Derivatives of (5-Oxooxazolidin-4-yl)acetic acids in aspartic acid α-carboxyl protection: a word of caution
- Authors: Azev V.N.1, Chulin A.N.1, Molchanov M.V.2, Miroshnikov A.I.3
-
Affiliations:
- Branch of Shemyakin–Ovchinnikov Bioorganic Chemistry Institute RAS
- Istitute for Theoretical and Experimental Biophysics RAS
- Shemyakin–Ovchinnikov Bioorganic Chemistry Institute RAS
- Issue: Vol 50, No 3 (2024)
- Pages: 295-300
- Section: Articles
- URL: https://journals.rcsi.science/0132-3423/article/view/261478
- DOI: https://doi.org/10.31857/S0132342324030084
- EDN: https://elibrary.ru/NZIGZT
- ID: 261478
Cite item
Full Text
Abstract
Isomeric products could be isolated in a reaction of pentafluorophenyl ester of (S)-2-(3-((benzyloxy)-carbonyl)-5-oxooxazolidin-4-yl)acetic acid with aminoacid esters. One product is an expected dipeptide, the isomeric one is an N-hydroxymethylamino succinimide – a product of methylene bridge cleavavge. Steric bulkness of aminoacid esters favors the formation of a peptide, however the reaction selectivity is quite unpredicatable. Moreover, the precise structure assignement requires high-temperature NMR experiments.
Full Text
Сокращения: APCI – химическая ионизация при атмосферном давлении; Cbz – бензилоксикарбонильная группа; Hep – гептан.
ВВЕДЕНИЕ
В результате реакции Nα-Cbz-аспарагиновой кислоты с формальдегидом с высоким выходом образуется (S)-2-(3-((бензилокси)карбонил)-5-оксооксазолидин-4-ил)уксусная кислота [1, 2]. В этом производном α-карбоксильная группа заблокирована от взаимодействия с различными электрофильными реагентами, а вторая остается свободной, ее можно превратить в активированные эфиры или смешанные ангидриды с целью синтеза β-разветвленных производных аспарагиновой кислоты [1, 3, 4].
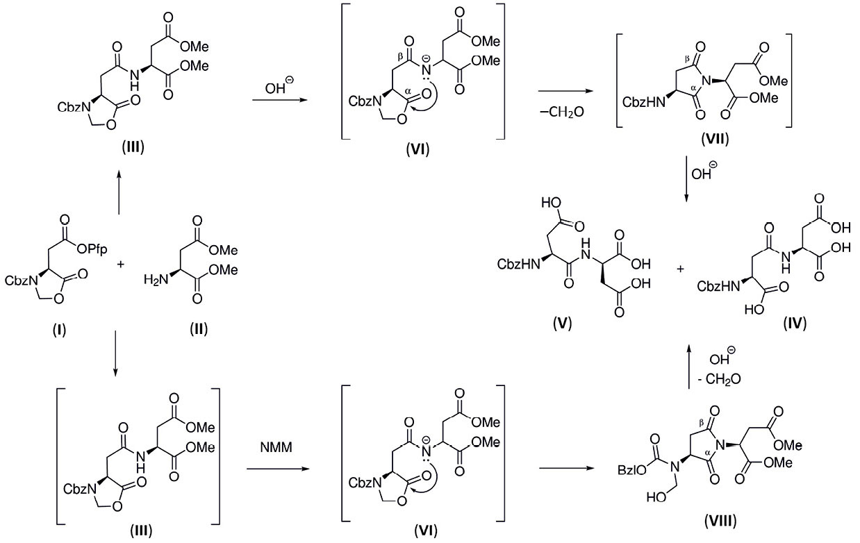
Ранее мы описали, что при взаимодействии пентафторфенилового эфира (S)-2-(3-((бензилокси)карбонил)-5-оксооксазолидин-4-ил)уксусной кислоты (I) с диметиласпартатом (II) образуется соединение, которому на основании анализа спектральных данных было приписано строение в виде дипептида (III), представляющего собой смесь E- и Z-ротамеров (см. далее), что осложняло интерпретацию спектров. В условиях реакции щелочного гидролиза этот полупродукт был превращен в целевую трикислоту (IV) и, вероятно, ее изомер (V) (схема 1) [5]. Мы предположили, что изомеризация протекает в условиях щелочного гидролиза через промежуточное образование продукта внутримолекулярной циклизации – аминосукцинимида (VII), который в условиях реакции гидролиза подвержен раскрытию гидроксид-анионом по любой из двух карбонильных групп. Такая циклизация с последующим раскрытием – фундаментальное химическое свойство производных аспарагина [6]. Эта побочная реакция описана на многих примерах, и степень ее протекания зависит от конкретной пептидной последовательности.
Схема 1. Образование смеси изомерных продуктов в двухстадийном синтезе соединения (IV).
В то же время в литературе описан прецедент, когда из продуктов взаимодействия оксибензотриазолилового эфира (S)-2-(3-((бензилокси)карбонил)-5-оксооксазолидин-4-ил)уксусной кислоты с этиловым эфирам фенилаланина было выделено производное N-оксиметиламиносукцинимида (также представляющего собой смесь E- и Z-ротамеров) [4]. Таким образом, существовала вероятность того, что в результате реакции соединений (I) с (II) нами был выделен аналогичный N-оксиметиламиносукцинимид (VIII), а соединение (III) было интермедиатом на пути к нему. Гидролиз соединения (VIII) также приводит к получению смеси изомеров (IV) и (V). Ввиду этого обстоятельства целью данной работы было более детальное исследование селективности реакции соединения (I) с диметиласпартатом (II) и другими эфирами аминокислот и строения продуктов этих реакций.
РЕЗУЛЬТАТЫ И ОБСУЖДЕНИЕ
Необычный сигнал в 1Н-ЯМР-спектре продукта взаимодействия соединений (I) и (II) – уширенный синглет амидного (или гидроксильного) протона (рис. 1a): часто амидные протоны наблюдаются в области ~8 м.д., в то время как в спектре исследуемого продукта он более сильнопольный (~6 м.д). Однако такой химический сдвиг мог быть вызван магнитной анизотропией бензольного кольца Cbz-группы. Определение мультиплетности этого сигнала стало возможным при использовании тщательного высушенного DMSO-d6 (рис. 1б), однако при 298 К мы не могли однозначно отнести этот сигнал либо к перекрывающимся дублетам смеси E- и Z-изомеров соединения (III), либо к триплетам гидроксигруппы в соединении (VIII).
Рис. 1. Сравнение двух областей спектров продукта реакции соединений (I) и (II): (a) – при 298 К в обычном DMSO-d6; (б) – при 298 К в осушенном DMSO-d6; (в) – при 353 К; (г) – при 383 К. Звездочкой отмечен сигнал остаточной воды.
Как и многие N-ацилированные гетероциклические соединения [7], производные (S)-2-(3-((бензилокси)карбонил)-5-оксооксазолидин-4-ил)уксусной кислоты присутствуют в растворе в виде смеси E- и Z-изомеров, что усложняет интерпретацию ЯМР-спектров. Однозначная интерпретация таких спектральных данных требует проведения регистрации спектров при повышенной температуре, когда ускоряется взаимное превращение E- и Z-изомеров друг в друга. Насколько нам известно, такие ЯМР-эксперименты в отношении к обсуждаемым объектам были описаны в литературе лишь однажды [4].
При нагреве до 353 К сигнал ~6 м.д. уже однозначно стал проявляться как триплет (рис. 1в), а в COSY-спектре наблюдали его корреляции c AM-системой протонов при 4.76 и 4.87 м.д. Интересно отметить, что при этой температуре сигналы α-протонов и некоторые сигналы β-протонов остатков аспарагиновой кислоты еще сильно уширены, и при нагреве до 383 К (рис. 1г) лишь некоторые из них однозначно проявляют свою мультиплетность. Также следует подчеркнуть, что спектры образца до и после нагрева были идентичными (данные не приведены). Таким образом, из продуктов взаимодействия соединений (I) и (II) в присутствии слабого амина (NMM использовали для раскисления соли (II)) нами было выделено производное N-оксиметиламиносукцинимида (VIII), но не β-разветвленного пептида (III).
Отдельно было продемонстрировано, что раскрытие метиленового мостика не протекает на стадии образования активированного эфира (I) из соответствующей кислоты. При температуре 298 К соединение (I) также существует в виде смеси E- и Z-изомеров (рис. 2а). При температуре 353 К в 1Н-ЯМР-спектре эфира (I) отсутствуют сигналы группы CH2OH, а диастереотопные метиленовые протоны взаимодействуют между собой с КССВ 3.68 Гц (рис. 2б). Следует отметить, что в ходе нагрева происходит частичный гидролиз соединения (I) остаточной водой из дейтерорастворителя: в спектре (рис. 2б) наблюдаются мультиплеты 4.4, 2.95 и 2.85 м.д., характерные для исходной кислоты (рис. 2в) и, кроме того, в результате реакции с соединением (I) сигнал протонов самой воды исчезает. Также при нагреве наблюдается образование иного побочного продукта (мультиплеты 4.55, 3.1 и ~3.0 м.д.); возможно, он образуется в результате реакции соединения (I) и DMSO-d6: известно, что сульфоксиды вступают во взаимодействие с различными электрофилами [8].
Рис. 2. Сравнение областей 6.2–2.6 м.д. 1Н-ЯМР-спектра продуктов, содержащих оксазолидиновые циклы: (a) – соединение (I) при 298 К; (б) – соединение (I) при 353 К; (в) – исходная кислота для синтеза соединения (I) при 353 К; (г) – продукт (IX) при 353 K; (д) – продукт (X) при 298 K.
На селективность образования соединения (VIII) не влияли ни природа основания (NMM, TEA, пиридин), ни природа растворителя (DCM, MeCN, THF). Ввиду того, что в литературе описаны успешные прецеденты синтеза β-разветвленных пептидов из активированных производных (S)-2-(3-((бензилокси)карбонил)-5-оксооксазолидин-4-ил)уксусной кислоты, соединение (I) вводили во взаимодействие с рядом эфиров аминокислот. В большинстве случаев наблюдали образование смесей продуктов и лишь при использовании стерически затрудненных третичных бутиловых эфиров наблюдали высокоселективное образование соединений с нераскрытым метиленовым мостиком. Так, на рис. 2г представлена область спектра продукта реакции (I) с третичным бутиловым эфиром изолейцина – дипептида (IX). В спектре отсутствуют сигналы AMX-системы группы CH2OH, а диастереотопные метиленовые протоны проявляются как дублет дублетов при 5.05 (J 0.76, 3.34 Гц) и дублет 5.45 м.д. (J 3.34 Гц). Кроме того, амидный протон был обнаружен в обычной области спектра (~8 м.д.) (на рис. 2 данные не приведены). Abell et al. описали 1Н-ЯМР-спектр дипептида с метиленовым мостиком (зарегистрированный также при нагреве в DMSO-d6), в котором наблюдали аналогичные сигналы [4].
Дальнейшее изучение селективности взаимодействия соединения (I) с рядом третичных бутиловых эфиров аминокислот показало, что оксооксазолидин – не единственный продукт реакции. Так, например, в результате взаимодействия соединения (I) с производным лизина H-Lys(Cbz)-OtBu была получена смесь, в которой, судя по данным 1Н-ЯМР, присутствовали оба изомера в соотношении 9 : 1 в пользу оксооксазолидина (X). На рис. 2д представлена область спектра образца, содержащего оксооксазолидин (X). Последний может быть идентифицирован по дублету 5.45 м.д., а примесь N-оксиметиламиносукцинимида по мультиплету гидроксигруппы – в районе 6.1 м.д. Попытки разделения этой смеси методами флэш-хроматографии либо методом препаративной ТСХ оказывались безуспешными ввиду лабильности исследуемых соединений на силикагеле. Вероятно, поэтому Abell et al. применяли для указанных целей экзотический, но быстрый вариант радиальной хроматографии [4].
Проведение ЯМР-экспериментов при повышенной температуре требует значительных временных затрат на термическое уравновешивание образца в датчике. Поэтому важно отметить, что в результате описанных выше ЯМР-исследований мы пришли к предварительному заключению, что уже при стандартной температуре регистрации (298 К) в 1Н-ЯМР-спектрах имеются сигналы, которые могут позволить отнести структуры изучаемого образца к тому или иному изомеру. В первую очередь это мультиплет протона гидроксигруппы в области 6.1 м.д. для N-оксиметиламиносукцинимида либо дублет в районе 5.5 м.д. для его изомера, содержащего метиленовый мостик. В области спектра от 5.2 до 7 м.д. сигналы протонов аминокиcлот и их производных проявляются очень редко, в отличие от обсуждаемых. Эти признаки использовали для идентификации продуктов реакции соединения (I) с производным лизина H-Lys(Cbz)-OtBu (см. выше, рис. 2д). Возможно также привлечь к отнесению положение амидного протона, если он не перекрывается с другими сигналами. Описанное заключение невозможно сравнить с литературными данными ввиду различий в условиях регистрации ЯМР-спектров (в первую очередь, природы растворителя и температуры).
В отношении механизма протекания побочной реакции раскрытия цикла следует отметить, что, вероятно, помимо близкого расположения в пространстве нуклеофильного (амид) и электрофильного (сложный эфир) центров, которое приводит к кинетически выгодному образованию пятичленного цикла [6], дополнительным фактором является фундаментальное свойство оксооксазолидинового цикла быть как защитной группой, так и активированным эфиром (возможно, ввиду индуктивного эффекта Nα-карбамоильной группы), что было экспериментально показано [1].
ЭКСПЕРИМЕНТАЛЬНАЯ ЧАСТЬ
Все растворители, гидрокарбонат натрия, карбонат калия, безводный сульфат магния, хлористоводородная кислота – коммерчески доступные продукты (Реахим и Химмед, Россия). При необходимости их подвергали очистке по описанным методикам [9]. Все стандартные производные аминокислот – продукция компаний Reanal (Венгрия) и IRIS Biotech GMBH (Германия). Спектры ЯМР регистрировали на приборе Avance III (BioSpin, Bruker, Германия) (1H при 600 MГц, 13C при 125 MГц) и калибровали по сигналам остаточных протонов дейтерированного растворителя DMSO-d6. Химические сдвиги приведены в миллионных долях, а КССВ – в герцах. Масс-спектры высокого разрешения регистрировали на приборе Orbitrap Elite Hybrid Ion Trap-Orbitrap (Thermo Fisher Scientific, Германия). Аналитическую ТСХ проводили на пластинах F254 Silica gel G Plates (Part 1.05554.0001; Merck, Германия). Препаративную ТСХ проводили на стеклянных пластинах TLC Silica gel 60 F254 (Part 1057150001; Merck, Германия). Детекцию соединений на пластинах осуществляли с использованием: 1) раствора нингидрина (0.5 г нингидрина, 250 мл бутанола-1, 50 мл уксусной кислоты, 10 мл сим-коллидина) с последующим нагревом; 2) паров иода; 3) УФ-облучения; 4) насыщенного раствора фосфорномолибденовой кислоты в этаноле (12 масс. %) с последующим нагревом.
Пентафторфенил((4S)-3-бензилоксикарбонил-5-оксооксазолидин-4-ил)ацетат (I). К раствору (4S)-3-бензилоксикарбонил-5-оксооксазолидин-4-уксусной кислоты (2.5 г, 9 ммоль) в 15 мл DCM последовательно добавляли пентафторфенилтрифторацетат (2 мл, 10 ммоль) и пиридин (1 мл, 12 ммоль). Реакционную смесь перемешивали 4 ч и разбавляли DCM до объема 40 мл. Полученный раствор промывали 0.1 М водной HCl (20 мл), 5%-ным NaHCO3 (20 мл) и водой (20 мл). Полученный раствор сушили над MgSO4, отфильтровывали, промывали осадок DCM (20 мл), объединенные органические фазы упаривали до небольшого объема и добавляли порциями гептан до помутнения. Полученную смесь выдерживали в течение ночи при 4°С, образовавшийся осадок отфильтровывали, промывали гептаном и сушили в вакууме над KOH и парафином. Выход соединения (I) составил 3.13 г (79%), Rf = 0.52 (1 : 1 v/v EtOAc/Hep); т. пл. 120–122. Спектр 1Н-ЯМР (353 K): 3.48 (дд, J 3.80, 17.41, 1H, HβAsp), 3.52 (дд, J 5.17, 17.41, 1H, HβAsp), 4.75 (ддд, J 1.09, 3.80, 5.23, 1H, HαAsp), 5.21 (уш.с., 2H, PhCH2), 5.11 (дд, J 1.12, 3.68, 1H, NCH2O), 5.48 (д, J 3.66, 1H, NCH2O), 7.31–7.41 (м, 5H, PhCH2). Спектр 13C-ЯМР (333 K): 170.83, 166.09, 152.26, 140.22 (дм, J 248.00), 138.96 (дм, J 252.00), 137.26 (дм, J 251.00), 135.67, 128.07, 127.74, 127.33, 123.83 (м), 77.86, 66.73, 51.17, 33.76. HRMS (+APCI) m/z: найдено M 446.0666; вычислено для C19H13F5NO6+ [M + H]+ 446.0658.
Общая методика осуществления взаимодействия соединения (I) с солями эфиров аминокислот. Раствор соединения (I) (0.2 ммоль), гидрохлорида эфира аминокислоты (0.22 ммоль) и NMM (0.2 ммоль) в THF (1–1.5 мл) перемешивали в течение 16 ч. Реакционную смесь разбавляли EtOAc (10–15 мл), органическую фазу промывали 5%-ным NaHCO3 (20 мл), 0.1 М водной HCl (2 × 10 мл) и водой. Полученный раствор сушили над Na2SO4, отфильтровывали, промывали осадок EtOAc (10 мл), объединенные органические фазы упаривали на ротационном испарителе и сушили в вакууме. Полученную смесь разделяли хроматографически с помощью препаративной ТСХ или колоночной хроматографией на силикагеле.
(S)-Диметил 2-((S)-3-(бензилоксикарбонил(гидроксиметил)амино)сукцинимидо)сукцинат (VIII). Выход 50 мг, 60%. Rf = 0.46 (2 : 1 v/v PhMe/AcOH). Спектр 1Н-ЯМР (383 К): 2.7 (уш. с., 1H, Hβ), 2.78 (дд, J 5.61, 17.92, 1H, Hβ), 3.07–3.15 (м, 2H, 2Hβ), 3.64 (с, 3H, OCH3), 3.65 (с, 3H, OCH3), 4.66 (дд, J 5.53, 9.12, 1H, Hα), 5.49 (дд, J 6.66, 10.35, 1H, CH2OH), 5.59 (дд, J 6.56, 10.35, 1H, CH2OH), 5.08–5.13 (м, 2H, Hα, PhCH2), 5.15 (д, J 12.62, 1H, PhCH2), 5.71 (т, J 6.74, 1H, OH), 7.29–7.39 (м, 5H, PhCH2). Спектр 13C-ЯМР (383 K): 173.57, 172.64, 169.21, 167.47, 153.77, 135.81, 127.72, 127.28, 126.98, 71.17, 66.40, 54.17, 51.98, 50.97, 47.75, 34.18, 32.38. HRMS (+ ESI) m/z: найдено M 445.1201; вычислено для C19H22N2NaO9+ [M + Na]+ 445.1218.
Третичный бутиловый эфир Nα-((4S)-3-бензилоксикарбонил-5-оксооксазолидин-4-ил)ацетил-изолейцина (IX). По общей методике получали 115 мг смеси целевого продукта и пентафторфенола. Аликвоту (10.3 мг) смеси разделяли препаративной ТСХ (2 : 1 v/v PhMe/AcOH), получали 4.68 мг дипептида (экстраполированный выход 58%). Rf = 0.57 (1 : 1 v/v EtOAc/Hep). Спектр 1Н-ЯМР (353 K): 0.84–0.89 (м, 6H, CH3γIle, CH3δIle), 1.16–1.24 (м, 1H, HγIle), 1.36–1.47 (м, 10H, OBut, HγIle), 1.70–1.78 (м, 1H, HβIle), 2.80 (дд, J 2.90, 16.65, 1H, HβAsp), 3.12 (дд, J 4.49, 16.80, 1H, HβAsp), 4.06 (дд, J 6.27, 7.84, 1H, HαIle), 4.66 (ψт, J 3.33, 1H, HαAsp), 5.11 (дд, J 0.76, 3.34, 1H, NCH2O), 5.15 (уш.с., 2H, PhCH2), 5.46 (д, J 3.43, 1H, NCH2O), 7.31–7.41 (м, 5H, PhCH2), 8.03 (д, J 7.84, 1H, NH). Спектр 13C-ЯМР (383 K): 171.83, 169.77, 168.46, 151.95, 135.76, 127.94, 127.47, 127.04, 80.07, 77.40, 66.30, 56.93, 51.27, 35.96, 34.70, 27.27, 24.64, 14.90, 10.63. HRMS (+ ESI) m/z: найдено M 471.2121; вычислено для C23H32N2NaO7+ [M + Na]+ 471.2102.
Третичный бутиловый эфир Nα-((4S)-3-бензилоксикарбонил-5-оксооксазолидин-4-ил)ацетил-Nε-карбонилбензилоксилизина (X). Выход образца с примесью ~10% изомера 80 мг, 67%). Rf = 0.21 (1 : 1 v/v EtOAc/Hep). Для основного компонента спектр 1Н-ЯМР (298 К, E- и Z-ротамеры наблюдаются при 298 K, как это известно для ацилированных гетероциклических соединений [7]): 1.23–1.31 (м, 2H, HγLys), 1.32– 1.41 (м, 11H, OBut, HδLys), 1.49–1.57 (м, 1H, HβLys), 1.58–1.65 (м, 1H, HβLys), 2.72–2.83 (м, 1H, HβAsp), 2.98 (дд, J 6.45, 13.05, 1H, HεLys), 3.05–3.15 (м, 1H, HβAsp), 3.97 (дд, J 7.94, 13.70, 1H, HαLys), 4.33–4.50 (м, 1H, HαAsp), 5.00 (с, 2H, PhCH2), 5.04 (уш.с., 1H, NCH2O), 5.14 (уш.с., 2H, PhCH2), 5.46 (д, J 3.27, 1H, NCH2O), 7.27 (т, J 5.76, 1H, NHεLys), 7.28–7.42 (м, 10H, PhCH2), 8.39 (д, J 7.11, 1H, NHα). HRMS (+ESI) m/z: найдено M 620.2598; вычислено для C31H39N3NaO9+ [M + Na]+ 620.2579.
ЗАКЛЮЧЕНИЕ
Несмотря на свою привлекательность в виде высокой селективности введения, защитная группа α-карбоксила аспарагиновой кислоты в виде производных (5-оксооксазолидин-4-ил)уксусной кислоты имеет ряд ограничений в использовании, которые необходимо учитывать при планировании синтезов с ней с целью получения β-разветвленных пептидов. В первую очередь, необходим тщательный контроль продуктов реакции с использованием высокотемпературного ЯМР с использованием осушенных растворителей. Кроме того, в каждом конкретном случае невозможно предсказать количество образовавшегося изомера (N-оксиметиламиносукцинимида). Тем не менее значительная селективность может быть получена в реакциях третичных бутиловых эфиров, что согласуется с литературными данными.
БЛАГОДАРНОСТИ
Авторы выражают благодарность к.ф.-м.н. А.К. Сурину (Институт белка РАН) за помощь в регистрации масс-спектров высокого разрешения.
ФОНДОВАЯ ПОДДЕРЖКА
Работа выполнена в рамках государственного задания Министерства науки и высшего образования Российской Федерации (№ FFEU-2024-0056).
СОБЛЮДЕНИЕ ЭТИЧЕСКИХ СТАНДАРТОВ
Настоящая статья не содержит описания исследований с участием людей или использованием животных в качестве объектов исследования.
КОНФЛИКТ ИНТЕРЕСОВ
Авторы заявляют об отсутствии конфликта интересов.
About the authors
V. N. Azev
Branch of Shemyakin–Ovchinnikov Bioorganic Chemistry Institute RAS
Author for correspondence.
Email: viatcheslav.azev@bibch.ru
Russian Federation, prosp. Nauki 6, Puschino, 142290
A. N. Chulin
Branch of Shemyakin–Ovchinnikov Bioorganic Chemistry Institute RAS
Email: viatcheslav.azev@bibch.ru
Russian Federation, prosp. Nauki 6, Puschino, 142290
M. V. Molchanov
Istitute for Theoretical and Experimental Biophysics RAS
Email: viatcheslav.azev@bibch.ru
Russian Federation, Institutskaya ul. 3, Puschino, 142290
A. I. Miroshnikov
Shemyakin–Ovchinnikov Bioorganic Chemistry Institute RAS
Email: viatcheslav.azev@bibch.ru
Russian Federation, ul. Miklukho-Maklaya 16/10, Moscow, 117997
References
- Itoh M.I. // Chem. Pharm. Bull. 1969. V. 17. P. 1679– 1686. https://doi.org/10.1248/cpb.17.1679s
- Scholtz J.M., Bartlett P.A. // Synthesis. 1989. P. 542– 544. https://doi.org/10.1055/s-1989-27311
- Mehrotra A.P., Webster K.L., Gani D. // J. Chem. Soc., Perkin Trans. 1. 1997. P. 2495–2512. https://doi.org/10.1039/A702407J
- Abell A.D., Edwards R.A., Oldham M.D. // J. Chem. Soc., Perkin Trans. 1. 1997. P. 1655–1662. https://doi.org/10.1039/A608165G
- Azev V.N., Baidakova L.K., Chulin A.N., Tuzikov A.B., Kislitsyn P.G., Molchanov M.V., Miroshnikov A.I. // Russ. J. Bioorg. Chem. 2023. V. 49. P. 775–784. https://doi.org/10.1134/S1068162023040052
- Subirós-Funosas R., El-Faham A., Albericio F. // Tetrahedron. 2011. V. 45. P. 8595–8606. https://doi.org/10.1016/j.tet.2011.08.046
- Benassi R., Folli U., Schenetti L., Taddei F. // Adv. Het. Chem. 1987. V. 41. P. 75–186. https://doi.org/10.1016/S0065-2725(08)60161-0
- Tillett J.G. // Chem. Rev. 1976. V. 76. P. 747–772. https://doi.org/10.1021/cr60304a004
- Armarego W.L.F., Chai C. // Purification of Laboratory Chemicals, 6th ed. Oxford: Butterworth-Heinemann, 2012.
Supplementary files






