DEVELOPMENT OF ALGORITHMS AND SOFTWARE FOR MODELING CONTROLLED DYMAMIC SYSTEMS USING SYMBOLIC COMPUTATIONS AND STOCHASTIC METHODS
- Authors: DEMIDOVA A.V.1, DRUZHININA O.V.2, MASINA O.N.3, PETROV A.A.3
-
Affiliations:
- Peoples’ Friendship University of Russia (RUDN University)
- Federal Research Center “Computer Science and Control” of Russian Academy of Sciences
- Bunin Yelets State University
- Issue: No 2 (2023)
- Pages: 54-68
- Section: COMPUTER ALGEBRA
- URL: https://journals.rcsi.science/0132-3474/article/view/137620
- DOI: https://doi.org/10.31857/S0132347423020085
- EDN: https://elibrary.ru/MFTAWU
- ID: 137620
Cite item
Full Text
Abstract
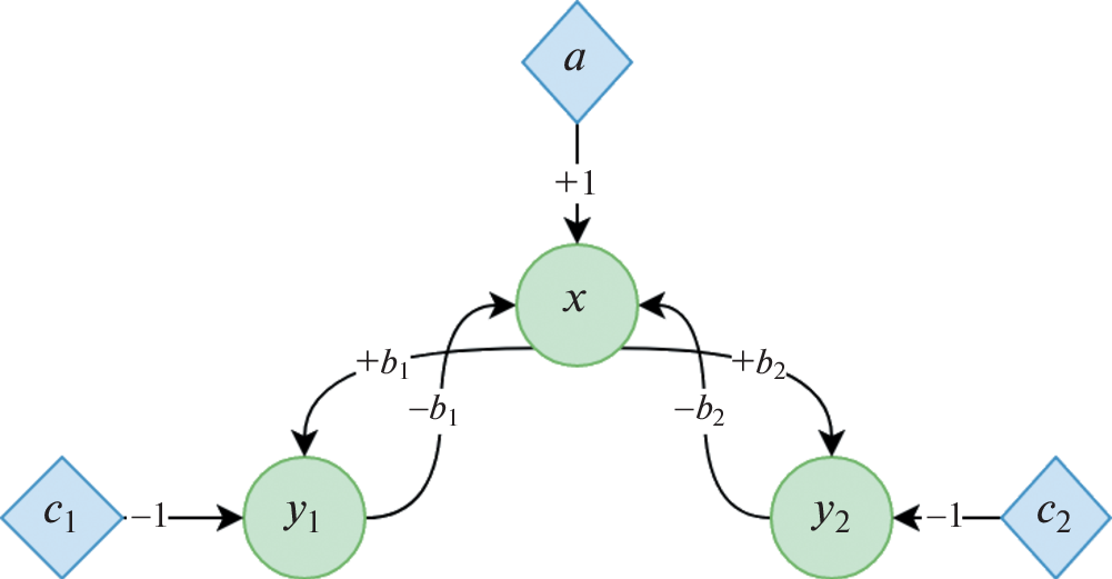
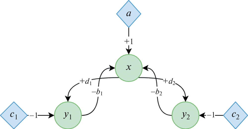
The development of software for synthesizing and analyzing models of controlled systems taking into account their deterministic and stochastic description is an important direction of research. Results of the development of software for modeling dynamic systems the behavior of which can be described by onestep processes are presented. Models of population dynamics are considered as an example. The software uses a deterministic description of the model at its input to obtain a corresponding stochastic model in symbolic form and also analyze the model in detail (calculate trajectories in the deterministic and stochastic cases, find control functions, and visualize the results). An important aspect of the development is the use of computer algebra for analyzing the model and synthesizing controls. Methods and algorithms based on deterministic and stochastic Runge–Kutta methods, stability and control theory, methods for designing self-consistent stochastic models, numerical optimization algorithms, and artificial intelligence are implemented. The software was developed using high-level programming languages Python and Julia. As the basic tools, high-performance libraries for vector–matrix computations, symbolic computation libraries, libraries for the numerical solution of ordinary differential equations, and libraries of global optimization algorithms are used.
About the authors
A. V. DEMIDOVA
Peoples’ Friendship University of Russia (RUDN University)
Email: demidova-av@rudn.ru
Moscow, Russia
O. V. DRUZHININA
Federal Research Center “Computer Science and Control” of Russian Academy of Sciences
Email: ovdruzh@mail.ru
Moscow, Russia
O. N. MASINA
Bunin Yelets State University
Email: olga121@inbox.ru
Yelets, Russia
A. A. PETROV
Bunin Yelets State University
Author for correspondence.
Email: xeal91@yandex.ru
Yelets, Russia
References
- Кулябов Д.С., Кокотчикова М.Г. Аналитический обзор систем символьных вычислений // Вестник РУДН. Серия: Математика. Информатика. Физика. 2007. № 1–2. С. 38–45.
- Алтунин К.Ю., Сениченков Ю.Б. О возможности символьных вычислений в пакетах визуального моделирования сложных динамических систем // Информатика, телекоммуникации и управление. 2009. № 3(80). С. 153–158.
- Малашонок Г.И., Рыбаков М.А. Решение систем линейных дифференциальных уравнений и расчет динамических характеристик систем управления в веб-сервисе mathpartner // Вестник российских университетов. Математика. 2014. № 2. С. 517–529.
- Банщиков А.В., Бурлакова Л.А., Иртегов В.Д., Титоренко Т.Н. Символьные вычисления в моделировании и качественном анализе динамических систем // Вычислительные технологии. 2014. № 6. С. 3– 18.
- Фалейчик Б.В. Одношаговые методы численного решения задачи Коши. Минск: БГУ, 2010.
- Platen E. An introduction to numerical methods for stochastic differential equations // Acta Numerica. 1999. V. 8. P. 197–246.
- Kulchitskiy O., Kuznetsov D. Numerical methods of modeling control systems described by stochastic differential equations // Journal of Automation and Information Sciences. 1999. 06. V. 31. P. 47–61.
- Gevorkyan M.N., Velieva T.R., Korolkova A.V. et al. Stochastic Runge–Kutta software package for stochastic differential equations // Dependability Engineering and Complex Systems / Ed. by Wojciech Zamojski, Jacek Mazurkiewicz, Jarosllaw Sugier Cham: Springer International Publishing, 2016. P. 169–179.
- Gevorkyan M.N., Demidova A.V., Korolkova A.V., Kulyabov D.S. Issues in the software implementation of stochastic numerical Runge–Kutta // Distributed Computer and Communication Networks / Ed. by Vladimir M. Vishnevskiy, Dmitry V. Kozyrev. Cham: Springer International Publishing, 2018. V. 919 of Communications in Computer and Information Science. P. 532–546. arXiv: 1811.01719.
- Геворкян М.Н., Демидова А.В., Велиева Т.Р. и др. Реализация метода стохастизации одношаговых процессов в системе компьютерной алгебры // Программирование. 2018. № 2. С. 18–27.
- Демидова А.В. Уравнения динамики популяций в форме стохастических дифференциальных уравнений // Вестник РУДН. Серия: Математика. Информатика. Физика. 2013. № 1. С. 67–76. URL: https://journals.rudn.ru/miph/article/ view/8319.
- Карпенко А.П. Современные алгоритмы поисковой оптимизации. Алгоритмы, вдохновленные природой. 2-е изд. изд. Москва: МГТУ им. Н.Э. Баумана, 2016.
- Firsov A.N., Inovenkov I.N., Nefedov V.V., Tikhomirov V.V. Numerical study of the effect of stochastic disturbances on the behavior of solutions of some differential equations // Modern Information Technologies and IT-Education. 2021. V. 17. № 1. P. 37–43.
- Mao X. Stochastic Differential Equations and Applications, 2nd ed. Cambridge: Woodhead Publ, 2008.
- Korolkova A., Kulyabov D. Onestep stochastization methods for open systems // EPJ Web of Conferences. 2020. V. 226. P. 02014. URL: https://doi.org/10.1051/epjconf/202022602014
- Gardiner C.W. Handbook of Stochastic Methods: For Physics, Chemistry and the Natural Sciences. Heidelberg: Springer, 1985.
- Van Kampen N. Stochastic Processes in Physics and Chemistry. Amsterdam: Elsevier, 1992.
- Bairey E., Kelsic E.D., Kishony R. High-order species interactions shape ecosystem diversity // Nature Communications. 2016. V. 7. P. 12285.
- Голубятников В.П., Подколодная О.А., Подколодный Н.Л., Аюпова Н.Б., Кириллова Н.Е., Юношева Е.В. Об условиях существования циклов в двух базовых моделях циркадного осциллятора млекопитающих // Сиб. журн. индустр. матем. 2021. Т. 24. № 4. С. 39–53.
- Вольтерра В. Математическая теория борьбы за существование. Москва: Наука, 1976.
- Свирежев Ю.М., Логофет Д.О. Устойчивость биологических сообществ. Москва: Наука, 1978.
- Базыкин А.Д. Нелинейная динамика взаимосвязанных популяций. Москва–Ижевск: Институт компьютерных исследований, 2003.
- Dilao R. Mathematical Models in Population Dynamics and Ecology // In Biomathematics: Modelling and Simulation. Singapore: World Scientific, 2006. P. 399–449.
- Четаев Н.Г. Устойчивость движения. Москва: ГИТТЛ, 1964.
- Пых Ю.А. Равновесие и устойчивость в моделях популяционной динамики. Москва: Наука, 1983.
- Шестаков A.А. Обобщенный прямой метод Ляпунова для систем с распределенными параметрами. Москва: Наука, 1990.
- Demidova A.V., Druzhinina O.V., Jacimovic M. et al. The generalized algorithms of global parametric optimization and stochastization for dynamical models of interconnected populations // Optimization and Applications. OPTIMA 2020. Lecture Notes in Computer Science / Ed. by Nicholas Olenev, Yuri Evtushenko, Michael Khachay, Vlasta Malkova. V. 12422. Cham: Springer, 2020. P. 40–54.
- Demidova A.V., Druzhinina O.V., Masina O.N., Petrov A.A. Synthesis and computer study of population dynamics controlled models using methods of numerical optimization, stochastization and machine learning // Mathematics. 2021. V. 9. № 24. URL: https: //www.mdpi.com/2227-7390/9/24/3303.
- Demidova A.V., Druzhinina O.V., Jacimovic M., Masina O.N., Mijajlovic N. Synthesis and analysis of multidimensional mathematical models of population dynamics // Proceedings of the Selected Papers of the 10th International Congress on Ultra Modern Telecommunications and Control Systems ICUMT (Moscow, Russia, November 5–9, 2018). New York: IEEE Xplore Digital Library, 2018. IEEE Catalog Number CFP 1863G-USB. P. 361–366. https://doi.org/10.1109/ICUMT.2018.8631252
- Demidova A., Druzhinina O., Jacimovic M. et al. Problems of synthesis, analysis and optimization of parameters for multidimensional mathematical models of interconnected populations dynamics // Optimization and Applications. OPTIMA 2019. Communications in Computer and Information Science / Ed. by Milojica Jacimovic, Michael Khachay, Vlasta Malkova, Mikhail Posypkin. V. 1145. Cham: Springer, 2020. P. 56–71.
- Demidova A.V., Druzhinina O.V., Masina O.N., Petrov A.A. Computer research of the controlled models with migration rows // Proceedings of the Selected Papers of the 10th International Conference “Information and Telecommunication Technologies and Mathematical Modeling of High-Tech Systems” (ITTMM-2020). CEUR Workshop Proceedings. 2020. V. 2639. P. 117–129.
- Harris C.R., Millman K.J., van der Walt S.J. et al. Array programming with NumPy // Nature. 2020. V. 585. № 7825. P. 357–362. URL: https://doi.org/10.1038/s41586-020-2649-2
- Fuhrer C., Solem J., Verdier O. Scientific Computing with Python 3. Packt Publishing, 2016.
- Lamy R. Instant SymPy Starter. Packt Publishing, 2013.
- Oliphant T.E. Guide to NumPy. 2nd edition. North Charleston, SC, USA: CreateSpace Independent Publishing Platform, 2015. ISBN: 151730007X.
- Virtanen P., Gommers R., Oliphant T.E. et al. SciPy 1.0: fundamental algorithms for scientific computing in Python // Nature Methods. 2020. V. 17. P. 261–272. URL: https://doi.org/10.1038/s41592-019-0686-2
- Bezanson J., Edelman A., Karpinski S., Shah V.B. Julia: A fresh approach to numerical computing // SIAM Review. 2017. V. 59. № 1. P. 65–98.
- Meurer A., Smith C.P., Paprocki M. et al. SymPy: symbolic computing in Python // PeerJ Computer Science. 2017. V. 3. P. e103. URL: https://doi.org/10.7717/ peerj-cs.103
Supplementary files













