Исследование электропроводности природных вод в импульсном поле возрастающей напряженности (на примере Камского бассейнового округа)
- 作者: Файзуллин Р.А.1, Шигимага В.А.2, Осокина А.С.1
- 
							隶属关系: 
							- Удмуртский федеральный исследовательский центр УрО РАН
- Харьковский государственный биотехнологический университет
 
- 期: 卷 51, 编号 3 (2024)
- 页面: 361-368
- 栏目: ГИДРОХИМИЯ, ГИДРОБИОЛОГИЯ, ЭКОЛОГИЧЕСКИЕ АСПЕКТЫ
- URL: https://journals.rcsi.science/0321-0596/article/view/268821
- DOI: https://doi.org/10.31857/S0321059624030126
- EDN: https://elibrary.ru/ATMACL
- ID: 268821
如何引用文章
全文:
详细
Методом и аппаратурой кондуктометрии в импульсном электрическом поле возрастающей напряженности измерена удельная электропроводность различных видов природных вод (артезианских, рек, родников). На примере вод восточной части Камского бассейнового округа показана возможность использования электропроводности природной воды в функции напряженности поля в качестве интегрального показателя естественной минерализации с проводящими примесями (в том числе и антропогенного происхождения). Проведены изучение и оценка загрязнения некоторых природных вод бассейнового округа. Рассмотрены некоторые аспекты применения импульсной кондуктометрии в электрическом поле возрастающей напряженности для исследования сезонных, экологических и других параметров природных вод.
全文:
ВВЕДЕНИЕ
Метод кондуктометрии нашел широкое применение в исследованиях физико-химических процессов, связанных с изменением электропроводности (проводимости) жидких сред, содержащих ионы [1–3]. Кроме традиционного анализа в электрохимии, разнообразные модификации этого метода успешно используются для определения концентрации синтетических удобрений в оросительных системах, водоподготовки в энергетике, на фарм- и химпроизводствах, а также для анализа качества природных вод различного происхождения [4–7, 9].
Удельная электропроводность (проводимость) – одно из основных физических свойств воды как универсального растворителя и среды протекания всех жизненных процессов, имеющих в подавляющем большинстве электрическую природу, особенно на клеточном уровне [8, 13]. Поскольку проводимость – интегральный показатель содержания в воде различных растворенных веществ в виде ионов [4, 6], то измерение этого показателя для природных вод биосферы позволяет определить как их общую минерализацию, так и (в дополнение к ней) общую загрязненность растворенными проводящими примесями, большей частью антропогенного происхождения [4, 5, 9].
В природных водах, содержащих преимущественно растворимые минеральные соединения (большинство поверхностных и артезианских источников), проводимость – интегральный показатель концентрации неорганических электролитов, а также антропогенных примесей [10, 14, 15, 19].
В традиционной кондуктометрии в качестве сигнала, питающего датчик, используется небольшое и постоянное по амплитуде напряжение, т. е. напряженность электрического поля в жидкой среде между электродами датчика неизменна [6]. Питающее напряжение обычно переменное (синусоидальное или импульсное) во избежание явлений электролиза, поляризации и прочих побочных эффектов. Однако известно, что проводимость прямо связана с подвижностью ионов, которая, в свою очередь, зависит от напряженности поля [1, 2]. Отсюда возник интерес к исследованию проводимости в поле с изменяемой, точнее – возрастающей напряженностью. Появляется возможность исследовать проводимость природной воды в импульсном электрическом поле возрастающей напряженности (ИЭПВН) с целью как определения естественной общей минерализации, так и оценки (путем сравнения) наличия проводящих примесей антропогенного происхождения [11, 18, 16].
МАТЕРИАЛЫ И МЕТОДЫ
Пробы природной воды отбирали в одноразовые пробирки Эппендорфа емкостью 1–2 мл с герметичной крышкой (рис. 1). Крышку пробирки с пробкой закрывали для исключения контакта с воздухом и испарения воды.
Рис. 1. Пробы природной воды в пробирках Эппендорфа на 1-2 мл
Во время отбора проб исключался контакт рук и других возможных источников проводящих загрязнений с внутренней поверхностью крышки и верхним краем пробирки. Проводимость проб измеряли в течение нескольких дней после отбора, чтобы исключить возможные долговременные изменения в воде, особенно речной (которая обычно содержит различные микроорганизмы).
Исследования проводимости природной воды выполнены в ИЭПВН методом и аппаратурой кондуктометрии с погрешностью ≤3.5% в диапазоне 0...3 кВ/см [17]. Все измерения проводимости образцов воды выполнены при температуре +25±0.5°С. Для этого использован термостабилизированный столик, а температурная погрешность измеренной проводимости была ≤2% [13]. Учитывая то, что температурная зависимость проводимости разбавленных водных растворов незначительна и линейна (в данном диапазоне) [1, 2, 13], ее влиянием на нелинейные процессы в ИЭПВН можно пренебречь.
На рис. 2 представлена блок-схема импульсного кондуктометра для измерения электропроводности природной воды.
Рис. 2. Блок-схема импульсного кондуктометра для измерения проводимости воды в ИЭПВН
Схема включает следующие элементы: генератор прямоугольного импульса (ГПИ), предварительный усилитель (ПУ), высоковольтный усилитель мощности (ВУМ) с пошаговым усилением, микроэлектроды, декадный делитель (ДД) из прецизионных резисторов, двухканальный осциллограф и стабилизированный блок питания (БП). Чувствительность кондуктометра составляет ~0.7×10–6 М или ~3 г NaCl на 60 т деионизованной воды.
Для измерения проводимости микроэлектроды погружались в каплю исследуемой пробы воды и на них подавалась серия прямоугольных, возрастающих по амплитуде с заданным шагом импульсов напряжения. Первичные данные измерений сняты с помощью осциллографа и обработаны по предложенному ранее алгоритму [17, 13]. Полученные данные проводимости природной воды в зависимости от напряженности электрического поля нанесены на график, а затем построены их линейные тренды в диапазоне напряженности 0.5…1.5 кВ/см. Все расчеты, статистическая обработка и построение графиков проведены в среде табличного процессора Microsoft Office Excel.
РЕЗУЛЬТАТЫ И ОБСУЖДЕНИЕ
Перед началом измерений проводимости проведена калибровка импульсного кондуктометра так, чтобы можно было определить минерализацию природной воды [13]. Для этого выполнены следующие манипуляции.
- Приготовлены калибровочные растворы NaCl (SIGMA) известной концентрации на апирогенной деионизованной воде (АДВ) с учетом возможного диапазона естественной минерализации природных вод, которые, как правило, содержат значительную часть именно ионов Na+.
- Измерены проводимости растворов в ИЭПВН в порядке возрастания концентрации NaCl. Перед каждым измерением микроэлектроды промывались в чашке Петри в большом объеме АДВ.
- Построены графики проводимости растворов в функции напряженности поля и выбраны квазилинейные участки на кривых проводимости в интервале напряженности 0.5…1.5 кВ/см.
- С помощью пакета математического анализа в процессоре Microsoft Excel построены линейные тренды (аппроксимация). На графики выведены уравнения линейной регрессии вида: у = ах + в, где у – проводимость, х – напряженность поля, а – наклон линейного тренда, в – начальная ордината.
- Взяты наклоны линейных трендов и построен калибровочный график в координатах: наклон H – концентрация C раствора NaCl (рис. 3).
Рис. 3. Калибровочный график наклон–концентрация раствора NaCl. Сплошная линия с точками – эксперимент, штриховая – линейная регрессия
Для оценки погрешности линейной регрессии на график выведен коэффициент детерминации R2 = 0.99 (критерий согласия).
Далее, после определения аналогичным образом наклона участка кривой проводимости природной воды в интервале 0.5…1.5 кВ/см по уравнению на калибровочном графике (рис. 3) найдена ее общая минерализация (с оговоркой, что она определена приближенно по содержанию только NaCl).
Ниже приведены результаты измерений проводимости в ИЭПВН природных вод на примере некоторых пресных поверхностных вод Камского бассейнового округа (естественных источников (родников), скважин, рек) в сравнении с некоторыми другими реками и источниками.
На рис. 4 представлены зависимости проводимости в ИЭПВН воды некоторых крупных и средних рек Камского бассейнового округа (вода рек Волги и Днепр для сравнения), пробы взяты вблизи берега.
Рис. 4. Проводимость в ИЭПВН воды больших и средних рек Камского бассейнового округа (реки Волга и Днепр для сравнения). 1 – р. Вятка; 2 – р. Кама, нижнее течение; 3 – р. Кама (выход г. Сарапул); 4 – р. Белая; 5 – р. Сива; 6 – р. Днепр, ниже пешеходного моста; 7 – р. Днепр выше пешеходного моста; 8 – р. Волга; 9 – р. Кама (вход г. Сарапул)
Обращает на себя внимание характер проводимости воды р. Камы (кривые 2, 3 и 9 на рис. 4). Так, проводимость ее воды на выходе из г. Сарапула превышает таковую на входе в город в >1.5 раза. По течению реки в пределах города естественная минерализация воды вряд ли так резко возрастет, следовательно, можно предположить, что основной вклад в это повышение дает именно антропогенная активность (коллекторные, ливневые и прочие стоки, в том числе и неконтролируемые или нештатные, а также промышленные и транспортные). Неудивительно поэтому, что в нижнем течении р. Камы это повышение проводимости воды достигает уже >2.5 раз (кривая 2 против кривой 9 на рис. 4).
Для сравнения, аналогичным образом ведет себя проводимость воды р. Днепр в центре г. Киева, возрастая почти на 30% на протяжении ~2 км вниз по течению. Что касается проводимости воды других рек (рис. 4), то эти зависимости также отражают, согласно закону Кольрауша [2], интегральный характер общей минерализации, включающей естественную и антропогенную, разделить которые можно, взяв пробы воды, например, на входе и после выхода реки из крупного агропромышленного района.
Интересно также отметить почти полное совпадение кривых проводимости воды Волги (кривая 8 на рис. 4) и Камы (кривая 9 на рис.4), что может быть связано как с гидрологическими параметрами рек, так и с геологическими особенностями грунтов русла, питающими притоками, подобным ландшафтом и т. п.
В табл. 1 приведены величины наклонов линий проводимости воды рек на рис. 4 и расчетные значения общей минерализации, включая естественную и от примесей антропогенного происхождения.
Таблица 1. Общая минерализация воды больших и средних рек Камского бассейнового округа по данным кондуктометрии в ИЭПВН (реки Волга и Днепр – для сравнения; в скобках – общая минерализация по данным гидрологии)
| Номер | Название реки, место отбора пробы | Наклон проводимости, мкСм/кВ | Минерализация, мг/л | 
| 1 | Вятка, г. Киров | 178.1 | 242.1 (200–300) | 
| 2 | Кама, нижнее течение | 162.5 | 220.9 (140–250) | 
| 3 | Кама, г. Сарапул на выходе | 105.2 | 142.8 | 
| 4 | Белая, нижнее течение | 106.4 | 144.5 | 
| 5 | Сива, нижнее течение | 69.9 | 94.8 | 
| 6 | Днепр, г. Киев, 1500 м ниже пешеходного моста | 80.2 | 108.9 (>100) | 
| 7 | р. Днепр, г. Киев, 300 м выше пешеходного моста | 63.5 | 86.2 | 
| 8 | Волга, г. Казань | 55.7 | 75.4 (100–200) | 
| 9 | Кама, г. Сарапул на входе | 46.1 | 62.5 | 
Данные табл. 1 подтверждают приведенные выше замечания о том, что общая минерализация воды р. Камы закономерно повышается как по течению через промышленный г. Сарапул, так и по достижении нижнего течения реки. Аналогичным образом ведет себя минерализация воды и других рек, например Днепра. Кроме того, данные табл. 1 показывают, что расчетная минерализация неплохо совпадает с известными данными по гидрологическим параметрам этих рек.
На рис. 5 представлены зависимости проводимости в ИЭПВН воды некоторых малых рек Камского бассейнового округа в Удмуртии (пробы взяты вблизи берега).
Рис. 5. Проводимость в ИЭПВН воды малых рек Камского бассейнового округа в Удмуртии (р. Харьков для сравнения). 1 – р. Харьков; 2 – р. Березовка; 3 – р. Карлутка; 4 – р. Чепца; 5 – р. Буй; 6 – р. Иж; 7 – р. Большая Сарапулка; 8 – р. Мозжинка; 9 – водопровод (г. Ижевск)
Комментируя кривые, представленные на рис. 5, следует отметить, что в целом проводимость воды малых рек несколько выше, чем больших. Это можно связать с большей полноводностью последних, поскольку с ростом полноводности концентрация растворимых примесей уменьшается. Характерно, что проводимость воды р. Харьков, взятой для сравнения, значительно (в 1–3 раза) превышает таковую у малых рек Удмуртии (рис. 5). Это логично объяснить тем, что р. Харьков протекает через один из крупных промышленных центров с развитой инфраструктурой и большими транспортными потоками. Интересно отметить, что наименьшую проводимость имеет вода из водопровода г. Ижевска, что положительно характеризует работу городской службы по очистке и подготовке питьевой воды к подаче в городской водопровод (рис. 5).
В табл. 2 приведены величины наклонов линий проводимости воды малых рек (рис. 5), а также расчетные значения общей минерализации, включая естественную и от примесей антропогенного происхождения.
Таблица 2. Общая минерализация воды малых рек Камского бассейнового округа по данным кондуктометрии в ИЭПВН (р. Харьков для сравнения)
| Номер | Название реки | Наклон, мкСм/кВ | Минерализация, мг/л | 
| 1 | Харьков, нижнее течение, г. Харьков | 283.5 | 385.4 | 
| 2 | Березовка, г. Воткинск | 147.6 | 200.5 | 
| 3 | Карлутка, г. Ижевск, центр | 151.6 | 206.1 | 
| 4 | Чепца, г. Глазов | 102.9 | 139.7 | 
| 5 | Буй, нижнее течение | 106.7 | 144.9 | 
| 6 | Иж, г. Ижевск (ниже пруда) | 78.4 | 106.4 | 
| 7 | Большая Сарапулка, п. Уральский | 69.5 | 94.3 | 
| 8 | Мозжинка, пос. Уральский | 73.0 | 99.0 | 
| 9 | водопровод, г. Ижевск | 72.4 | 98.3 | 
Данные табл. 2 в целом подтверждают приведенные выше предположения.
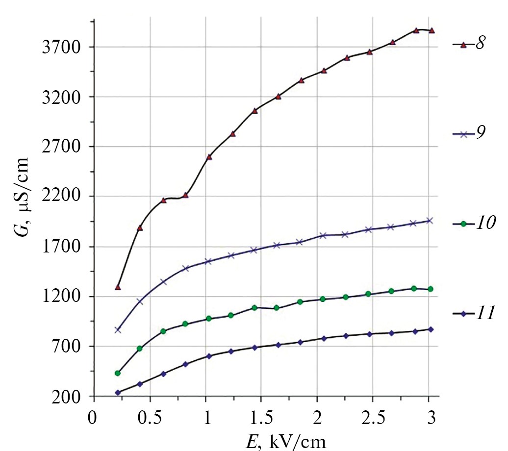
На рис. 6 и 7 представлены зависимости проводимости в ИЭПВН воды некоторых родников и скважин Удмуртии.
Рис. 6. Проводимость в ИЭПВН воды некоторых родников и скважин Удмуртии. 1 – скважина 2, п. Первомайский; 2 – родник 3, п. Первомайский; 3 – родник 1, г. Ижевск; 4 – родник 2, г. Ижевск; 5 – пруд Паркачево; 6 – скважина 1, п. Первомайский; 7 – скважина 3, д. Кечур
Рис. 7. Проводимость в ИЭПВН воды некоторых родников и скважин Удмуртии (“Крымская” и “Харьковская-1” для сравнения). 8 – “Крымская”; 9 – “Увинская жемчужина”; 10 – “Харьковская-1”; 11 – “Свято-Михайловская”
Представленные на рис. 6 и 7 зависимости проводимости воды дают представление об общей тенденции: чем больше естественная минерализация воды скважин, тем больше проводимость и больше наклон ее линии на графике (скорость роста).
В табл. 3 приведены величины наклонов линий зависимостей проводимости воды родников и скважин, представленных на рис. 6 и 7, а также расчетные значения общей минерализации, включая известные паспортные данные некоторых естественных источников.
Таблица 3. Общая минерализация воды некоторых родников и скважин Удмуртии по данным кондуктометрии в ИЭПВН (“Крымская” и “Харьковская-1” для сравнения; общая минерализация, г/л – в скобках по паспорту)
| Номер | Название источника | Наклон, мкСм/кВ | Минерализация, мг/л | 
| 1 | Частная скважина 2, п. Первомайский | 249.5 | 339.2 | 
| 2 | Родник 3, п. Первомайский, ул. Октябрьская | 231.6 | 314.8 | 
| 3 | Родник 1, г. Ижевск, ул. Родниковая | 160.4 | 218.5 | 
| 4 | Родник 2, г. Ижевск, парк Драгунова | 149.3 | 202.9 | 
| 5 | Пруд Паркачево, Сарапул. р-н | 118.3 | 160.7 | 
| 6 | Частная скважина 1, п. Первомайский | 116.4 | 158.1 | 
| 7 | Частная скважина 3, д. Кечур, Малопургинский р-н | 82.8 | 112.4 | 
| 8 | “Крымская” (лечебная) | 1168.9 | 1.59 (1.7–2.5) | 
| 9 | “Увинская жемчужина” | 477.9 | 0.65 (0.4–0.8) | 
| 10 | “Харьковская-1” | 397.2 | 0.57 (0.7–0.9) | 
| 11 | “Свято-Михайловская” | 318.1 | 0.43 (0.3–0.7) | 
Представленные в табл. 3 данные минерализации воды скважин и родников могут либо быть следствием значительной глубины залегания водных горизонтов, малочувствительных к антропогенному давлению, либо, наоборот, находясь близко к поверхности, испытывать его влияние – тогда проводимость заметно выше (например, родники, находящиеся в черте г. Ижевска, или неглубокие частные скважины). Лечебные воды (например, “Крымская”), как правило, имеют повышенную минерализацию, в отличие от столовых (“Увинская жемчужина”, “Свято-Михайловская”).
Следует заметить, что кондуктометрия в ИЭПВН дает несколько заниженные данные, особенно при минерализации >1 г/л (табл. 3), поскольку калибровка (рис. 3) проведена только по основному вкладу в общую минерализацию в виде соли NaCl. Тем не менее предположение о связи наклона с минерализацией в целом верно. Несовпадение отдельных расчетных значений с известными можно объяснить тем, что минеральный состав вод различен. В них растворены еще и другие соли, а также растворимые антропогенные примеси, поэтому надо учитывать интегральный характер проводимости, согласно закону Кольрауша [2].
Конечно, предложенный интегральный метод кондуктометрии в ИЭПВН не дает информации о микробной контаминации воды, о присутствии конкретных видов тяжелых ионов и т. п., однако простота, оперативность анализа и недорогая аппаратная реализация, предусматривающая и портативный вариант с накоплением данных в блоке памяти, – его преимущество. Кроме того, возможна также реализация дифференциального варианта метода [12], когда путем моделирования кривых проводимости и математического анализа находятся координаты всех их локальных экстремумов, которые затем можно идентифицировать как вклад соответствующих ионов в общую проводимость воды с использованием в качестве калибровочного, например, метода пламенной фотометрии. Что касается оценки вклада антропогенных проводящих примесей в общую проводимость природной воды, то ее можно выполнить, сравнив, например, проводимость воды реки выше и ниже по течению от крупного города или местности с развитым агропромышленным производством [11, 12].
Перспектива исследования проводимости природных вод методом кондуктометрии в ИЭПВН состоит в следующем. С помощью предложенного метода можно измерять проводимость воды, в частности – в реках, родниках и других поверхностных источниках питьевой и лечебной воды с целью сезонного, гидрологического и экологического мониторинга и т. п. [15, 19]. Кондуктометрия в ИЭПВН перспективна также для мониторинга природных вод атмосферы (в виде осадков) [12]. Возможны и другие области применения предложенного метода, где требуется оперативная оценка природной воды по интегральной проводимости с небольшими затратами труда и недорогим оборудованием непосредственно в полевых условиях. Более глубокий анализ полученных данных, предварительно накопленных в блоке памяти в [11], можно провести в стационарной лаборатории с применением методов математической обработки и моделирования [12].
ЗАКЛЮЧЕНИЕ
Большинство исследованных рек, родников и скважин дают воду с низкой и средней общей минерализацией. Это, предположительно, может быть связано как с водным обилием, геофизическими особенностями рельефа и состава грунтов, так и с бережным отношением населения к чистоте природы, с влиянием органов управления и надзора, несмотря на развитую агропромышленную инфраструктуру Удмуртской республики.
Таким образом, метод и аппаратура кондуктометрии в ИЭПВН позволяют выполнять исследования проводимости природных вод различного происхождения и получать дополнительные сведения о них как для оценки общей минерализации, так и для целей разных видов оперативного мониторинга: экологического, гидрофизического, сезонного и т. п., где применяется традиционная кондуктометрия для исследования водных объектов.
作者简介
Р. Файзуллин
Удмуртский федеральный исследовательский центр УрО РАН
														Email: Anastasia.osokina2017@yandex.ru
				                					                																			                												                	俄罗斯联邦, 							Ижевск						
В. Шигимага
Харьковский государственный биотехнологический университет
														Email: Anastasia.osokina2017@yandex.ru
				                					                																			                												                	乌克兰, 							Харьков						
А. Осокина
Удмуртский федеральный исследовательский центр УрО РАН
							编辑信件的主要联系方式.
							Email: Anastasia.osokina2017@yandex.ru
				                					                																			                												                	俄罗斯联邦, 							Ижевск						
参考
- Грилихес М.С., Филановский Б.К. Контактная кондуктометрия: теория и практика метода. Л.: Химия, 1980. 175 с.
- Дамаскин Б.Б., Петрий О.А., Цирлина Г.А. Электрохимия. М.: Химия, 2006. 672 с.
- Догановский А.М., Малинин В.Н. Гидросфера Земли. СПб.: Гидрометеоиздат, 2004. 625 с.
- Кальвода Р., Зыка Я., Штулик К. и др. Электрохимические методы в контроле окружающей среды. М.: Химия, 1990. 240 с.
- Кузьмичева В.А. Экологический мониторинг при эксплуатации объектов водного транспорта с использованием методов кондуктометрии. Дис. ... канд. тех. наук. М.: МГАВТ, 2005. 144 c.
- Латышенко К.П. Принципы построения и разработка амплитудных, частотных и импульсных кондуктометров для контроля природной среды и технологических процессов. Автореф. дис. ... докт. тех. наук. М.: МГУИЭ, 2006. 32 с.
- Михайлов В.Н., Добровольский А.Д., Добролюбов С.А. Гидрология: учебник для вузов. М.: Высш. шк., 2007. 463 с.
- Рубин А.Б. Биофизика. Биофизика мембранных процессов. М.: МГУ, 2004. Т. 2. Ч. 3. С. 17–45.
- Слепченко Г.Б., Пикула Н.П., Дубова Н.М. и др. Электрохимический контроль качества вод (обзор) // Изв. Томского политех. ун-та. 2009. Т. 314. № 3. С. 59–69.
- Тихонова И.О., Кручинина Н.Е., Десятов А.В. Экологический мониторинг водных объектов. М.: Форум НИЦ Инфра-М, 2012. 152 с.
- Шигимага В.А. Измерения электропроводности природных вод биосферы // Экологические системы и приборы. 2016. № 4. С. 22–28.
- Шигимага В.А. Удельная проводимость природных вод как параметр экологического мониторинга // Экология и промышленность. 2017. № 1. С. 115–120.
- Шигимага В.А. Импульсная кондуктометрия клеток животных и жидких сред. Харьков: Планета-Принт, 2021. 345 с.
- Экология и охрана природы: Антропогенное загрязнение биосферы. [Электронный ресурс]. http://www.e-ng.ru/ekologiya_i_oxrana_prirody/antropogennoe_zagryaznenie_biosfery.html (дата обращения: 16.01.24)
- Rubin Y., Hubbard S.S. Hydrogeophysics. Dordrecht: Springer, 2005. 527 p.
- Shigimaga V., Blagov I., Kalimanova I. Conductometry of natural waters in pulsed electric field with rising strength // Proc. 30th National Sci. Sympos. “Metrology and metrology assurance 2020”. Sozopol, Bulgaria, 2020. P. 1–4.
- Shigimaga V.A. Pulsed conductometer for biological cells and liquid media // Measurement Techniques. 2013. V. 55. № 11. Р. 1294–1300.
- Shigimaga V.A. Pulsed conductometry in a variable electric field: outlook for the development of measurements // Measurement Techniques. 2015. V. 57. № 10. Р. 1213–1218
- Whiteley J.S., Chambers J.E., Uhlemann S., Wilkinson P.B., Kendall J.M. Geophysical monitoring of moisture‐induced landslides: A review // Rev. Geophys. 2019. V. 57. Р. 106–145. https://doi.org/10.1029/2018RG000603
补充文件
 
				
			 
						 
						 
						 
						 
					 
				
 
  
  
  电邮这篇文章
			电邮这篇文章 







