Broadband Acoustic Field in a Shallow-Water Waveguide with an Inhomogeneous Bottom
- Authors: Sidorov D.D.1, Petnikov V.G.1, Lunkov A.A.2,3
-
Affiliations:
- Prokhorov Institute of General Physics, Russian Academy of Sciences, 119991, Moscow, Russia
- Prokhorov General Physics Institute of the Russian Academy of Sciences, 119991, Moscow, Russia
- Bauman Moscow State Technical University, 105005, Moscow, Russia
- Issue: Vol 69, No 5 (2023)
- Pages: 608-619
- Section: АКУСТИКА ОКЕАНА. ГИДРОАКУСТИКА
- URL: https://journals.rcsi.science/0320-7919/article/view/134474
- DOI: https://doi.org/10.31857/S0320791923600221
- EDN: https://elibrary.ru/NFQPXC
- ID: 134474
Cite item
Full Text
Abstract
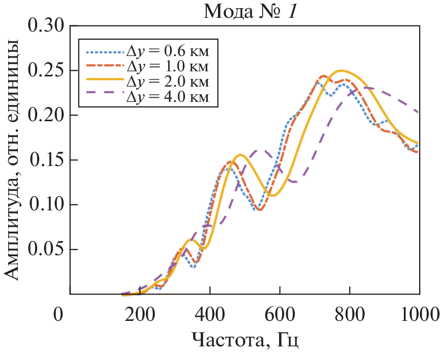
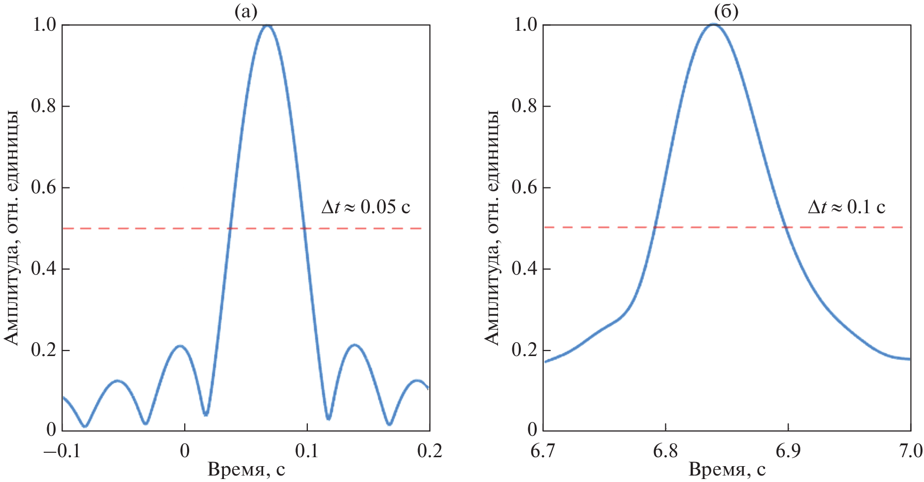
A broadband (35–1000 Hz) sound field formed by a point source in a shelf zone with inhomogeneous bottom sediment structure is studied using numerical modeling. The shelf depth is about 30 m and the maximum distance is 10 km. The transitional zone from the bottom with a sound speed of 1400 m/s to the bottom with a speed of 1600 m/s is chosen as the model inhomogeneity. The normal mode theory and wide-angle parabolic equations are used for sound field calculations. Numerical experiments show that the manifestation of horizontal refraction is noticeable at low frequencies (below 100 Hz). It leads to an increase in the amplitude of the low-frequency sound pulse propagating along the transitional zone by more than 10 dB in comparison with a similar waveguide with a homogeneous bottom. At frequencies above 100 Hz, the dominant effect is the mode coupling, causing the appearance of quasi-periodic oscillations of modal amplitude in the frequency domain. The conclusions from the simplified model are confirmed by calculations for the real structure of bottom sediments in the Kara Sea.
About the authors
D. D. Sidorov
Prokhorov Institute of General Physics, Russian Academy of Sciences, 119991, Moscow, Russia
Email: sidorov.dan.dmit@gmail.com
Россия, 119991, Москва, ул. Вавилова, 38
V. G. Petnikov
Prokhorov Institute of General Physics, Russian Academy of Sciences, 119991, Moscow, Russia
Email: petniko@kapella.gpi.ru
Россия, 119991, Москва, ул. Вавилова, 38
A. A. Lunkov
Prokhorov General Physics Institute of the Russian Academy of Sciences, 119991, Moscow, Russia; Bauman Moscow State Technical University, 105005, Moscow, Russia
Author for correspondence.
Email: lunkov@kapella.gpi.ru
Россия, 119991, Москва, ул. Вавилова, 38; Россия, 105005, Москва, ул. 2-я Бауманская, 5
References
- Куперман У., Енсен Ф. Акустика дна океана. М.: Мир, 1984. 456 с.
- Chapman R., Shang Ch. Review of Geoacoustic Inversion in Underwater Acoustics // J. Theor. Comput. Acoust. 2021. V. 29. № 3. P. 2130004.
- Ballard M.S., Becker K.M., Goff J. Geoacoustic Inversion for the New Jersey Shelf: 3-D Sediment Model // IEEE J. Ocean. Eng. 2010. V. 35. № 1. P. 28–42.
- Bonnel J., Lin Y.-T., Eleftherakis D., Goff J., Dosso S., Chapman R., Miller J., Potty G. Geoacoustic inversion on the New England Mud Patch using warping and dispersion curves of high-order modes // J. Acoust. Soc. Am. 2018. V. 143. № 5. P. EL405–EL411.
- Belcourt J., Holland C.W., Dosso S.E., Dettmer J., Goff J.A. Depth-dependent geoacoustic inferences with dispersion at the New England Mud Patch via reflection coefficient inversion // IEEE J. Ocean Eng. 2019. V. 45. № 1. P. 69–91.
- Григорьев В.А., Петников В.Г., Росляков А.Г., Терёхина Я.Е. Распространение звука в мелком море с неоднородным газонасыщенным дном // Акуст. журн. 2018. Т. 64. №. 3. С. 342–358.
- Ballard M.S., Lin Y.T., Lynch J.F. Horizontal refraction of propagating sound due to seafloor scours over a range-dependent layered bottom on the New Jersey shelf // J. Acoust. Soc. Am. 2012. V. 131. № 4. P. 2587–2598.
- Liu D., Li Z., Wang G., Liu Y. Sound propagation with undulating bottom in shallow water // J. Marine Science and Engineering. 2021. V. 9. № 9. P. 1010.
- Petrov P.S., Petrova T.N. Asymptotic solution for the problem of sound propagation in a sea with an underwater canyon // J. Acoust. Soc. Am. 2014. V. 136. № 4. P. EL281–EL287.
- Lunkov A., Sidorov D., Petnikov V. Horizontal refraction of acoustic waves in shallow-water waveguides due to an inhomogeneous bottom structure // J. Marine Science and Engineering. 2021. V. 9. № 11. P. 1269.
- Petnikov V.G., Grigorev V.A., Lunkov A.A., Sidorov D.D. Modeling underwater sound propagation in an Arctic shelf region with an inhomogeneous bottom // J. Acoust. Soc. Am. 2022. V. 151. № 4. P. 2297–2309.
- Komissarov A.A., Makarov D.V., Kholmogorov A.O., Shakirov R.B. Low-frequency sound propagation in an underwater waveguide with a giant gassy pockmark // J. Marine Science and Engineering. 2023. V. 11. № 1. P. 211.
- Gulin O.E., Yaroshchuk I.O. On average losses of low-frequency sound in a two-dimensional shallow-water random waveguide // J. Marine Science and Engineering. 2022. V. 10. № 6. P. 822.
- Рутенко А.Н., Гаврилевский А.В., Ковзель Д.Г., Коротченко Р.А., Путов В.Ф., Соловьев А.А. Мониторинг сейсмоакустических сигналов и антропогенных шумов на шельфе o. Сахалин // Акуст. журн. 2012. Т. 58. №. 2. С. 248–257.
- Волков М.В., Григорьев В.А., Жилин И.В., Луньков А.А., Петников В.Г., Шатравин А.В. Мелководный акустический волновод арктического типа как канал для передачи информации при звукоподводной связи // Акуст. журн. 2018. Т. 64. №. 6. С. 676–681.
- Uzhansky E., Gadol O., Lang G., Katsnelson B., Copel S., Kazaz T., Makovsky Y. Geoacoustic estimation of the seafloor sound speed profile in deep passive margin setting using standard multichannel seismic data // J. Marine Science and Engineering. 2021. V. 9. № 12. P. 1423.
- Рутенко А.Н., Боровой Д.И., Гриценко В.А., Петров П.С., Ущиповский В.Г. Мониторинг акустического поля сейсморазведочных импульсов в прибрежной зоне // Акуст. журн. 2012. Т. 58, №. 3. С. 356–369.
- Sturm F. Numerical study of broadband sound pulse propagation in three-dimensional oceanic waveguides // J. Acoust. Soc. Am. 2005. V. 117. № 3. P. 1058–1079.
- Lin Y.T., Newhall A.E., Miller J.H., Potty G.R., Vigness-Raposa K.J. A three-dimensional underwater sound propagation model for offshore wind farm noise prediction // J. Acoust. Soc. Am. 2019. V. 145. № 5. P. EL335–EL340.
- Луньков А.А., Шерменева М.А. Взаимодействие мод на сосредоточенной неоднородности в мелководном акустическом волноводе в широкой полосе частот // Акуст. журн. 2022. Т. 68. № 5. С. 510–519.
- Григорьев В.А., Луньков А.А. Взаимодействие мод на киле тороса в широкой полосе частот // Акуст. журн. 2023. Т. 69. № 4. С. 453–364.
- Collins M.D., Westwood E.K. A higher-order energy-conserving parabolic equqation for range-dependent ocean depth, sound speed, and density // J. Acoust. Soc. Am. 1991. V. 89. № 3. P. 1068–1075.
- Collins M.D. The adiabatic mode parabolic equation // J. Acoust. Soc. Am. 1993. V. 94. № 4. P. 2269–2278.
- Katsnelson B., Petnikov V., Lynch J. Fundamentals of Shallow Water Acoustics. Springer, New York, Dordrecht, Heildelberg, London, 2012.
- Бреховских Л.М., Годин О.А. Акустика неоднородных сред. Т. 2: Звуковые поля в слоистых и трехмерно-неоднородных средах. М.: Наука, 2009. 426 с.
- Collins M. Generalization of the Split-step Pade solution // J. Acoust. Soc. Am. 1994. V. 96. № 1. P. 382–385
- Lunkov A.A., Volkov M.V., Petnikov V.G., Grigoriev V.A. Normal mode coupling in a waveguide with a range-dependent sound speed profile in the bottom // 2019 Days on Diffraction (DD), St. Petersburg, Russia. 2019. P. 117–120.
- Grigor’ev V.A., Lunkov A.A., Petnikov V.G. Effect of sound-speed inhomogeneities in sea bottom on the acoustic wave propagation in shallow water // Physics of Wave Phenomena. 2020. V. 28(3). P. 255–266.
Supplementary files











