Эффект близости в ферромагнитных структурах InGaAs/GaAs/CoPt
- Авторы: Зайцев С.В.1
-
Учреждения:
- Федеральное государственное бюджетное учреждение науки Институт физики твердого тела имени Ю.А. Осипьяна Российской академии наук
- Выпуск: Том 87, № 2 (2023)
- Страницы: 213-217
- Раздел: Статьи
- URL: https://journals.rcsi.science/0367-6765/article/view/135275
- DOI: https://doi.org/10.31857/S0367676522700399
- EDN: https://elibrary.ru/AESWOU
- ID: 135275
Цитировать
Полный текст
Аннотация
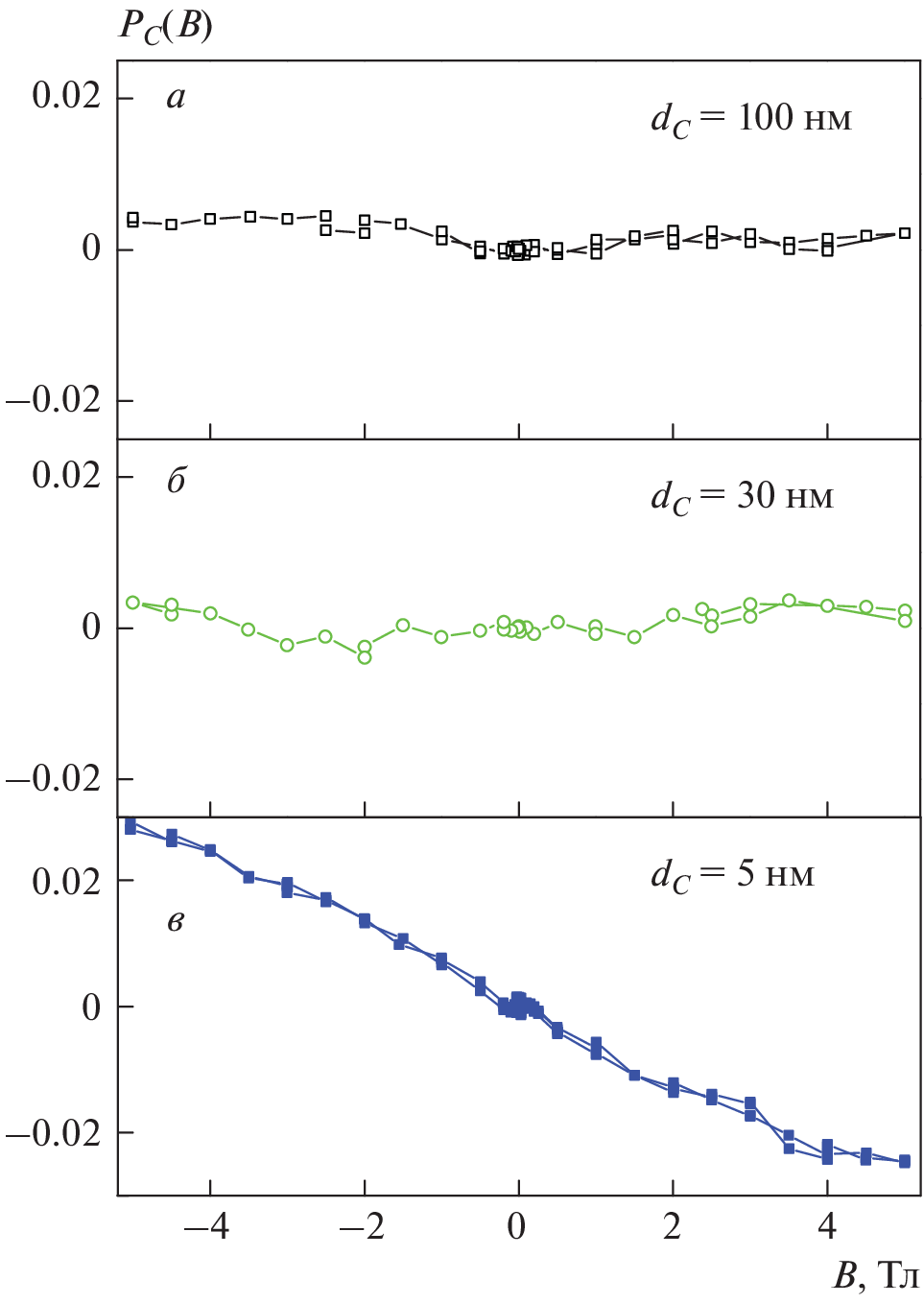
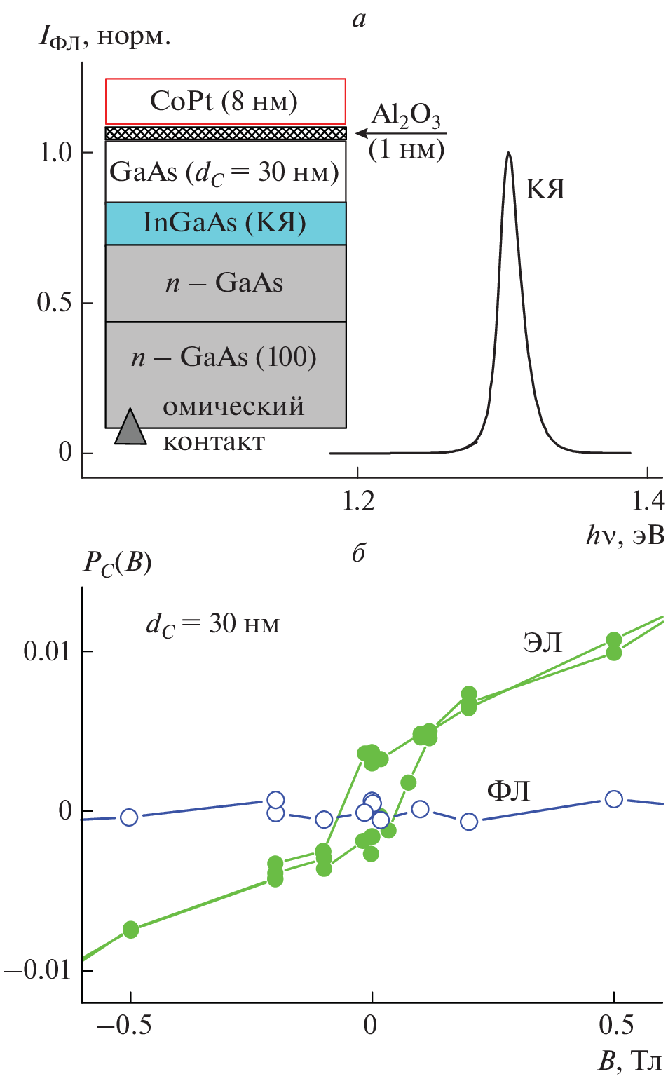
В структуре GaAs/InGaAs/GaAs/Al2O3(1 нм)/CoPt с узким спейсером GaAs толщиной dS = 5 нм наблюдается ферромагнитное влияние тонкого (~8 нм) слоя CoPt на циркулярную поляризацию фотолюминесценции квантовой ямы InGaAs/GaAs, при этом электролюминесценция поляризована для всех dS = 5–100 нм. Короткодействующий характер эффекта близости связывается с туннельной связью электронов квантовой ямы с ферромагнитным слоем CoPt.
Об авторах
С. В. Зайцев
Федеральное государственное бюджетное учреждение наукиИнститут физики твердого тела имени Ю.А. Осипьяна Российской академии наук
Автор, ответственный за переписку.
Email: szaitsev@issp.ac.ru
Россия, Черноголовка
Список литературы
- Dietl T., Ohno H. // Rev. Mod. Phys. 2014. V. 86. P. 187.
- Nazmul A.M., Amemiya T., Shuto Y. et al. // Phys. Rev. Lett. 2005. V. 95. Art. No. 017201.
- Захарченя Б.П., Коренев В.Л. // УФН. 2005. Т. 175. С. 629; Zakharchenya B.P., Korenev V.L. // Phys. Usp. 2005. V. 48. P. 603.
- Myers R.C., Gossard A.C., Awschalom D.D. // Phys. Rev. B. 2004. V. 69. Art. No. 161305(R).
- Зайцев С.В., Дорохин М.В., Бричкин А.С. и др. // Письма в ЖЭТФ. 2009. Т. 90. С. 730; Zaitsev S.V., Dorokhin M.V., Brichkin A.S. et al. // JETP Lett. 2010. V. 90. P. 658.
- Korenev V.L., Salewski M., Akimov I.A. et al. // Nature Phys. 2016. V. 12. No. 1. P. 85.
- Akimov I.A., Salewski M., Kalitukha I.V. et al. // Phys. Rev. B. 2017. V. 96. Art. No. 184412.
- Здоровейщев А.В., Дорохин М.В., Демина П.Б. и др. // ФТП. 2015. Т. 49. № 12. С. 1649; Zdoroveyshchev A.V., Dorokhin M.V., Demina P.B. et al. // Semiconductors. 2015. V. 49. No. 12. P. 1601.
- Дорохин М.В., Ведь М.В., Демина П.Б. и др. // ФТТ. 2017. Т. 59. № 11. С. 2135; Dorokhin M.V., Ved’ M.V., Demina P.B. et al. // Phys. Sol. State. 2017. V. 59. No. 11. P. 2155.
- Дорохин М.В., Демина П.Б., Здоровейщев А.В. и др. // ЖТФ. 2022. Т. 92. № 5. С. 724; Dorokhin M.V., Demina P.B., Zdoroveyshchev A.V. et al. // Tech. Phys. 2022. V. 92. No. 5. P. 613.
- Kalitukha I.V., Ken O.S., Korenev V.L. et al. // Nano Lett. 2021. V. 21. No. 6. P. 2370.
- Зайцев С.В. // ФНТ. 2012. Т. 38. № 5. С. 513; Zaitsev S.V. // Low Temp. Phys. 2012. V. 38. No. 5. P. 399.






