Inhibition of dipeptidylpeptidase-IV by 2-S-cyanopyrrolidine inhibitors of prolyl endopeptidase
- Authors: Makarov G.I.1, Zolotov N.N.2, Pozdnev V.F.3
-
Affiliations:
- South Ural State University
- Research Zakusov Institute of Pharmacology
- Institute of Biomedical Chemistry
- Issue: Vol 50, No 6 (2024)
- Pages: 813-825
- Section: Articles
- URL: https://journals.rcsi.science/0132-3423/article/view/275981
- DOI: https://doi.org/10.31857/S0132342324060082
- EDN: https://elibrary.ru/NFIUSC
- ID: 275981
Cite item
Abstract
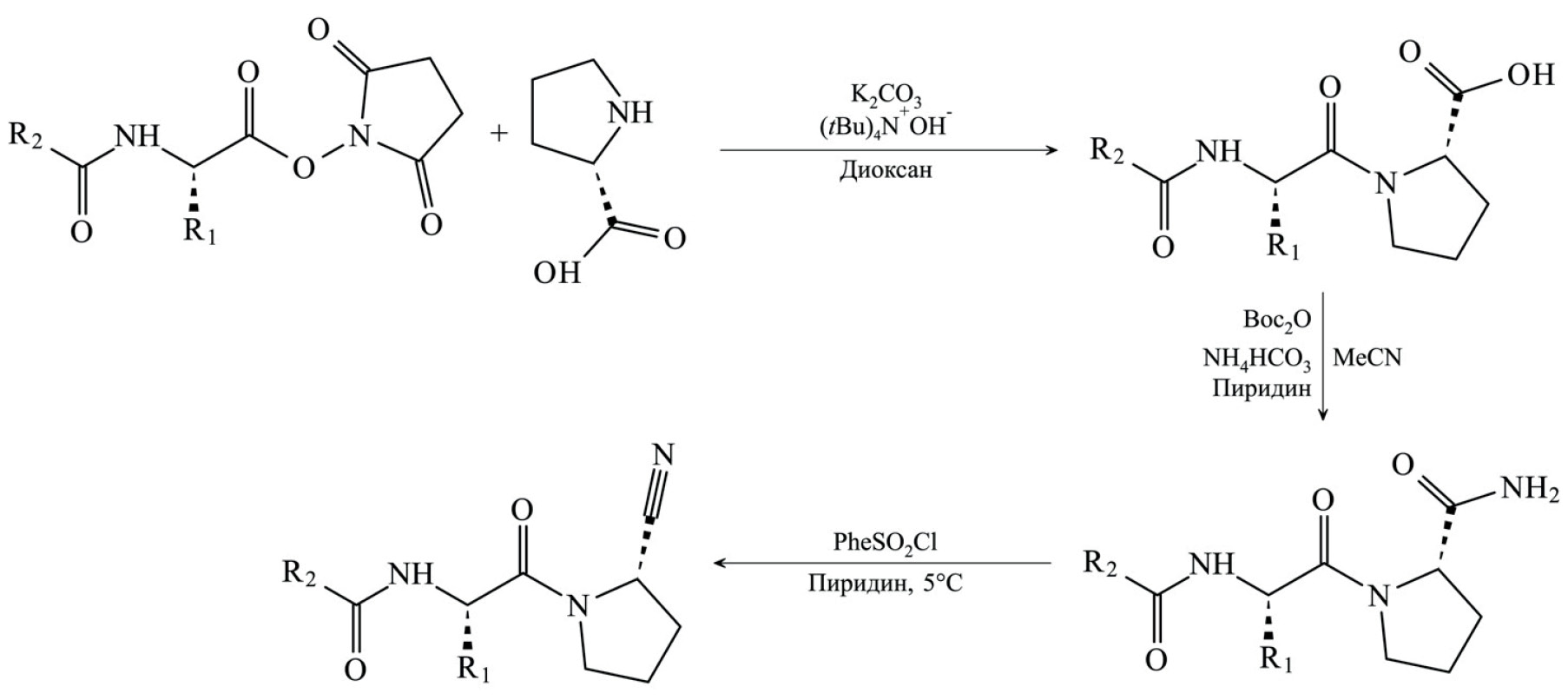
Many regulatory neuropeptides contain a large amount of proline residues. The unique proline peptide bond conformation protects these peptides from enzymatic degradation; therefore enzymes cleaving the proline peptide bonds in neuropeptides are of particular interest. The abnormal activity of serine peptidases that cleave peptides at the carboxyl group of proline residues prolyl endopeptidase (PEP) and dipeptidyl peptidase IV (DPP-IV) were observed in patients with anxiety disorders. PEP is involved in the maturation and degradation of neuropeptides and peptide hormones, it also is associated with the regulation of blood pressure and various disorders of the central nervous system. DPP-IV is involved in many physiological processes, in particular in glucose homeostasis in type II diabetes and immunity. When studying the metabolism of the N-acyl derivative of the aminoacyl-2-cyanopyrrolidine PEP inhibitor a decreasing in the activity of DPP-IV at the initial time was detected. This was an unexpected effect observed for inhibitors of the general formula X-Y-2-S-cyanopyrrolidine, where X represents the N-protective group and Y represents the amino acid (any besides glycine and proline). Molecular dynamics simulations of inhibitor complexes with proteases revealed the possibility of PEP inhibitors binding in the DPP-IV active site with hydrogen bonds and hydrophobic interactions that allow linkage of the nitrile group with the catalytic serine residue in the DPP-IV active site. The present study opens the prospect of creating new pharmacologically active ligands of PEP and DPP-IV.
Full Text
About the authors
G. I. Makarov
South Ural State University
Author for correspondence.
Email: makarovgi@susu.ru
Russian Federation, prosp. Lenina 76, Chelyabinsk, 454080
N. N. Zolotov
Research Zakusov Institute of Pharmacology
Email: makarovgi@susu.ru
Russian Federation, ul. Baltiyskaya 8, Moscow, 125315
V. F. Pozdnev
Institute of Biomedical Chemistry
Email: makarovgi@susu.ru
Russian Federation, ul. Pogodinskaya 10/8, Moscow, 119121
References
- Role of Proteases in the Pathophysiology of Neurodegenerative Diseases / Eds. Lajtha A., Banik N. New York: Kluwer Academic, 2002. https://doi.org/10.1007/b111075
- Holmes A., Heilig M., Rupniak N.M., Steckler T., Griebel G. // Trends Pharmacol. Sci. 2003. V. 24. P. 580–588. https://doi.org/10.1016/j.tips.2003.09.011
- Thornberry N., Weber A. // Curr. Top. Med. Chem. 2007. V. 7. P. 557–568. https://doi.org/10.2174/156802607780091028
- Krupina N.A., Khlebnikova N.N., Orlova I.N., Grafova V.N., Smirnova V.S., Rodina V.I., Kukushkin M.L., Kryzhanovsky G.N. // Bull. Exp. Biol. Med. 2010. V. 149. P. 479–484. https://doi.org/10.1007/s10517-010-0975-3
- Maes M., Goossens F., Scharpé S., Meltzer H.Y., D’Hondt P., Cosyns P. // Biol. Psychiatry. 1994. V. 35. P. 545–552. https://doi.org/10.1016/0006-3223(94)90101-5
- Krupina N., Khlebnikova N., Zolotov N., Kushnareva E., Bogdanova N., Orlova I. // In: Encyclopedia of Pharmacology Research / Eds. Cheng D., Liu G. New York: Nova Science Publ., 2013. P. 137–156. https://novapublishers.com/shop/encyclopedia-of-pharmacology-research-2-volume-set/
- Khlebnikova N.N., Krupina N.A., Bogdanova N.G., Zolotov N.N., Kryzhanovskii G.N. // Bull. Exp. Biol. Med. 2009. V. 147. P. 26–30. https://doi.org/10.1007/s10517-009-0458-6
- Krupina N.A., Kushnareva E.Y., Khlebnikova N.N., Zolotov N.N., Kryzhanovskii G.N. // Bull. Exp. Biol. Med. 2009. V. 147. P. 285–290. https://doi.org/10.1007/s10517-009-0493-3
- Syunyakov T., Zolotov N., Neznamov G. // Eur. Neuropsychopharmacol. 2017. V. 27. P. S985. https://doi.org/10.1016/S0924-977X(17)31734-0
- Yakovleva A., Zolotov N., Sokolov O., Kost N., Kolyasnikova K., Mikheeva I.G. // Neuropeptides. 2015. V. 52. P. 113–117. https://doi.org/10.1016/j.npep.2015.05.001
- Krupina N.A., Bogdanova N.G., Khlebnikova N.N., Zolotov N.N., Kryzhanovskii G.N. // Bull. Exp. Biol. Med. 2013. V. 154. P. 606–609. https://doi.org/10.1007/s10517-013-2010-y
- Yoshimoto T., Kado K., Matsubara F., Koriyama N., Kaneto H., Tsuru D. // J. Pharmacobiodyn. 1987. V. 10. P. 730–735. https://doi.org/10.1248/bpb1978.10.730
- Pozdnev V.F. // Tetrahedron Lett. 1995. V. 36. P. 7115–7118. https://doi.org/10.1016/0040-4039(95)01412-B
- Cobb A.J.A., Shaw D.M., Longbottom D.A., Gold J.B., Ley S.V. // Org. Biomol. Chem. 2005. V. 3. P. 84–96. https://doi.org/10.1039/b414742a
- Cummins P.M., Dowling O., O’Connor B.F. // In: Methods in Molecular Biology / Eds. Walls D., Loughran S.T. New York: Humana Press. 2011. P. 215–228. https://doi.org/10.1007/978-1-60761-913-0_12
- Haffner C.D., Diaz C.J., Miller A.B., Reid R.A., Madauss K.P., Hassell A., Hanlon M.H., Porter D.J., Becherer J.D., Carter L.H. // Bioorg. Med. Chem. Letters. 2008. V. 18. P. 4360–4363. https://doi.org/10.1016/j.bmcl.2008.06.067
- Pissarnitski D.A., Zhao Z., Cole D., Wu W.-L., Domalski M., Clader J.W., Scapin G., Voigt J., Soriano A., Kelly T., Powles M.A., Yao Z., Burnett D.A. // Bioorg. Med. Chem. 2016. V. 24. P. 5534–5545. https://doi.org/10.1016/j.bmc.2016.09.007
- Ruiz-Carmona S., Alvarez-Garcia D., Foloppe N., Garmendia-Doval A.B., Juhos S., Schmidtke P., Barril X., Hubbard R.E., Morley S.D. // PLoS Comput. Biol. 2014. V. 10. P. e1003571. https://doi.org/10.1371/journal.pcbi.1003571
- Szeltner Z., Rea D., Renner V., Juliano L., Fulop V., Polgar L. // J. Biol. Chem. 2003. V. 278. P. 48786– 48793. https://doi.org/10.1074/jbc.M309555200
- Venalainen J.I., Garcia-Horsman J.A., Forsberg M.M., Jalkanen A., Wallen E.A., Jarho E.M., Christiaans J.A., Gynther J., Mannisto P.T. // Biochem. Pharmacol. 2006. V. 71. P. 683–692. https://doi.org/10.1016/j.bcp.2005.11.029
- Cunningham D.F., O’Connor B. // Biochim. Biophys. Acta. 1997. V. 1343. P. 160–186. https://doi.org/10.1016/s0167-4838(97)00134-9
- van der Spoel D., Lindahl E., Hess B., Groenhof G., Mark A., Berendsen H. // J. Comput. Chem. 2005. V. 26. P. 1701–1718. https://doi.org/10.1002/jcc.20291
- van der Spoel D., Lindahl E., Hess B., Kutzner C. // J. Chem. Theory Comput. 2008. V. 4. P. 435–447. https://doi.org/10.1021/ct700301q
- Hornak V., Abel R., Okur A., Strockbine B., Roitberg A., Simmerling C. // Proteins. 2006. V. 65. P. 712–725. https://doi.org/10.1002/prot.21123
- Bayly C.I., Cieplak P., Cornell W., Kollman P.A. // J. Phys. Chem. 1993. V. 97. P. 10269–10280. https://doi.org/10.1021/j100142a004
- Bussi G., Donadio D., Parrinello M. // J. Chem. Phys. 2007. V. 126. P. 014107–014106. https://doi.org/10.1063/1.2408420
- Berendsen H., Postma J., van Gunsteren W., DiNola A., Haak J. // J. Chem. Phys. 1984. V. 81. P. 3684–3690. https://doi.org/10.1063/1.448118
- Darden T., York D., Pedersen L. // J. Chemical Physics. 1993. V. 98. P. 10089–10092. https://doi.org/10.1063/1.464397
- Horn H.W., Swope W.C., Pitera J.W., Madura J.D., Dick T.J., Hura G.L., Head-Gordon T. // J. Chem. Phys. 2004. V. 120. P. 9665–9678. https://doi.org/10.1063/1.1683075
- Joung I.S., Cheatham T.E. // J. Phys. Chem. B. 2008. V. 112. P. 9020–9041. https://doi.org/10.1021/jp8001614
- Hess B., Bekker H., Berendsen H.J.C., Fraaije J.G.E.M. // J. Comput. Chem. 1997. V. 18. P. 1463–1472. https://doi.org/10.1002/(SICI)1096-987X (199709)18:12<1463::AID-JCC4>3.0.CO;2-H
- Makarov G.I., Sumbatyan N.V., Bogdanov A.A. // Biochemistry (Moscow). 2017. V. 82. P. 925–932. https://doi.org/10.1134/S0006297917080077
- Daura X., Gademann K., Jaun B., Seebach D., van Gunsteren W.F., Mark A.E. // Ang. Chem. Int. Ed. 1999. V. 38. P. 236–240. https://doi.org/10.1002/(SICI)1521-3773(19990115) 38:1/2<236::AID-ANIE236>3.0.CO;2-M
- Kabsch W., Sander C. // Biopolymers. 1983. V. 22. P. 2577–2637. https://doi.org/10.1002/bip.360221211
Supplementary files








