The Features of Action of Supported Pd Catalysts in Suzuki–Miyaura Reaction
- Authors: Schmidt A.F.1, Rostovshchikova T.2, Krotova I.N.2, Zelikman V.M.2, Gurevich S.A.3, Yavsin .A.3, Lagoda N.A.1, Larina E.V.1, Kurokhtina A.A.1, Tarkhanova I.G.2
-
Affiliations:
- Irkutsk State University, Chemical Department
- Moscow State University, Chemical Department
- Ioffe Physico-Technical Institute
- Issue: Vol 64, No 1 (2023)
- Pages: 39-52
- Section: ARTICLES
- URL: https://journals.rcsi.science/0453-8811/article/view/137011
- DOI: https://doi.org/10.31857/S0453881123010082
- EDN: https://elibrary.ru/KIVFHL
- ID: 137011
Cite item
Full Text
Abstract
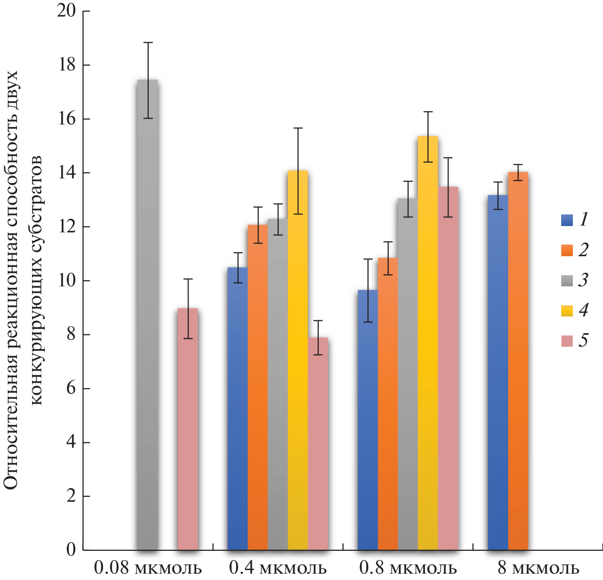
The paper presents the results of comparative analysis of the differential selectivity of Suzuki–Miyaura reaction with aryl bromides using the set of Pd heterogeneous precursors of different natures (\({\text{PdCl}}_{4}^{{2 - }}\) and Pd0) obtained by chemical modification and laser electrodispersion on two types of heterogeneous supports, i.e., SiO2 modified by ionic liquid and γ-Al2O3. Catalytic experiments were carried out under so-called “ligand-free” conditions implying no additives of phosphines, amines, carbenes, or any other organic ligands for Pd stabilization. Changes of the differential selectivity of competing aryl bromides were observed under varying the nature and concentration of Pd precursor thus indicating substantial contribution of true heterogeneous catalysis to the total substrates’ conversion.
About the authors
A. F. Schmidt
Irkutsk State University, Chemical Department
Author for correspondence.
Email: aschmidt@chem.isu.ru
Russia, 664003, Irkutsk, K. Marx str., 1
T. N. Rostovshchikova
Moscow State University, Chemical Department
Email: aschmidt@chem.isu.ru
Russia, 119991, Moscow, Leninskie gory, 1/3
I. N. Krotova
Moscow State University, Chemical Department
Email: aschmidt@chem.isu.ru
Russia, 119991, Moscow, Leninskie gory, 1/3
V. M. Zelikman
Moscow State University, Chemical Department
Email: aschmidt@chem.isu.ru
Russia, 119991, Moscow, Leninskie gory, 1/3
S. A. Gurevich
Ioffe Physico-Technical Institute
Email: aschmidt@chem.isu.ru
Russia, 194021, St. Petersburg, Polytekhnicheskaya st., 26
D. A. Yavsin
Ioffe Physico-Technical Institute
Email: aschmidt@chem.isu.ru
Russia, 194021, St. Petersburg, Polytekhnicheskaya st., 26
N. A. Lagoda
Irkutsk State University, Chemical Department
Email: aschmidt@chem.isu.ru
Russia, 664003, Irkutsk, K. Marx str., 1
E. V. Larina
Irkutsk State University, Chemical Department
Email: aschmidt@chem.isu.ru
Russia, 664003, Irkutsk, K. Marx str., 1
A. A. Kurokhtina
Irkutsk State University, Chemical Department
Email: aschmidt@chem.isu.ru
Russia, 664003, Irkutsk, K. Marx str., 1
I. G. Tarkhanova
Moscow State University, Chemical Department
Email: aschmidt@chem.isu.ru
Russia, 119991, Moscow, Leninskie gory, 1/3
References
- Suzuki A. // Angew. Chem. Int. Ed. 2011. V. 50. P. 6722.
- Miyaura N. // J. Organomet. Chem. 2002. V. 653. P. 54.
- Beletskaya I.P., Alonso F., Tyurin V. // Coord. Chem. Rev. V. 385. P. 137.
- Pagett A.B., Lloyd-Jones G.C. // Org. React. 2019. V. 100. P. 547.
- Taheri Kal Koshvandi A., Heravi M.M., Momeni T. // Appl. Organomet. Chem. 2018. V. 32. Article № e4210.
- Phan N.T.S., van der Sluys M., Jones C.W. // Adv. Synth. Catal. V. 348. P. 609.
- Шмидт А.Ф., Курохтина А.А. // Кинетика и катализ. 2012. Т. 53. № 6. С. 760.
- Biffis A., Centomo P., del Zotto A., Zecca M. // Chem. Rev. 2018. V. 118. P. 2249.
- Bourouina A., Meille V., de Bellefon C. // Catalysts. 2019. V. 9. P. 60.
- Ananikov V.P., Beletskaya I.P. // Organometallics. 2012. V. 31. P. 1595.
- Bartlewicz O., Dąbek I., Szymańska A., Maciejewski H. // Catalysts. 2020. V. 10. № 11. P. 1227.
- Романовский Б.В., Тарханова И.Г. // Успехи химии. 2017. Т. 86. № 5. С. 444.
- Ростовщикова Т.Н., Локтева Е.С., Шилина М.И., Голубина Е.В., Маслаков К.И., Кротова И.Н., Брыжин А.А., Тарханова И.Г., Удалова О.В., Кожевин В.М., Явсин Д.А., Гуревич С.А. // Жур. Физ. Хим. 2021. Т. 95. № 3. С. 348.
- Golubina E.V., Rostovshchikova T.N., Lokteva E.S., Maslakov K.I., Nikolaev S.A., Shilina M.I., Gurevich S.A., Kozhevin V.M., Yavsin D.A., Slavinskay E.M. // Appl. Surf. Sci. 2021. V. 536. Article № 147656.
- Golubina E.V., Rostovshchikova T.N., Lokteva E.S., Maslakov K.I., Nikolaev S.A., Egorova T.B., Gurevich S.A., Kozhevin V.M., Yavsin D.A., Yermakov A.Y. // Pure Appl. Chem. 2018. V. 90. № 11. P. 1685.
- Lokteva E.S., Peristyy A.A., Kavalerskaya N.E., Golubina E.V., Yashina L.V., Rostovshchikova T.N., Gure-vich S.A., Kozhevin V.M., Yavsin D.A., Lunin V.V. // Pure Appl. Chem. 2012. V. 84. № 3. P. 495.
- Локтева Е.С., Ростовщикова Т.Н., Качевский С.А., Голубина Е.В., Смирнов В.В., Стахеев А.Ю., Телегина Н.С., Гуревич С.А., Кожевин В.М., Явсин Д.А. // Кинетика и катализ. 2008. Т. 49. № 5. С. 784.
- Ali-Zade A.G., Buryak A.K., Zelikman V.M., Oskolok K.V., Tarkhanova I.G. // New J. Chem. 2020. V. 44. № 16. P. 6402.
- Ivanin I.A., Ali-Zade A.G., Golubeva E.N., Zubanova E.M., Zelikman V.M., Buryak A.K., Tarkhanova I.G. // Mol. Catal. 2020. V. 484. P. 110727.
- Ростовщикова Т.Н., Николаев С.А., Кротова И.Н., Маслаков К.И., Удалова О.В., Гуревич С.А., Явсин Д.А., Шилина М.И. // Изв. АН Сер Хим. 2022. № 6. С. 1179.
- Bryzhin A.A., Golubina E.V., Maslakov K.I., Lokteva E.S., Tarkhanova I.G., Gurevich S.A., Yavsin D.A., Rostovshchikova T.N. // ChemCatChem. 2020. V. 12. № 17. P. 4396.
- Голубина Е.В., Локтева Е.С., Гурбанова У.Д., Харланов А.Н., Егорова Т.Б., Липатова И.А., Власкин М.С., Школьников Е.И. // Кинетика и катализ. 2019. Т. 60. № 3. С. 315.
- Excel for Scientists and Engineers: Numerical Methods. E.J. Billo. John Wiley & Sons, 2007. 480 p.
- Lokteva E.S., Shishova V.V., Tolkachev N.N., Maslakov K.I., Kamaev A.O., Maksimov S.V., Golubina E.V. // Mendeleev Commun. 2022. V. 32. № 2. P. 249.
- Nikolaev S.A., Golubina E.V., Shilina M.I. // Appl. Catal. B: Env. 2017. V. 208. P. 116.
- Pillo T., Zimmermann R., Steiner P., Hüfner S. // J. Phys. Condens. Matter. 1997. V. 9. P. 3987.
- Бельская О.Б., Гуляева Т.И., Арбузов А.Б., Дуплякин В.К., Лихолобов В.А. // Кинетика и катализ. 2010. Т. 51. № 1. С. 114.
- Шмидт А.Ф., Курохтина А.А., Ларина Е.В. // Кинетика и катализ. 2019. Т. 60. № 5. С. 555.
- Blackmond D.G., Rosner T., Pfaltz A. // Org. Proc. Res. Dev. 1999. V. 3. P. 275.
- Widegren J.A., Finke R.G. // J. Mol. Catal. A: Chem. 2003.V. 198. P. 317.
- Finke R.G., Ozkar S. // J. Phys. Chem. C. 2019. V. 123. P. 54.
- Köhler K., Kleist W., Pröckl S.S. // Inorg. Chem. V. 46. P. 1876.
- Vedyagin A.A., Volodin A.M., Kenzhin R.M., Stoyanovskii V.O., Rogov V.A., Medvedev D.A., Mishakov I.V. // J. Therm. Anal. Calorim. 2017. V. 130. № 3. P. 1865.
- Kurokhtina A.A., Larina E.V., Schmidt A.F., Malaika A., Krzyżyńska B., Rechnia P., Kozłowski M. // J. Mol. Catal. A: Chem. 2013. V. 379. P. 327.
- Schmidt A.F., Kurokhtina A.A., Larina E.V. // Catal. Sci. Technol. 2014. V. 4. P. 3439.
Supplementary files










