Hybrid Organomineral Carriers for Therapeutic Proteins
- Authors: Zelenikhin P.V.1, Galeeva A.G.1,2, Islamova R.R.1, Lopatin O.N.1, Yarullin R.S.3, Ilinskaya O.N.1
-
Affiliations:
- Kazan (Volga Region) Federal University
- Federal Center for Toxicological, Radiation and Biological Safety
- JSC “Tatneftekhiminvest-Holding”
- Issue: Vol 49, No 2 (2023)
- Pages: 178-187
- Section: Articles
- URL: https://journals.rcsi.science/0132-3423/article/view/145877
- DOI: https://doi.org/10.31857/S0132342323020239
- EDN: https://elibrary.ru/GHXBZI
- ID: 145877
Cite item
Full Text
Abstract
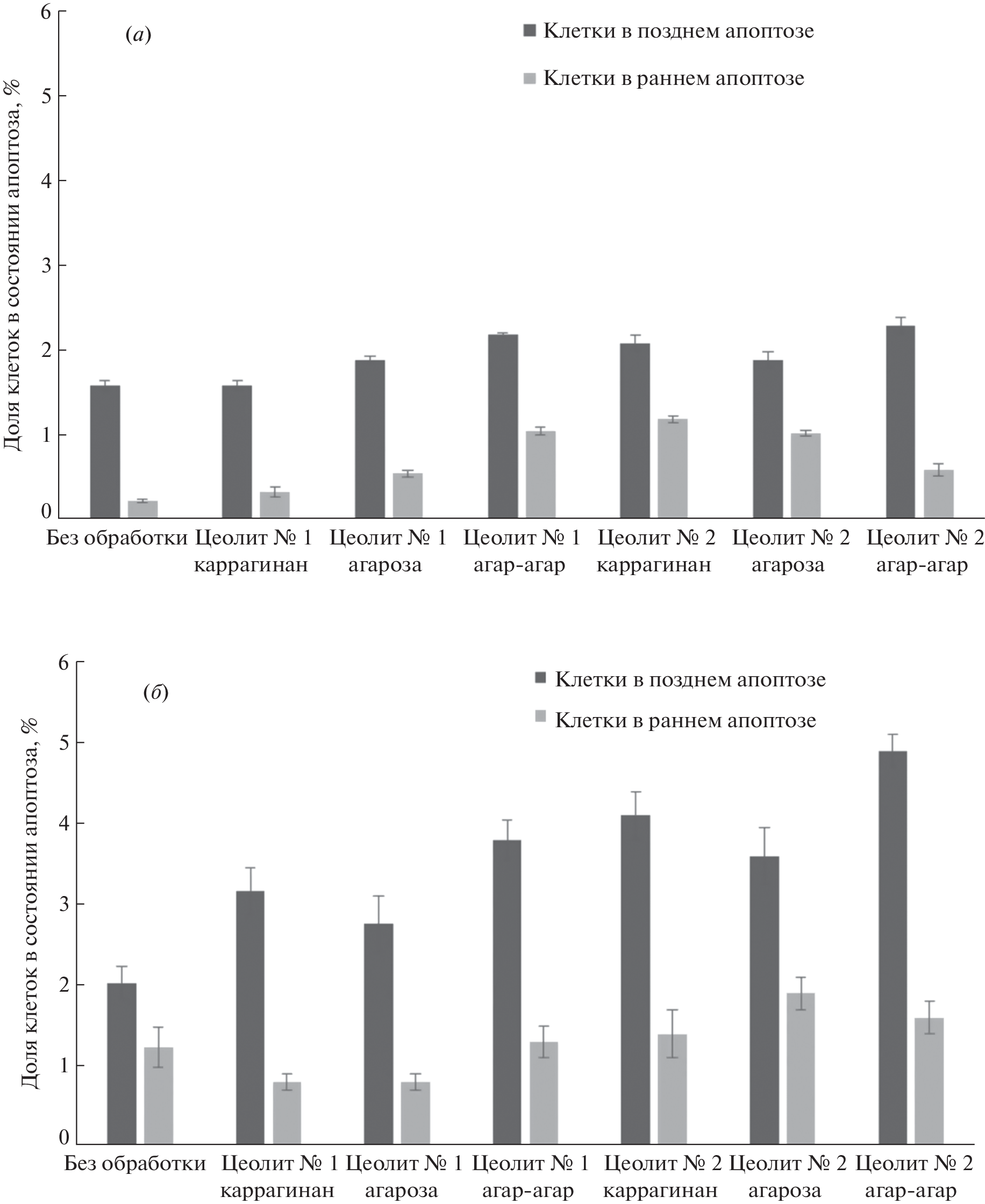
Drug delivery systems are designed to provide the necessary concentration and prolonged effect of the active substance in the body. Orally administered protein preparations require protection from proteolysis in the gastrointestinal tract. Biocompatible hydrophilic polysaccharides in the matrix are especially promising, since they do not irritate the intestines and are gradually cleaved by specific glycosidases, releasing the therapeutic agent. The introduction of an insoluble porous mineral matrix into composition of carrier makes it possible to increase the concentration of therapeutic in matrix without a significant increase in the volume of drug tablet form. In this work, a new original organic mineral carrier based on heat-treated crushed clinoptiolite zeolite in combination with natural polysaccharides from red seaweeds – agar-agar, agarose, and carrageenan was created. Granular and finely dispersed clinoptiolites in the matrix are loaded with a promising therapeutic agent, Bacillus pumilus ribonuclease (binase), which exhibits selective cytotoxicity to tumor cells. It has been established that both granular and finely dispersed zeolites in combination with polysaccharides retain protein better than pure zeolites and provide a gradual complete release of enzyme in 18 hours. At the same time, the enzyme retains its catalytic activity and induces apoptosis up to 23.8% cells of the human duodenal adenocarcinoma HuTu80. The data obtained substantiate the prospects of dosage forms based on the used organomineral carriers designing.
About the authors
P. V. Zelenikhin
Kazan (Volga Region) Federal University
Author for correspondence.
Email: pasha_mic@mail.ru
Russia, 420008, Kazan, ul. Kremlevskaya 18
A. G. Galeeva
Kazan (Volga Region) Federal University; Federal Center for Toxicological, Radiation and Biological Safety
Email: pasha_mic@mail.ru
Russia, 420008, Kazan, ul. Kremlevskaya 18; Russia, 420075, Kazan, Nauchny gorodok-2
R. R. Islamova
Kazan (Volga Region) Federal University
Email: pasha_mic@mail.ru
Russia, 420008, Kazan, ul. Kremlevskaya 18
O. N. Lopatin
Kazan (Volga Region) Federal University
Email: pasha_mic@mail.ru
Russia, 420008, Kazan, ul. Kremlevskaya 18
R. S. Yarullin
JSC “Tatneftekhiminvest-Holding”
Email: pasha_mic@mail.ru
Russia, 420061, Kazan, ul. Nikolay Ershov 29A
O. N. Ilinskaya
Kazan (Volga Region) Federal University
Email: pasha_mic@mail.ru
Russia, 420008, Kazan, ul. Kremlevskaya 18
References
- Бондарев А.В., Жилякова Е.Т. // Фармация и фармакология. 2019. Т. 7. С. 4–12. https://doi.org/10.19163/2307-9266-2019-7-1-4-12
- Бондарев А.В., Жилякова Е.Т., Демина Н.Б., Размахнин К.К. // Разработка и регистрация лекарственных средств. 2021. Т. 10. С. 65–71. https://doi.org/10.33380/2305-2066-2021-10-4-65-71
- Chirani N., Yahia L’H., Gritsch L., Motta F.L., Chirani S., Fare S. // J. Biomed. Sci. 2015. V. 4. P. 1–23. https://doi.org/10.4172/2254-609X.100013
- Kouser R., Vashist A., Zafaryab M., Rizvi M.A., Ahmad S. // ACS Appl. Bio Mater. 2018. V. 1. P. 1810–1822. https://doi.org/10.1021/acsabm.8b00260
- Liu X., Steiger C., Lin S., Parada G.A., Liu J., Chan H.F., Yuk H., Phan N.V., Collins J., Tamang S., Traverso G., Zhao X. // Nat. Commun. 2019. V. 1. P. 493. https://doi.org/10.1038/s41467-019-08355-2
- Norouzi M., Nazari B., Miller D.W. // Drug Discov. Today. 2016. V. 21. P. 1835–1849. https://doi.org/10.1016/j.drudis.2016.07.006
- Gao W., Zhang Y., Zhang Q., Zhang L. // Ann. Biomed. Eng. 2016. V. 44. P. 2049–2061. https://doi.org/10.1007/s10439-016-1583-9
- Ivanova I.I., Knyazeva E.E. // Chem. Soc. Rev. 2013. V. 42. P. 3671–3688. https://doi.org/10.1039/c2cs35341e
- Attanoos R.L., Churg A., Galateau-Salle F., Gibbs A.R., Roggli V.L. // Arch. Path. Lab. 2018. V. 142. P. 753–760. https://doi.org/10.5858/arpa.2017-0365-RA
- Khojaewa V., Lopatin O., Zelenikhin P., Ilinskaya O. // Front. Pharmacol. 2019. V. 10. P. 442. https://doi.org/10.3389/fphar.2019.00442
- Mastinu A., Kumar A., Maccarinelli G., Bonini S.A., Premoli M., Aria F., Gianoncelli A., Memo M. // Molecules. 2019. V. 24. P. 1517. https://doi.org/10.3390/molecules24081517
- Kraljević Pavelić S., Simović Medica J., Gumbarević D., Filošević A., Pržulj N., Pavelić K. // Front. Pharmacol. 2018. V. 9. P. 1350. https://doi.org/10.3389/fphar.2018.01350
- Исламова Р.Р., Яковлева Г.Ю., Ильинская О.Н., Лопатин О.Н. // Матер. международ. науч. конфер. “Проблемы геологии и расширение минерально-сырьевой базы стран Евразии”, Алматы. 2019. С. 317–322. ISBN 978-601-332-416-6.
- Исламова Р.Р., Яковлева Г.И., Тюрин А.Н., Ильинская О.Н., Лопатин О.Н. // Записки российского минералогического общества. 2022. Т. 151. С. 105–113.
- Makarov A.A., Kolchinsky A., Ilinskaya O.N. // BioEssays. 2008. V. 30. P. 781–790. https://doi.org/10.1002/bies.20789
- Garipov A.R., Nesmelov A.A., Cabrera-Fuentes H.A., Ilinskaya O.N. // Toxicon. 2014. V. 92. P. 54–59. https://doi.org/10.1016/j.toxicon.2014.09.014
- Mohamed I.S.E., Sen’kova A.V., Nadyrova A.I., Savin I.A., Markov A.V., Mitkevich V.A., Makarov A.A., Ilinskaya O.N., Mironova N.L., Zenkova M.A. // Biomolecules. 2020. V. 10. P. 1509. https://doi.org/10.3390/biom10111
- Bogdanova L.R., Zelenikhin P.V., Makarova A.O., Zueva O.S., Salnikov V.V., Zuev Y.F., Ilinskaya O.N. // Polymers (Basel). 2022. V. 14. P. 2461. https://doi.org/10.3390/polym14122461
- Khodzhaeva V., Makeeva A., Ulyanova V., Zelenikhin P., Evtugyn V., Hardt M., Rozhina E., Lvov Y., Fakhrullin R., Ilinskaya O. // Front. Pharmacol. 2017. V. 8. P. 631. https://doi.org/10.3389/fphar.2017.00631
- Ilinskaya O., Ulyanova V., Lisevich I., Dudkina E., Zakharchenko N., Kusova A., Faizullin D., Zuev Y. // Biomed. Res. Int. 2018. P. 4837623. https://doi.org/10.1155/2018/4837623
- Cui S., Arosio D., Doherty K.M., Brosh R.M., Jr., Falaschi A., Vindigni A. // Nucleic Acids Res. 2004. V. 32. P. 2158–2170. https://doi.org/10.1093/nar/gkh540
- Wasilewska M., Adamczyk Z., Jachimska B. // Langmuir. 2009. V. 25. P. 3698–3704. https://doi.org/10.1021/la803662a
- Dudkina E., Ulyanova V., Shah Mahmud R., Khodzhaeva V., Dao L., Vershinina V., Kolpakov A., Ilinskaya O. // FEBS Open Biol. 2016. V. 6. P. 24‒32. https://doi.org/10.1002/feb4.12023
- Foglar L., Sipos L., Bolf N. // World J. Microbiol. Biotechnol. 2007. V. 23. P. 1595–1603. https://doi.org/10.1007/s11274-007-9405-8
- Колпаков А.И., Ильинская О.Н. // Клиническая и лабораторная диагностика. 1999. № 5. С. 14‒16.
- Пирузян А.В., Боковикова Т.Н., Найденов Ю.В. // Электронный научно-технический журнал “Физико-химический анализ свойств многокомпонентных систем”. 2008. № 6. https://fh.kubstu.ru/fams/issues/issue06/st0630.pdf
Supplementary files







