Evolution of magnetic tunnel junction’s modes for different directions of an external magnetic field
- Authors: Shkanakina M.D.1,2, Kichin G.A.1, Skirdkov P.N.1,3, Putrya M.G.2, Zvezdin K.A.1,3
-
Affiliations:
- New Spintronic Technologies LLC, Russian Quantum Center
- National Research University “Moscow Institute of Electronic Technology”
- Prokhorov General Physics Institute of the Russian Academy of Sciences
- Issue: Vol 87, No 1 (2023)
- Pages: 109-114
- Section: Articles
- URL: https://journals.rcsi.science/0367-6765/article/view/135257
- DOI: https://doi.org/10.31857/S036767652270020X
- EDN: https://elibrary.ru/JTZPNY
- ID: 135257
Cite item
Full Text
Abstract
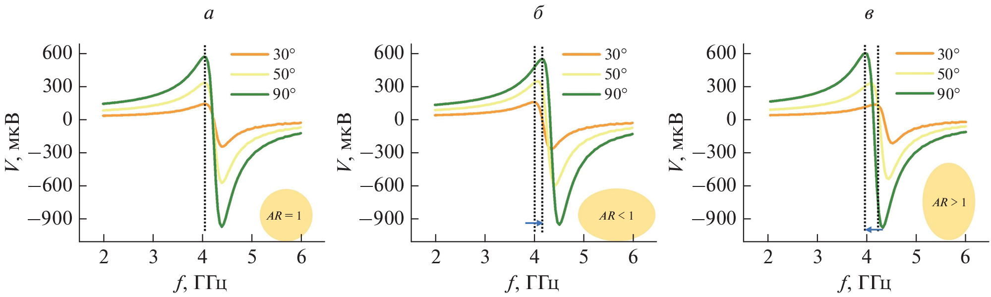
We present the investigation of the behavior of magnetic tunnel junction’s (MTJ) modes for the different magnitude and the directions of the external magnetic field by the ST-FMR method. We have found an insensitive mode of MTJ to the direction of the external magnetic field. Using macrospin modeling, we show that the behavior of the uniform mode of a free layer of MTJ is like the insensitive mode.
About the authors
M. D. Shkanakina
New Spintronic Technologies LLC, Russian Quantum Center; National Research University “Moscow Institute of Electronic Technology”
Author for correspondence.
Email: m.shkanakina@nst.tech
Russia, 143026, Skolkovo; Russia, 124498, Moscow
G. A. Kichin
New Spintronic Technologies LLC, Russian Quantum Center
Email: m.shkanakina@nst.tech
Russia, 143026, Skolkovo
P. N. Skirdkov
New Spintronic Technologies LLC, Russian Quantum Center; Prokhorov General Physics Institute of the Russian Academy of Sciences
Email: m.shkanakina@nst.tech
Russia, 143026, Skolkovo; Russia, 119333, Moscow
M. G. Putrya
National Research University “Moscow Institute of Electronic Technology”
Email: m.shkanakina@nst.tech
Russia, 124498, Moscow
K. A. Zvezdin
New Spintronic Technologies LLC, Russian Quantum Center; Prokhorov General Physics Institute of the Russian Academy of Sciences
Email: m.shkanakina@nst.tech
Russia, 143026, Skolkovo; Russia, 119333, Moscow
References
- Lenz J., Edelstein A.S. // IEEE Sens. J. 2006. No. 6. P. 631.
- Kiselev S.I., Sankey J.C., Krivorotov I.N. et al. // Nature. 2003. V. 425. P. 380.
- Katine J.A., Albert F.J., Buhrman R.A. et al. // Phys. Rev. Lett. 2000. V. 84. No. 14. P. 3149.
- Hosomi M., Yamagishi H., Yamamoto T. et al. // Proc. IEDM’06 Tech. Dig. (San Francisco, 2006) P. 473.
- Houssameddine D., Ebels U., Delaȅt B. et al. // Nature Mater. 2007. V. 6. P. 447.
- Skirdkov P.N., Zvezdin K.A. // Annu. Phys. 2020. V. 532. No. 6. Art. No. 1900460.
- Kawahara T., Takemura R., Miura K. et al. // Proc. ISSCC 2007 Tech. Dig. (San Francisco, 2007) P. 480.
- Fang B., Carpentieri M., Louis S. et al. // Phys. Rev. Appl. 2019. No. 11. Art. No. 014022.
- Sankey J.C., Cui J.-T., Sun J.Z. et al. // Nature Phys. 2008. V. 4. P. 67.
- Zeng Z., Cheung K.H., Jiang H.W. et al. // Phys. Rev. B. 2010. V. 82. No. 10. Art. No. 100410(R).
- Helmer A., Cornelissen S., Devolder T. et al. // Phys. Rev. B. 2010. V. 81. No. 9. Art. No. 094416.
Supplementary files






