Генерация акустической волны разностной частоты в дифрагирующем пучке волн накачки в квазилинейном приближении
- Авторы: Тюрина А.В.1, Юлдашев П.В.1, Есипов И.Б.2, Хохлова В.А.1
-
Учреждения:
- Московский государственный университет им. М.В. Ломоносова, Физический факультет
- Российский государственный университет нефти и газа им. И.М. Губкина
- Выпуск: Том 69, № 1 (2023)
- Страницы: 22-31
- Раздел: НЕЛИНЕЙНАЯ АКУСТИКА
- URL: https://journals.rcsi.science/0320-7919/article/view/134374
- DOI: https://doi.org/10.31857/S0320791922600275
- EDN: https://elibrary.ru/DAKTTI
- ID: 134374
Цитировать
Полный текст
Аннотация
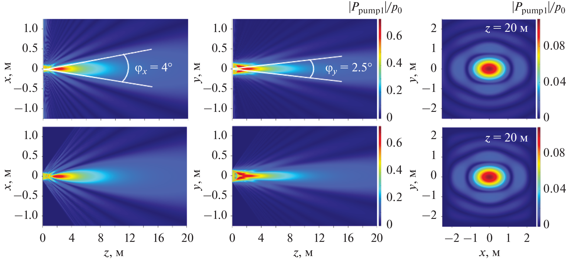
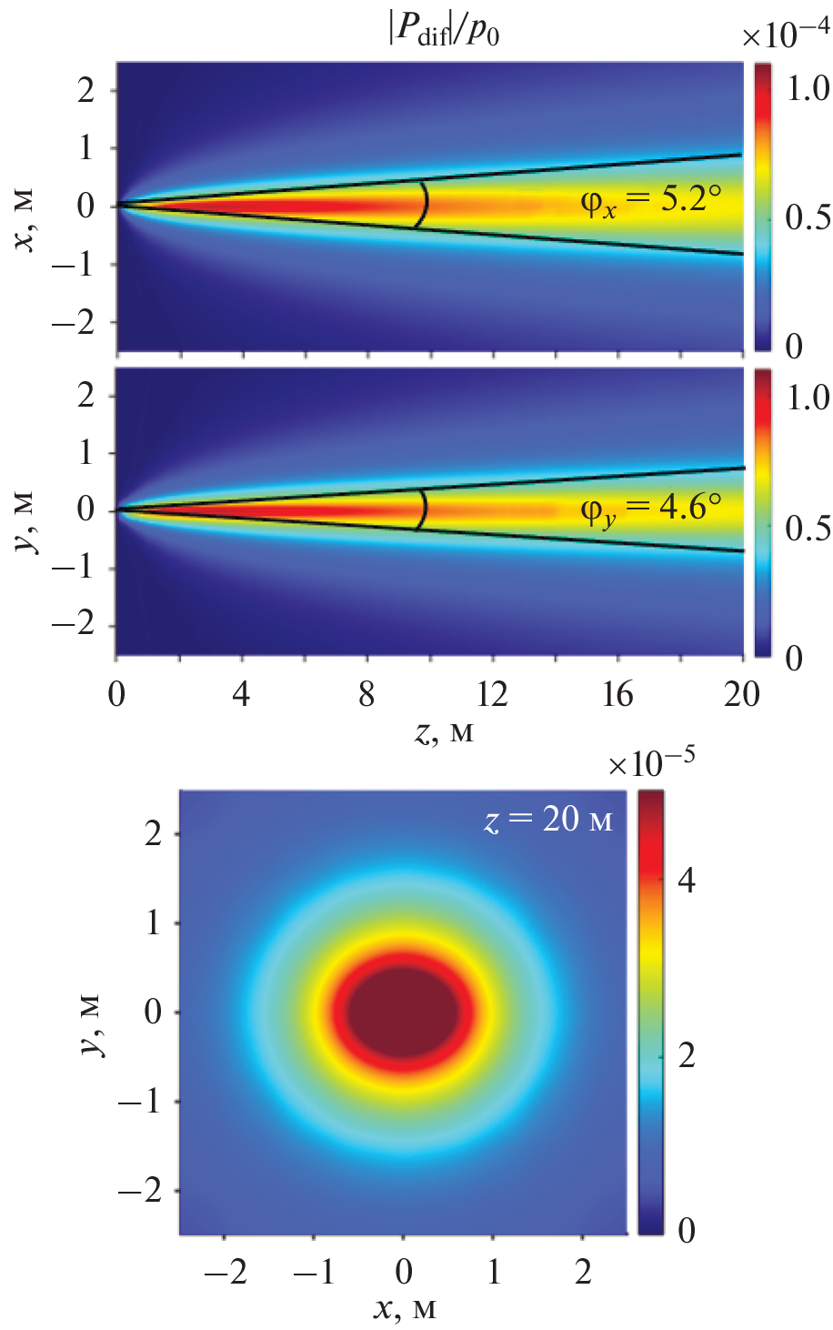
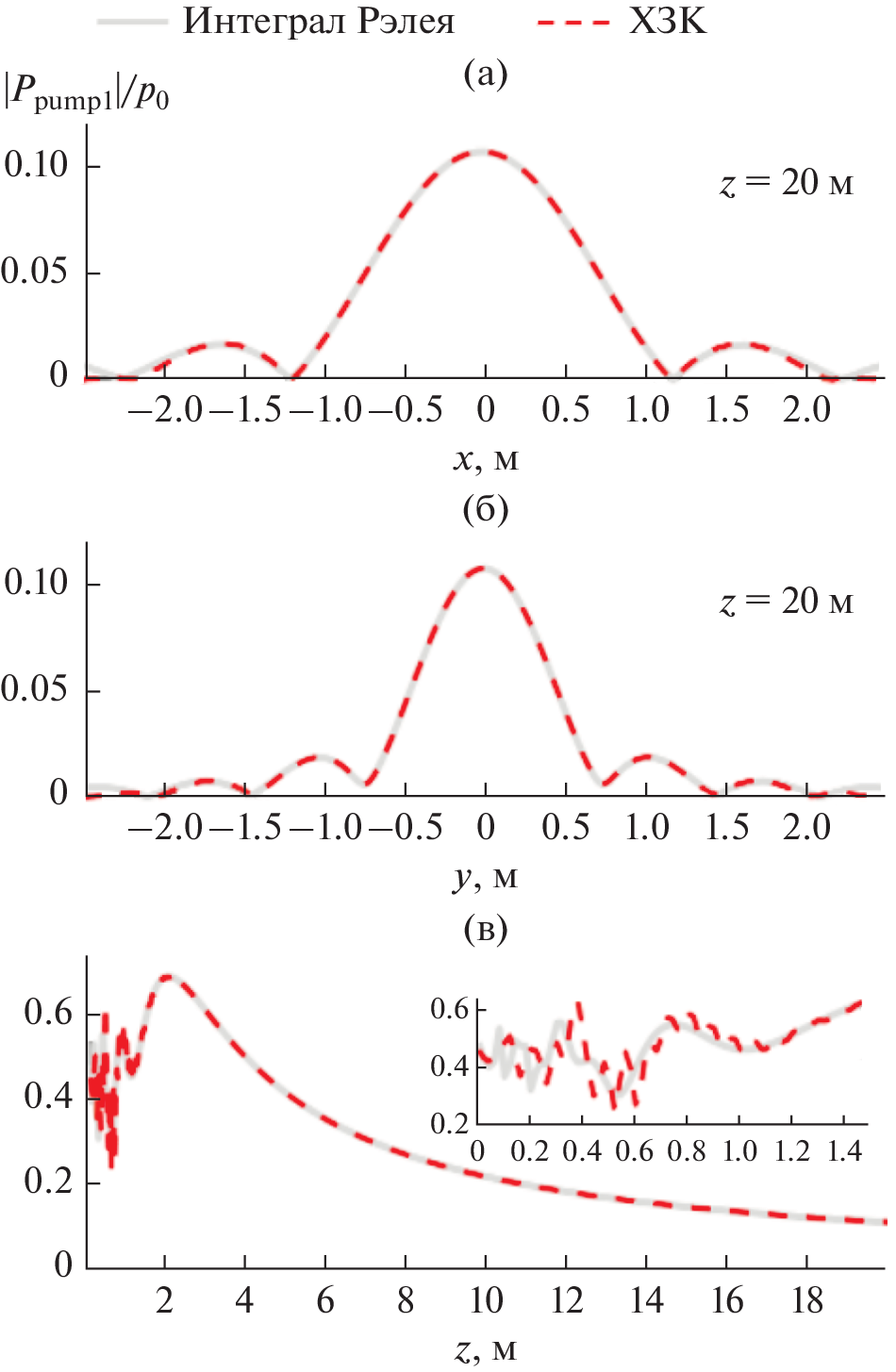
Рассматривается квазилинейный подход к описанию генерации акустической волны разностной частоты, формируемой при взаимодействии двух близких по частоте интенсивных высокочастотных дифрагирующих пучков волн накачки. Граничное условие соответствует двухчастотному возбуждению существующего параметрического излучателя для подводных исследований. Показано, что линейное поле первичных волн имеет узкую направленность с полным углом расхождения пучка около нескольких градусов, поэтому нелинейная дифракционная задача решалась численно в параболическом приближении. Поле волн накачки рассчитывалось в линейном приближении; полученные решения на каждом шаге численной сетки вдоль оси пучка использовались для расчета нелинейных источников при описании трехмерного пучка разностной частоты. Проанализированы одномерные и двумерные распределения поля давления и диаграммы направленности для трех значений разностной частоты. Полученные численные решения с реалистичными граничными условиями и описанием дифракционных эффектов сравниваются с известными приближенными аналитическими результатами, полученными в квазилинейном приближении.
Ключевые слова
Об авторах
А. В. Тюрина
Московский государственный университет им. М.В. Ломоносова, Физический факультет
Email: tiurina.av@physics.msu.ru
Россия, 119991, ГСП-1, Москва, Ленинские горы
П. В. Юлдашев
Московский государственный университет им. М.В. Ломоносова, Физический факультет
Email: tiurina.av@physics.msu.ru
Россия, 119991, ГСП-1, Москва, Ленинские горы
И. Б. Есипов
Российский государственный университет нефти и газа им. И.М. Губкина
Email: tiurina.av@physics.msu.ru
Россия, 119991, Москва, Ленинский проспект 65
В. А. Хохлова
Московский государственный университет им. М.В. Ломоносова, Физический факультет
Автор, ответственный за переписку.
Email: tiurina.av@physics.msu.ru
Россия, 119991, ГСП-1, Москва, Ленинские горы
Список литературы
- Новиков Б.К., Тимошенко В.И. Параметрические антенны в гидролокации. Л.: Судостроение, 1990. 250 с.
- Berktay H.O. Possible exploitation of non-linear acoustics in underwater transmitting applications // J. Sound Vib. 1965. V. 2. № 4. P. 435–461.
- Zhou H., Huang S.H., Li W. Parametric acoustic array and its application in underwater acoustic engineering // Sensors. 2020. V. 20. № 7. P. 2148.
- Yoneyama M., Fujimoto J., Kawamo Y., Sasabe S. The audio spotlight: an application of nonlinear interaction of sound waves to a new type of loudspeaker design // J. Acoust. Soc. Am. 1983. V. 73. № 5. P. 1532–1536.
- Shi C., Gan W.-S. Development of a parametric loud-speaker: a novel directional sound generation technology // IEEE Potentials. 2010. V. 29. № 6. P. 20–24.
- Skinner E., Groves M., Hinders M.K. Demonstration of a length limited parametric array // Appl. Acoust. 2019. V. 148. P. 423–433.
- Westervelt P.J. Parametric acoustic array // J. Acoust. Soc. Am. 1963. V. 35. № 4. P. 535–537.
- Новиков Б.К., Руденко О.В., Тимошенко В.И. Нелинейная гидроакустика. Л.: Судостроение, 1981. 264 с.
- Sapozhnikov O.A., Khokhlova V.A., Cleveland R.O., Blanc-Benon P., Hamilton M.F. Nonlinear Acoustics Today // Acoustics Today. 2019. V. 15. № 3. P. 55–64.
- Esipov I.B., Naugolnykh K.A., Timoshenko V.I. The parametric array and long-range ocean research // Acoustics Today. 2010. V. 6. № 2. P. 20–26.
- Pampin J., Kollin J.S., Kang E. Applications of ultrasonic sound beams in performance and sound art / Proc. of the joint 33rd Int. Computer Music Conference, 2007. P. 492–495.
- Zhong J., Kirby R., Qiu X. The near field, Westervelt far field, and inverse-law far field of the audio sound generated by parametric array loudspeakers // J. Acoust. Soc. Am. 2021. V. 149. № 3. P. 1524–1535.
- Cervenka M., Bednarık M. A versatile computational approach for the numerical modeling of parametric acoustic array // J. Acoust. Soc. Am. 2019. V. 146. № 4. P. 2163–2169.
- Tavakkoli J., Cathignol D., Souchon R., Sapozhnikov O.A. Modeling of pulsed finite-amplitude focused sound beams in time domain // J. Acoust. Soc. Am. 1998. V. 104. № 4. P. 2061–2072.
- Zemp R.J., Tavakkoli J., Cobbold R.S.C. Modeling of nonlinear ultrasound propagation in tissue from array transducers // J. Acoust. Soc. Am. 2003. V. 113. № 1. P. 139–152.
- Averkiou M.A., Lee Y.-S., Hamilton M.F. Self-demodulation of amplitude- and frequency-modulated pulses in a thermoviscous fluid // J. Acoust. Soc. Am. 1993. V. 94. № 5. P. 2876–2883
- Aanonsen S.I. Numerical computation of the nearfield of a finite amplitude sound beam // Tech. Rep. № 73. 1983. Dept. of Math., Univ. of Bergen, Norway.
- Lee Y.S., Hamilton M.F. Time-domain modelling of pulsed finite-amplitude sound beams // J. Acoust. Soc. Am. 1995. V. 97. № 2. P. 906–917.
- Khokhlova V.A., Souchon R., Tavakkoli J., Sapozhnikov O.A., Cathignol D. Numerical modeling of finite amplitude sound beams: Shock formation in the nearfield of a CW plane piston source // J. Acoust. Soc. Am. 2001. V. 110. № 1. P. 95–108.
- Хохлова В.А., Пономарев А.Е., Аверкью М.А., Крам Л.А. Нелинейные импульсные поля прямоугольных фокусированных источников диагностического ультразвука // Акуст. журн. 2006. Т. 52. № 4. С. 560–570.
- Muir T.G., Willette J.G. Parametric acoustic transmitting arrays // J. Acoust. Soc. Am. 1972. V. 52. № 5 (Part 2). P. 1481–1486.
- Moffett M.B., Mellen R.H., Konrad W.L. Model for parametric acoustic sources // J. Acoust. Soc. Am. 1977. V. 61. № 2. P. 325–337.
- Moffett M.B., Mellen R.H., Konrad W.L. Parametric acoustic sources of rectangular aperture // J. Acoust. Soc. Am. 1978. V. 63. № 5. P. 1326–1331.
- Cervenka M., Bednarik M. Non-paraxial model for a parametric acoustic array // J. Acoust. Soc. Am. 2013. V. 134. № 2. P. 933–938.
- Ding D. A simplified algorithm for the second-order sound fields // J. Acoust. Soc. Am. 2000. V. 108. № 6. P. 2759–2764.
- Есипов И.Б., Попов О.Е., Солдатов В.Г. Компрессия сигнала параметрической антенны в мелководном волноводе // Акуст. журн. 2019. Т. 65. № 4. С. 490–498.
- Тюрина А.В., Юлдашев П.В., Есипов И.Б., Хохлова В.А. Численная модель спектрального описания генерации ультразвуковой волны разностной частоты при двухчастотном взаимодействии // Акуст. журн. 2022. Т. 68. № 2. С. 152–161.
- O’Neil H.T. Theory of focusing radiators // J. Acoust. Soc. Am. 1949. V. 21. № 5. P. 516–526.
- Sapozhnikov O.A., Tsysar S.A., Khokhlova V.A., Kreider W. Acoustic holography as a metrological tool for characterizing medical ultrasound sources and fields // J. Acoust. Soc. Am. 2015. V. 138. № 3. P. 1515–1532.
- Tjotta J.N., Tjotta S., Vefring E.G. Effects of focusing on the nonlinear interaction between two collinear finite amplitude sound beams // J. Acoust. Soc. Am. 1991. V. 89. № 3. P. 1017–1027.
- Pierce A.D. Acoustics: an introduction to its physical principles and applications. Springer, 2019. 768 p.
- Press W.H., Teukolsky S.A., Vetterling W.T., Flannery B.P. Numerical recipes. N.Y.: Cambridge University Press, 2007. 1235 p.
Дополнительные файлы










