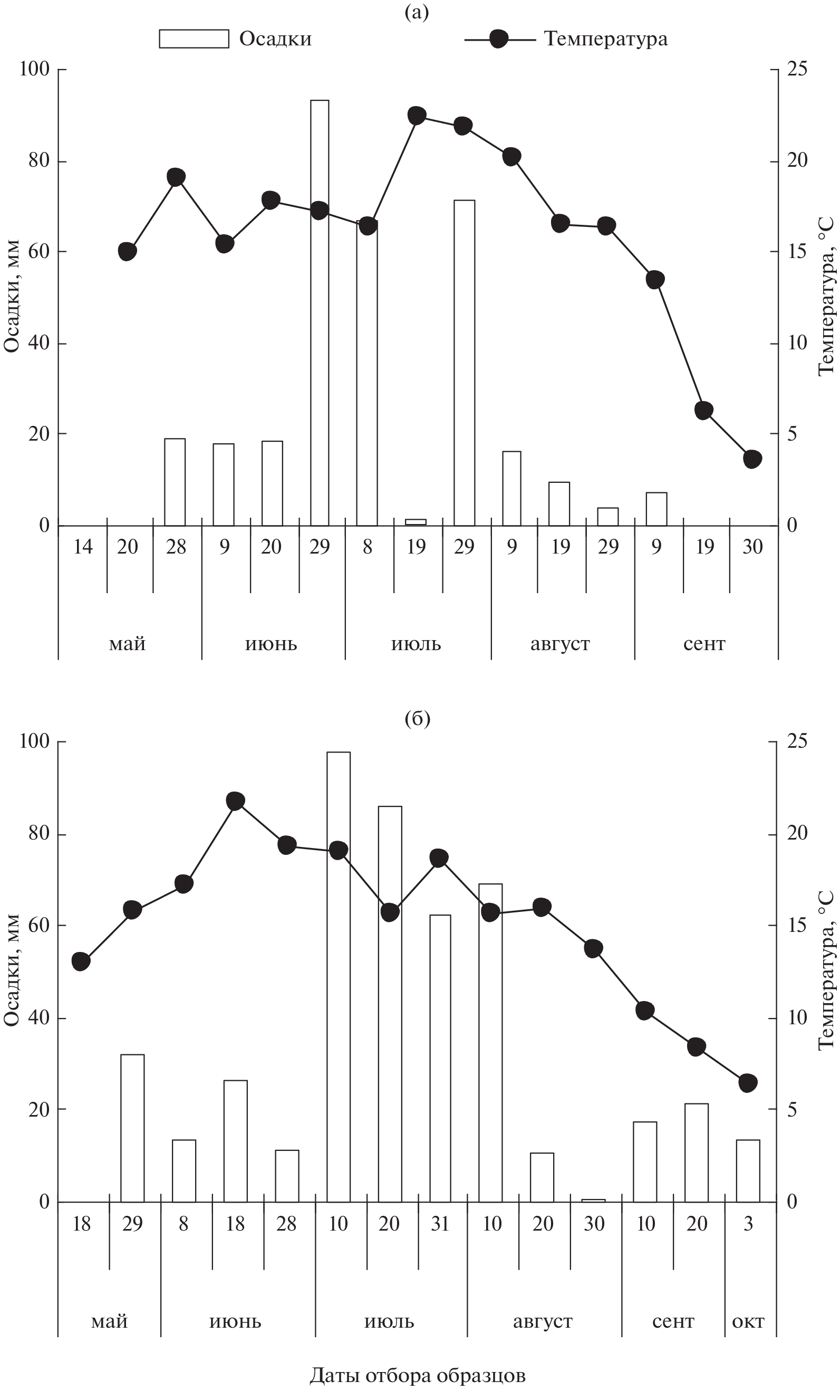
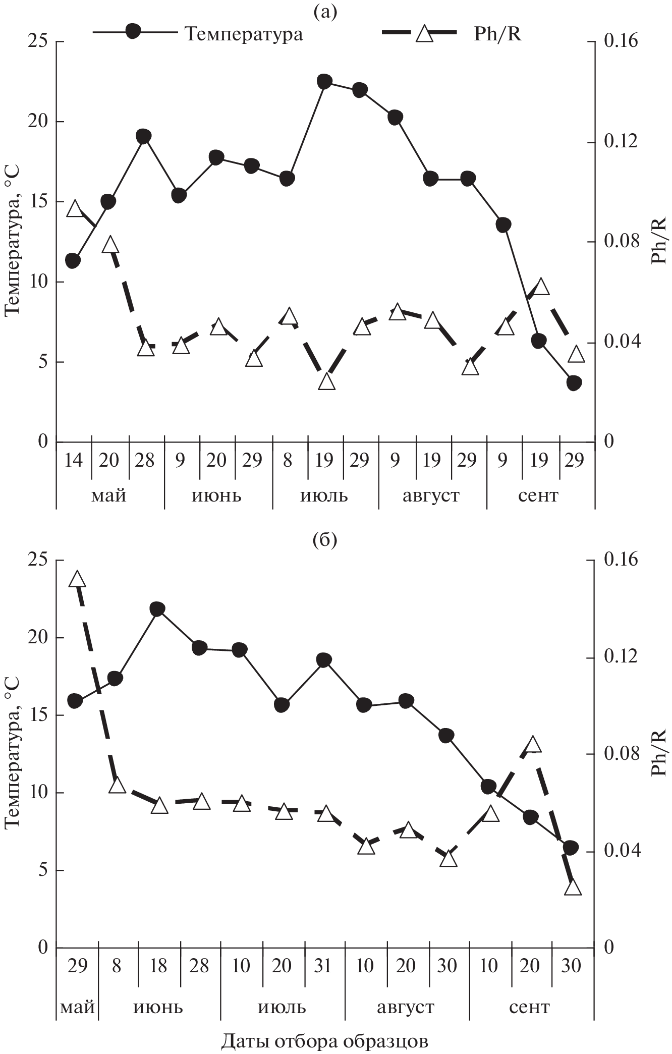
Основными факторами, влияющими на образование древесины у растений, являются фотосинтез и дыхание, обеспечивающие ростовые процессы ассимилятами и энергией. Температура и осадки влияют на фотосинтез и дыхание и, соответственно, на ростовые процессы в дереве. Целью нашего исследования было охарактеризовать взаимосвязь ростовых процессов (активность камбия и депонирование биомассы) в стволах Pinus sylvestris L. (сосны обыкновенной) с фотосинтетической активностью кроны и дыханием ствола в годы с контрастными летне-погодными условиями. Формирование клеток ксилемы и флоэмы, накопление биомассы клеточных стенок, продуктивность фотосинтеза и стволовое дыхание изучали у деревьев P. sylvestris, произрастающей в Восточной Сибири (Россия). Мы оценивали количество клеток в зонах дифференциации и морфологические параметры клеток, продуцируемых камбием; определяли на отдельных этапах формирования древесины годичных колец активность камбия, накопление биомассы в стенках трахеид и их связь с фотосинтетической продуктивностью кроны и затратами на стволовое дыхание. Оказалось, что деление клеток камбия в сторону ксилемы или флоэмы зависит от сочетания температуры и осадков в отдельные периоды сезона, а также от реакции фотосинтеза и дыхания на эти факторы. Накопление биомассы имело бимодальный характер с максимумами в июне (развитие ранней древесины) и преимущественно в августе (развитие толстостенных поздних трахеид). Это соответствовало оптимальному сочетанию температуры и влажности воздуха, обеспечивающему достаточный приток ассимилятов и их низкий расход на дыхание. Мы также показали, что камбиальная активность и накопление биомассы в стенках клеток годичных колец древесины зависят от кумулятивного влияния температуры и осадков на фотосинтез и дыхание ствола в ходе вегетационного периода. Варьирование внешних факторов изменяет баланс между поступлением фотоассимилятов и их утилизацией. В результате фотоассимиляты используются не только для синтеза биомассы клеточных стенок, но и частично превращаются в запасные вещества, в частности, в крахмал. Наше исследование расширяет представления о процессах развития растения, которые приводят к формированию древесины под воздействием внешних факторов.
Ключевые слова
Об авторах
Г. Ф. Антонова
Институт леса им. В.Н. Сукачева СО РАН
Автор, ответственный за переписку.
Email: antonova_cell@mail.ru
Россия, 660036, Красноярск, ул. Академгородок, 50
В. В. Стасова
Институт леса им. В.Н. Сукачева СО РАН
Email: antonova_cell@mail.ru
Россия, 660036, Красноярск, ул. Академгородок, 50
Г. Г. Суворова
Сибирский институт физиологии и биохимии растений СО РАН
Email: antonova_cell@mail.ru
Россия, 664033, Иркутск, ул. Лермонтова, 132
В. А. Осколков
Сибирский институт физиологии и биохимии растений СО РАН
Email: antonova_cell@mail.ru
Россия, 664033, Иркутск, ул. Лермонтова, 132
Список литературы
- Антонова Г.Ф., Шебеко В.В. Использование крезилового фиолетового для изучения формирования древесины // Химия древесины. 1981. № 4. С. 102–105.
- Антонова Г.Ф., Стасова В.В. Развитие годичного яруса в стволовой древесине Pinus sylvestris L. и Larix sibirica L. // Лесоведение. 1992. № 5. С. 19–27.
- Астраханцева Н.В., Антонова Г.Ф. Морфологические изменения в структуре ксилемы и флоэмы в стволах деревьев сосны обыкновенной разной скорости роста // Материалы: Международной конференции “Structural and functional deviations from normal growth and development of plants under the influence of environmental factors” June 20–24, 2011. Институт леса Карельского научного центра. Петрозаводск, 2011. С. 16–21.
- Болондинский В.К., Кайбиянен Л.К. Динамика фотосинтеза в сосновых насаждениях // Физиология растений. 2003. № 50. С. 105–114.
- Забуга В.Ф., Забуга Г.А. Взаимосвязь дыхания и радиального роста ствола у сосны обыкновенной // Физиология растений. 1985. № 32. С. 718.
- Забуга В.Ф., Забуга Г.А. Дыхание растущих побегов сосны обыкновенной // Физиология растений. 2006. Т. 53. № 1. С. 68–74.
- Загирова С.В., Кузин С.Н. Камбиальная активность и СО2-обмен в стволе Pinus sylvestris // Физиология растений. 1998. Т. 45. С. 735–740.
- Кайбияйнен Л.К., Сазонова Т.А., Титов П.В. Транспирационные потоки в ксилеме сосны и динамика потребления влаги // Лесоведение. 1981. № 2. С. 27–34.
- Щербатюк А.С. Многоканальные установки с СО2-газоанализаторами для лабораторных и полевых исследований // Инфракрасные газоанализаторы в изучении газообмена растений. М.: Наука, 1990. С. 38–54.
- Щербатюк А.С., Янькова Л.С., Русакова Л.В. Эколого-физиологические особенности газообмена у хвойных // Лесоведение. 1990. № 4. С. 3–10.
- Судачкова Н.Е., Милютина И.Л., Семенова Г.П. Определение аккумулирующих функций внутренней коры и древесины лиственницы Гмелина (Pinaceae) при воздействии низкотемпературных и гипоксических стрессов в ризосфере // Ботанический журнал. 2001. Т. 6. № 1. С. 89–97.
- Суворова Г.Г. Фотосинтез хвойных деревьев в условиях Сибири // Новосибирск: “GEO” “ГЕО”, 2009. 192 с.
- Суворова Г.Г., Осколков В.А., Стасова В.В., Антонова Г.Ф. Соотношение ростовой активности, затрат дыхания и фотосинтетической эффективности кроны сосны обыкновенной // Известия Иркутского государственного университета. 2015. Серия “Биология. Экология” № 11. С. 2–12.
- Alam S.A., Huang J.-G., Start K.J. et al. Photosynthetic Productivity on the Radial Growth of White Spruce in Western Canada // Front. Plant Sci. 2017. V. 8. P. 1915. https://doi.org/10.3389/fpls.2017.01915
- Acosta M., Pavelka M., Pokorny R. et al. Seasonal Variation in CO2 Efflux of Stems and Branches of Norway Spruce Trees // Annals of Botany. 2008. V. 101. P. 469–477. https://doi.org/10.1093/aob/mcm304
- Antonova G.F., Stasova V.V. Effects of environmental factors on wood formation in Scots pine stems // Trees. 1993. V. 7. P. 214–219. https://doi.org/10.1007/BF00202076
- Antonova G.F., Cherkashin V.P., Stasova V.V., Varaksina T.V. Daily dynamics in xylem cell Radial growth of Scots pine (Pinus sylvestris L.) // Trees. 1995. V. 10. P. 24–30. https://doi.org/10.1007/bf00197776
- Antonova G.F., Stasova V.V. Effects of environmental factors on wood formation in larch (Larix sibirica Ldb.) stem // Trees. 1997. V. 11. P. 462–468. https://doi.org/10.1007/PL00009687
- Antonova G.F., Varaksina T.N., Zheleznichenko T.V., Bazhenov A.V. Changes in lignin structure during earlywood and latewood formation in Scots pine stems // Wood Science and Technology. 2019. V. 53. P. 927–952. https://doi.org/10.1007/s00226-019-01108-w
- Antonova G.F., Stasova V.V. Seasonal distribution of processes responsible for radial diameter and wall thickness of Scots pine tracheids // Siberian J. Forest Science. 2015. № 2. P. 33–40.
- Arzac A., Rozas V., Rozenberg P., Olano J.M. Water availability controls Pinus pinaster xylem growth and density: A multiproxy approach along its environmental range // Agricultural and Forest Meteorology. 2018. V. 250–251. P. 171–180. https://doi.org/10.1016/j.agrformet.2017.12.257
- Balzano A., Čufar K., Battipaglia G. et al. Xylogenesis reveals the genesis and ecological signal of IADFs in Pinus pinea L. and Arbutus unedo L. // Ann Bot. 2018. V. 121. P. 231–1242. https://doi.org/10.1093/aob/mcy008
- Begum S., Nakaba S., Oribe Y., Kubo T., Funada R. Changes in the localization and levels of starch and lipids in cambium and phloem during cambial reactivation by artificial heating of main stems of Cryptomeria japonica trees // Ann Bot. 2010. V. 106. P. 885–895. https://doi.org/10.1093/aob/mcq185
- Begum S., Nakaba S., Yamagishi Y., Oribe Y., Funada R. Regulation of cambial activity in relation to environmental conditions: Understanding the role of temperature in wood formation of trees // Physiol Plantarum. 2013. V. 147. P. 46–54. https://doi.org/10.1111/j.1399-3054.2012.01663.x
- Cabon A., Fernández-de-Uña L., Gea-Izquierdo G. Water potential control of turgor-driven tracheid enlargement in Scots pine at its xeric distribution edge // New Phytol. 2020. V. 225. P. 209–221. https://doi.org/10.1111/nph.16146
- Carr D.J. Plasmodesmata in growth and development // In: Gunning BES, Robards AW (Eds.). Intercellular communication in plants: studies on plasmodesmata. Berlin, Springer. 1976 P. 243–290.
- Chan T., Berninger F., Kolari P., Nikinmaa E., Hölttä T. Linking stem growth respiration to the seasonal course of stem growth and GPP of Scots pine // Tree Physiol. 2018. V. 38. № 9. P. 1356–1370. https://doi.org/10.1093/treephys/tpy040
- Cosgrove D.J. Relaxation in a high-stress environment: the molecular bases of extensible cell walls and cell enlargement // Plant Cell. 1997. V. 9. P. 1031–1041.
- Denne M. Xylem development in conifers. // In: Proceed of symposium “Physiology of tree crops”, 25–26 March 1969. Bristol, L, NY Acad. Press. 1970. P 83–97.
- Deslauriers A., Morin H. Intra-annual tracheid production in balsam fir stems and the effect of meteorological variables // Trees. 2005. V. 19. P. 402–408. https://doi.org/10.1007/s00468-004-0398-8
- Deslauriers A., Beaulieu M., Balducci L. et al. Impact of warming and drought on carbon balance related to wood formation in black spruce // Ann Bot. 2014. V. 114. P. 335–345. https://doi.org/10.1093/aob/mcu111
- Fajstavr M., Giagli K., Vavrčík H. et al. The cambial response of Scots pine trees to girdling and water stress // IAWA J. 2020. V. 51. № 4. P. 1–27. https://doi.org/10.14214/sf.1760
- Gamalei Yu.V., Pakhomova M.V., Syutkina A.V. Regulation of assimilate translocation by plasmodesmata: effect of temperature and water stress // In: Lucas W., Zichron-Yakov (Eds), Basic and applied research in plasmodesmatal biology. Israel. 1996. P. 132–134.
- Gordon J.C., Larson P.R. Seasonal Course of Photosynthesis, Respiration, and Distribution of 14C in Young Pinus resinosa Trees as Related to Wood Formation // Plant Physiol. 1968. V. 43. P. 1617–1624.
- Gričar J., Čufar K. Seasonal dynamics of phloem and xylem formation in silver fir and Norway spruce as affected by drought // Russ. J. Plant. Physiol. 2008. V. 55. P. 538–543. https://doi.org/10.1134/S102144370804016X
- Grozdits G.A., Ifju G. Differentiation of tracheid in developing secondary xylem of Tsuga canadensis (L.) Carr. Changes in morphology and cell wall structure // Wood Fiber Sci. 1984. V. 16. P. 20–36.
- Gruber A.J., Wieser G., Oberhuber W. Intra-annual dynamics of stem CO2 efflux in relation to cambial activity and xylem development in Pinus cembra // Tree Physiology. 2009. V. 29. № 5. P. 641–649. https://doi.org/10.1093/treephys/tpp001
- Herrera-Ramïrez D., Sierra C.A., Römermann C. et al. Starch and lipid storage strategies in tropical trees relate to growth and mortality // New Phytologist. 2021. V. 230. P. 139–154 https://doi.org/10.1111/nph.17239
- Hoch G., Körner C. The carbon charging of pines at the climatic treeline: a global comparison // Oecologia. 2003. V. 135. P. 10–21. https://doi.org/10.1007/s00442-002-1154-7
- Lavigne M.B., Little C.H.A., Ridin R.T. Changes in stem respiration rate during cambial reactivation can be used to refine estimates of growth and maintenance respiration // New Phytol. 2004. V. 162. P. 81–93. https://doi.org/10.1111/j.1469-8137.2004.01004.x
- Mahmood A. Number of initial division as a measure of activity in the early cambial growth in Pinus. // Pak. J. For. 1971. V. 21. № 1. P. 27–42.
- Maier C.A., Zarnoch S.J., Dougherty P.M. Effects of temperature and tissue nitrogen on dormant season stem and branch maintenance respiration in a young loblolly pine (Pinus taeda) plantation // Tree Physiol. 1998. V. 18. P. 11–20. https://doi.org/10.1093/treephys/18.1.11
- Mäkelä A., Valentine H.T. The ratio of NPP to GPP: evidence of change over the course of stand development // Tree Physiol. 2001. V. 21. № 14. P. 1015–1030. https://www.researchgate.net/publication/11786808
- Miller T.W., Stangler D.F., Larysch E. et al. Plasticity of seasonal xylem and phloem production of Norway spruce along an elevational gradient // Trees. 2020. V. 24. P. 43–52. https://doi.org/10.1007/s00468-020-01997-6
- McDowell N.G. Mechanisms linking drought, hydraulics, carbon metabolism, and vegetation mortality // Plant Physiol. 2011. V. 155. P. 1051–1059. https://doi.org/10.1104/pp.110.170704
- Murmanis L., Sachs J.B. Seasonal development of secondary xylem in Pinus strobes L. // Wood Sci. Technol. 1969. V. 3. P. 177–193.
- Nonami H., Boyer J.S. Primary events regulating stem growth at low water potentials // Plant Physiol. 1990. V. 93. P. 1601–1609. https://doi.org/10.1104/pp.93.4.1601
- Qaderi M.M., Martel A.B., Dixon S.L. Environmental Factors Influence Plant Vascular System and Water Regulation // Plants. 2019. V. 8. № 3. P. 65 https://doi.org/10.3390/plants8030065
- Oberhuber W., Kofler W., Schuster R., Wieser G. Environmental effects on stem water deficit in co-occurring conifers exposed to soil dryness // Int. J. Biometeorol. 2015. V. 59. P. 417–426. https://doi.org/10.1007/s00484-014-0853-1
- Oribe Y., Funada R., Kubo T. Relationships between cambial activity, cell differentiation and the localization of starch in storage tissues around the cambium in locally heated stems of Abies sachalinensis (Schmidt) Masters // Trees. 2003. V. 17. P. 185–192. https://doi.org/10.1007/s00468-002-0231-1
- Rossi S., Deslauriers A., Anfodillo T. Evidence of threshold temperatures for xylogenesis in conifers at high altitudes // Oecologia. 2007. V. 152. № 1. P. 1–12. https://doi.org/10.1007/s00442-006-0625-7
- Rossi S., Deslauriers A., Griçar J. et al. Critical temperatures for xylogenesis in conifers of cold climates // Glob. Ecol. Biogeogr. 2008. V. 17. P. 696–707. https://doi.org/10.1111/j.1466-8238.2008.00417.x
- Ryan M.G. Growth and maintenance respiration in stems of Pinus contorta and Picea engelmannii // Can. J. For. Res. 1990. V. 20. P. 48–57. https://doi.org/10.1139/x90-008
- Ryan M.G., Waring R.H. Maintenance respiration and stand development in a subalpine lodgepole pine forest // Ecology. 1992. V. 73. P. 2100–2108. https://doi.org/10.2307/1941458
- Ryan M.G., Gower S.T., Hubbard R.M., Waring R.H., Gholz H.L., Wendell P., Cropper W.P., Running S.W. Woody tissue maintenance respiration of four conifers in contrasting climates // Oecologia. 1995. V. 101. P. 133–140. https://doi.org/10.1007/BF00317276
- Ryan M.G. Temperature and tree growth // Tree Physiol. 2011. V. 30. P. 667–668. https://doi.org/10.1093/treephys/tpq033
- Sauter J.J., Van Cleve R. Storage, mobilization and interrelation of starch, sugars, protein and fat in the ray storage tissue of poplar trees // Trees: Structure and Function. 1994. V. 8. № 6. P. 297–304.
- Savage J.A., Clearwater M.J., Haines D. et al. Allocation, stress tolerance and carbon transport in plants: How does phloem physiology affect plant ecology? // Plant Cell Env. 2016. V. 39. P. 709–725. https://doi.org/10.1111/pce.12602
- Seo J.W., Eckstein D., Jalkanen R., Rickebusch S., Schmitt U. Estimating the onset of cambial activity in Scots pine in northern Finland by means of the heat-sum approach // Tree Physiol. 2008. V. 28. P. 105–112. https://doi.org/10.1093/treephys/28.1.105
- Schulze E.-D., Čermák J., Matyssek R. Canopy transpiration and flow rate fluxes in the xylem of the trunk of Larix and Picea trees-a comparison of xylem flow, porometer and cuvette measurements // Oecologia (Berlin) 1985. V. 66. № 4. P. 475–483.
- Stockfors J., Linder S. Effect of nitrogen on the seasonal course of growth and maintenance respiration in stems of Norway spruce trees // Tree Physiol. 1998. V. 18. P. 155–166.
- Sun Y., Wang C., Chen H.Y.H., Ruan H. Response of Plants to Water Stress: A Meta-Analysis // Front Plant Sci. 2020. V. 11. P. 978. https://doi.org/10.3389/fpls.2020.00978
- Swidrak I., Gruber A., Oberhuber W. Xylem and phloem phenology in co-occurring conifers exposed to drought // Trees. 2014. V. 28. P. 1161–1171. https://doi.org/10.1007/s00468-014-1026-x
- Tabakova M., Arzac A., Martínez E., Kirdyanov A.V. Climatic factors controlling Pinus sylvestris radial growth along a transect of increasing continentality in outhern Siberia // Dendrochronologia. 2020. V. 62. P. 125709. https://doi.org/10.1016/j.dendro.2020.125709
- Williams A.P., Allen C.D., Macalady A.K. et al. Temperature as a potent driver of regional forest drought stress and tree mortality // Nature Climate Change. 2012. V. 3. P. 292–297.
- Zabuga V.F., Zabuga G.A. Assessment of Scots Pine (Pinus sylvestris L.) Respiration at Culmination Stage of Its Current Growth in Forest_Steppe Zone of Pre_Baikal Area // Contemporary Problems of Ecology. 2014. V. 7. № 1. P. 72–83.
- Zha T., Kellomäki S., Wang K., Ryyppö A., Niinistö S. Seasonal and annual stem respiration of Scots pine trees under boreal conditions // Annals of Botany. 2004. V. 94. P. 889–896.
- Zweifel R., Sterck F., Braun S. et al. Why trees grow at night // New Phytologist. 2021. V. 231. № 6. P. 2174–2185 https://doi.org/10.1111/nph.175521
Дополнительные файлы









