Investigation of high-temperature oxygen release from LA2NiO4+δ oxide in quasi-equilibrium mode
- Authors: Tropin E.S.1, Popov M.P.1, Guskov R.D.1, Nemudry A.P.1
-
Affiliations:
- Institute of Solid State Chemistry and Mechanochemistry of Siberian Branch of Russian Academy of Sciences
- Issue: Vol 60, No 3 (2024)
- Pages: 235-241
- Section: Articles
- URL: https://journals.rcsi.science/0424-8570/article/view/265496
- DOI: https://doi.org/10.31857/S0424857024030081
- EDN: https://elibrary.ru/RBHDMK
- ID: 265496
Cite item
Full Text
Abstract
A continuous phase diagram δ (pO2, T) of a nonstoichiometric oxide La2NiO4+δ with a layered perovskite-related Ruddlesden-Popper structure was obtained by the method of quasi-equilibrium oxygen release. The thermodynamic parameters are determined as functions of oxide nonstoichiometry δ. The calculation was carried out within the framework of the models of a localized electron and a free electron, which are used to describe the defect structure of ferrites and cobaltites, respectively. It is shown that the features of the phase diagram can be related to the density of electronic states near the Fermi level of electrons.
Full Text
ВВЕДЕНИЕ
Нестехиометрические оксиды со смешанной ион-электронной проводимостью (СИЭП) являются привлекательной альтернативой дорогостоящей платине в высокотемпературных топливных элементах. Одним из ярких представителей СИЭП оксидов является нестехиометрический оксид La2NiO4+δ (LNO), обладающий высокой ион-электронной проводимостью и высокой каталитической активностью в реакциях кислородного обмена [1–3]. Поскольку СИЭП оксиды используют в высокотемпературной области при различных значениях парциального давления кислорода, стехиометрия оксида δ может изменяться в широких пределах, оказывая влияние на кристаллическую/электронную структуру оксида и его магнитные свойства [4], что, в свою очередь, влияет на каталитические и транспортные свойства оксида. В этой связи особый интерес представляет связь между электронной структурой и термодинамическими характеристиками оксида. В работе [5] было показано, что описание термодинамики дефектов в никельсодержащих оксидах является нетривиальной задачей: примененные в работе две различные по сути модели блуждающего и локализованного электрона демонстрировали совпадающие результаты. В настоящее время проблема еще не решена, что на наш взгляд связано с недостаточной детализацией фазовых диаграмм LNO. Метод квазиравновесного выделения кислорода (КРВК) позволяет получить равновесные данные в виде непрерывных изотерм [6 –9], что позволит детализировать фазовую диаграмму LNO и пролить свет на его дефектную структуру.
Таким образом, в качестве объекта исследования выбран оксид со смешанной проводимостью состава La2NiO4+δ. Для изучения дефектной структуры оксида методом КРВК была получена детальная непрерывная равновесная фазовая диаграмма вида 4+δ – ln pO2 – T.
ЭКСПЕРИМЕНТАЛЬНАЯ ЧАСТЬ
Синтез образцов
Никелит лантана La2NiO4+δ был синтезирован цитратно-нитратным методом из оксидов лантана и никеля. Для удаления адсорбированной воды оксид лантана (марка “ЛaО-Д”) предварительно прокаливали при температуре 1100°С в течение 5 ч, а оксид никеля (марка “ос. ч.”) сушили при температуре 120°С в течение 3 ч. Навески оксидов, взятые в стехиометрических соотношениях, растворяли в разбавленной азотной кислоте при нагревании. После этого к полученному раствору по каплям добавляли раствор лимонной кислоты. Мольное соотношение лимонной кислоты и суммы катионов лантана и никеля составляло 1 : 1. После добавления лимонной кислоты раствор выдерживали на плитке при температуре 75°С при перемешивании в течение 4 ч. Затем раствор переливали в фарфоровую выпарительную чашу и упаривали влагу до получения черного-коричневого порошка. Этот порошок далее прокаливали при температуре 950°С в течение 2 ч. Далее полученный порошок перетирали в агатовой ступке в среде этилового спирта и снова прокаливали при температуре 1150°С в течение 3 ч.
Для определения фазовой равновесной диаграммы использовали порошок LNO с узким распределением по размерам частиц 56–63 мкм, полученные разделением на ситах.
Аттестация образцов
Для определения фазового состава и исследования структуры нестехиометрического перовскитоподобного оксида LNO использовали метод рентгеновской дифракции. Съемку проводили на дифрактометре D8 Advance (Bruker, Германия), используя энергодисперсионный детектор Sol-X и высокоскоростной детектор Lynx Eye.
Термогравиметрические измерения проводили на приборе STA 419 (Netzsch, Германия) в динамическом режиме в pO2 = 0.1 атм при нагревании до 850°С со скоростью 5°/мин. В наших исследованиях метод термогравиметрии (ТГ) позволял определять равновесное содержание кислорода при заданном pO2 и при различных температурах, которые использовали как реперные точки для построения фазовой равновесной диаграммы состояния LNO.
Детальные фазовые диаграммы
Для определения зависимости кислородной нестехиометрии от парциального давления кислорода при различных температурах использовали метод КРВК, схема установки приведена на рис. 1.
Рис. 1. Установка для измерения кислородного обмена в СИЭП-оксидах.
Исследования проводили при следующих условиях: образцы выдерживали при заданной температуре и парциальном давлении кислорода pO2 = 0.20 атм (смесь О2/Не) в потоке с суммарным расходом (приведенным к нормальным условиям) 10–50 мл/мин в течение 1 ч, после чего газ на входе в реактор заменяли на чистый гелий (pO2 = 10−5 атм) с тем же объемным расходом. Экспериментальный реактор представлял собой кварцевую трубку внутренним диаметром 4 мм, в которую помещали порошковый образец (~1 г) в виде колонки длиной ~30 мм. Образец фиксировали в центре трубки с помощью кварцевой ваты. Свободный объем трубки был заполнен кварцевыми вставками для уменьшения объема реактора и постоянной времени установки. Подготовленный реактор помещали в трубчатую печь, измерительную термопару закрепляли снаружи реактора непосредственно вблизи от образца, температуру печи поддерживали постоянной с точностью ±0.1°С регулятором “Термодат”. Газовые потоки формировали при помощи смесителя газов УФПГС-4 (ООО “Соло”, Новосибирск) с калибровкой потоков при помощи расходомера Метка (ООО “Неосиб”, Новосибирск). Относительная погрешность регулирования потоков после калибровки составляла не более 0.5%.
Парциальное давление кислорода pO2 на выходе из реактора определяли с помощью кислородного датчика на основе стабилизированного иттрием оксида циркония согласно уравнению Нернста:
(1)
где pref – парциальное давление кислорода на воздухе, E, Et – напряжение с датчика и термоЭДС-датчика соответственно; T – температура датчика кислорода, R – газовая постоянная, F – постоянная Фарадея. Температуру циркониевого датчика поддерживали с помощью терморегулятора при 650°С.
Объемную скорость выделения кислорода из порошка LNO в потоке гелия определяли по формуле сложения газовых потоков:
(2)
где FHe – расход гелия в мл/мин, FO2 – поток кислорода из образца в мл/мин, pO2 – парциальное давление кислорода в атм, p0 – абсолютное давление газовой смеси (1 атм).
Из (2) поток кислорода FO2 на выходе из реактора определяли из выражения:
(3)
Модель выделения кислорода в проточном реакторе
Предполагая идеальное перемешивание газа в небольшой области вокруг образца (Vэф), скорость изменения парциального давления кислорода на выходе из реактора (pO2) может быть описана в виде баланса масс между входящим потоком кислорода (Jвх), выходящим потоком кислорода (Jвых) и скоростью выделяющегося кислорода из образца (dQ /dt):
(4)
где p – абсолютное давление равное 1 атм.
Разница между Jвх и Jвых связана с количеством выделяемого кислорода из оксида:
(5)
а количество кислорода, в свою очередь, равно:
(6)
где W – количество молей образца в реакторе.
Как показано в работе [6], решением системы уравнений (4), (5) и (6) для кислородной нестехиометрии как функции от времени будет
(7)
При известных параметрах Jвх, pO2вх, которые задаются в ходе эксперимента, и эффективного объема реактора Vэф, который определяется конструкцией реактора, становится возможным определение непрерывной зависимости кислородной нестехиометрии от температуры и парциального давления кислорода. Таким образом, измеряя зависимость рО2 – t в квазиравновесных условиях при T = const можно для каждого давления рО2 рассчитать кислородную стехиометрию образца.
РЕЗУЛЬТАТЫ И ОБСУЖДЕНИЕ
Рентгенофазовый анализ
Согласно результатам РФА, синтезированный образец LNO при комнатной температуре обладает структурой Раддлесдена-Поппера, что совпадает с литературными данными [3, 5]. На рентгенограмме La2NiO4+δ (рис. 2) не обнаружено рефлексов, относящихся к примесным фазам. Кристаллическая решетка никелита лантана имеет тетрагональную сингонию, пространственная группа I4/mmm.
Рис. 2. Рентгенограмма медленно охлажденного на воздухе образца LNO.
Фазовая диаграмма
Ранее [6] было установлено, что критерием квазиравновесного выделения кислорода из образца является аффинное преобразование кривых pO2 – t при нормировании времени на скорость потока газа-носителя. Таким образом, для получения непрерывной равновесной фазовой диаграммы δ – pO2 – T были проведены эксперименты по десорбции кислорода в изотермическом режиме на порошках LNO. На рис. 3 приведены исходные данные по зависимости парциального давления кислорода на выходе из реактора от времени, полученные при температурах от 600–850°C при скорости потока газа-носителя (FHe) 20 мл/мин.
Рис. 3. Исходные экспериментальные данные выделения кислорода из LNO.
Как видно из рис. 3, количество кислорода, выделяемого при десорбции, практически не изменяется в зависимости от температуры, что нетипично для железосодержащих перовскитов, но часто встречается в кобальтсодержащих оксидах.
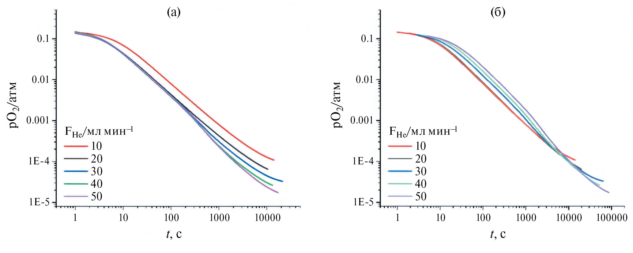
Как видно из рис. 4, полученные данные допускают аффинное преобразование при нормировании времени на скорость расхода гелия, и, следовательно, режим выделения кислорода из LNO при данных условиях (вплоть до FHe = 20 мл мин−1) является квазиравновесным:
, (8)
где k – константа, обеспечивающая размерность t* в секундах; t – время эксперимента; JHe – скорость потока гелия.
Рис. 4. Зависимость рО2 от времени для температуры 850°C при различных скоростях потока гелия (а) и ее аффинное преобразование (б).
На рис. 5 приведены изотермы 4+δ – ln pO2 LNO для температур Т = 600–850°C (FHe = 20 мл/мин) с реперными точками, полученными методами ТГ, и сравнение с литературными данными [5]. Полученные результаты согласуются с литературными равновесными ТГ-данными.
Рис. 5. Равновесная фазовая диаграмма 4+δ – ln pO2 – T LNO (Т = 600–850°С) в сравнении с литературными данными [5].
Как можно видеть из рис. 6, содержание кислорода в никелате лантана 4+δ зависит от парциального давления кислорода во всей исследованной области температур и давлений по логарифмическому закону, согласно уравнению (9).
, (9)
где δ0 – содержание кислорода при pO2 = 1 атм, β – параметр, линейно связывающий содержание кислорода и равновесное парциальное давление кислорода над образцом.
Рис. 6. Изотермы LNO при 600°С (а) и 850°С (б).
На рис. 7 приведены результаты расчета параметра β для всех температур.
Рис. 7. Зависимость параметра β от температуры.
Необходимо отметить, что логарифмическая зависимость δ от pO2 (уравнение (9)) характерна для кобальтсодержащих перовскитов, но не для ферритов.
В связи с этим становится ясно, почему применение стандартной для ферритов модели локализованного электрона не приводит к удовлетворительным результатам. Тем не менее, схожие с кобальтитами зависимости наталкивают на мысль о применении rigid-band model (RBM) [10–12], которая позволяет достаточно хорошо описать дефектную структуру кобальтсодержащих перовскитов. Подробный анализ термодинамических параметров LNO будет представлен в дальнейших работах.
ЗАКЛЮЧЕНИЕ
Методом КРВК получена непрерывная фазовая диаграмма 4+δ – ln pO2 в области температур 600–850°C и парциальных давлений кислорода 2·10−1–10–4 атм для нестехиометрического оксида LNO. Показано, что изотермы 4+δ – ln pO2 имеют практически линейный вид в достаточно широком диапазоне температур и давлений, что характерно для кобальтсодержащих перовскитов.
ФИНАНСИРОВАНИЕ РАБОТЫ
Работа выполнена в рамках стипендии Президента Российской Федерации молодым ученым и аспирантам (Конкурс СП-2022).
КОНФЛИКТ ИНТЕРЕСОВ
Авторы заявляют, что у них нет конфликта интересов.
About the authors
E. S. Tropin
Institute of Solid State Chemistry and Mechanochemistry of Siberian Branch of Russian Academy of Sciences
Author for correspondence.
Email: evg2306@mail.ru
Russian Federation, Novosibirsk
M. P. Popov
Institute of Solid State Chemistry and Mechanochemistry of Siberian Branch of Russian Academy of Sciences
Email: popov@solid.nsc.ru
Russian Federation, Novosibirsk
R. D. Guskov
Institute of Solid State Chemistry and Mechanochemistry of Siberian Branch of Russian Academy of Sciences
Email: evg2306@mail.ru
Russian Federation, Novosibirsk
A. P. Nemudry
Institute of Solid State Chemistry and Mechanochemistry of Siberian Branch of Russian Academy of Sciences
Email: evg2306@mail.ru
Russian Federation, Novosibirsk
References
- Adler, S.B., Chen, X.Y., and Wilson, J.R., Mechanisms and rate laws for oxygen exchange on mixed-conducting oxide surfaces, J. Catal., 2007, vol. 245, p. 91.
- Lankhorst, M.H.R., Bouwmeester, H.J.M., and Vervweij, H., High-temperature coulometric titration of , J. Solid State Chem., 1997, vol. 133, p. 555.
- Ananyev, M.V., Tropin, E.S., Eremin, V.A., Farlenkov, A.S., Smirnov, A.S., Kolchugin, A.A., Porotnikova, N.M., Khodimchuk, A.V., Berenov, A.V., and Kurumchin, E.Kh, Oxygen isotope exchange in , Phys. Chem. Chem. Phys., 2016, vol. 18, p. 9102.
- Petrov, A.N., Kononchuk, O.F., Andreev, A.V., Cherepanov, V.A., and Kofstad, P., Crystal structure, electric and magnetic properties of , J. Solid State Ionics, 1995, vol. 80, p. 189.
- Nakamura, T., Yashiro, K., Sato, K., and Mizusaki, J., Oxygen nonstoichiometry and defect equilibrium in , J. Solid State Ionics, 2009, vol. 180, p. 348.
- Starkov, I., Bychkov, S., Matvienko, A., and Nemudry, A., A new technique from the research group of As featured in: Oxygen release technique as a method for the determination of “δ – – T ” diagrams for MIEC oxides, Phys. Chem. Chem. Phys., 2014, vol. 16, p. 5527.
- Chizhik, S.A., Bychkov, S.F., Popov, M.P., and Nemudry, A.P., Brønsted-Evans-Polanyi relationship in oxygen exchange of non-stoichiometric oxides with gas phase, Chem. Eng. J., 2019, vol. 371, p. 319.
- Chizhik, S.A., Bychkov, S.F., Voloshin, B.V., Popov, M.P., and Nemudry, A.P., The Brønsted –Evans –Polanyi relationship in oxygen exchange of fuel cell cathode material with the gas phase, Phys. Chem. Chem. Phys., 2021, vol. 23, p. 1072.
- Chizhik, S.A., Kovalev, I.V., Popov, M.P., Bychkov, S.F., and Nemudry, A.P., Study of the isobaric and isostoichiometric kinetic parameters of oxygen exchange reaction of MIEC perovskite, Chem. Eng. J., 2021, vol. 445, p. 136724.
- Lankhorst, M.H.R., Bouwmeester, H.J.M., and Vervweij, H., Chemical diffusion and oxygen exchange of , J. Ceram. Soc., 1997, vol. 80, p. 2175.
- Lankhorst, M.H.R. and Elshof, J.E., The Significance of Gas-Phase Mass Transport in Assessment of kchem and Dchem, J. Solid State Chem., 1997, vol. 130, p. 302.
- Bychkov, S.F., Sokolov, A.G., Popov, M.P., and Nemudry, A.P., Relation between oxygen stoichiometry and thermodynamic properties and electronic structure of nonstoiciometric perovskite , Phys. Chem. Chem. Phys., 2016, vol. 18, p. 29543.
Supplementary files
Note
Публикуется по материалам IX Всероссийской конференции с международным участием “Топливные элементы и энергоустановки на их основе”, Черноголовка, 2022.









