Synthesis of Diethyl 6-Amino-1-aryl-2-oxo-1,2-dihydropyridine-3,5-carboxylate
- 作者: Khachatryan A.K.1,2, Avagyan K.A.1, Badasyan A.E.1
- 
							隶属关系: 
							- Scientific Technological Center of Organic and Pharmaceutical Chemistry of the National Academy of Sciences of the Republic of Armenia
- Crisis Management State Academy of the Ministry of Internal Affairs
 
- 期: 卷 94, 编号 4 (2024)
- 页面: 462-468
- 栏目: Articles
- URL: https://journals.rcsi.science/0044-460X/article/view/262777
- DOI: https://doi.org/10.31857/S0044460X24040011
- EDN: https://elibrary.ru/ECIZJX
- ID: 262777
如何引用文章
全文:
详细
It was found that the reaction of malonic acid N-arylamidoesters with ethyl 2-cyano-3-ethoxyacrylate in ethanol in the presence of equimolar amounts of triethylamine both at room temperature and under reflux leads to the formation of previously unknown diethyl 6-amino-1-aryl-2-oxo-1,2-dihydropyridine-3,5-carboxylates with yields of 40–70%. Structure of the obtained compounds was confirmed by NMR and IR spectroscopy data. Antibacterial activity of some of the obtained compounds was studied.
全文:
Введение
В последние десятилетия синтез производных азотсодержащих гетероциклов, в частности функционально-замещенных пиридинов, привлекают исследователей своим разнообразием биологической активности [1–4]. Производные пиридина являются удобными синтетическими предшественниками хиральных дигидро- и тетрагидропиридинов [5–8]. В частности, 1,2-дигидропиридины являются ценными, реакционноспособными синтонами и особенно полезными для синтеза распространенных структурных компонентов фармацевтических препаратов [9, 10]. Кроме того, производные дигидропиридина проявляют многообразние фармакологических эффектов в качестве лекарственных средств, в основном как антигипертензивные и антиаритмические препараты [11], противомикробные и противовирусные агенты [12, 13], противораковые средства [14, 15].
Исходя из вышеизложенного, синтез функционально-замещенных 1,2-дигидропиридинов является весьма актуальной задачей современной органической химии.
Результаты и обсуждения
Один из методов синтеза замещенных пиридинов, в частности 1,2-дигидропиридинов, основан на взаимодействии активных метиленовых соединений (CH-нуклеофилы) с активированными алкенами, несущими электроноакцепторные группы (реакция Михаэля). В качестве потенциального нуклеофила наименее изучены амидоэфиры малоновой кислоты [16–18].
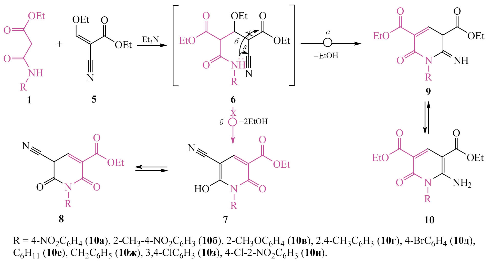
Ранее нами было показано, что при взаимодействии N-ариламидоэфиров малоновой кислоты 1 с арилметилиденциануксусным эфиром 2 в присутствии каталитических количеств пиперидина образующийся промежуточный аддукт Михаэля 3 подвергается гетероциклизации только по нитрильной группе, образуя диэтил-6-амино-1,4-диарил-2-оксо-1,2,3,4-тетрагидропиридин-3,5-дикарбоксилаты 4 с выходами 15–83% (схема 1) [19].
Схема 1.
Эти исследования интересны тем, что дают возможность изучить влияние природы реакционного центра на региоселективность внутримолекулярной гетероциклизации. Известны работы, в которых промежуточные аддукты Михаэля, содержащие разные реакционные центры [20, 21], в частности циано- и этоксикарбонильную группы, подвергаются гетероциклизации с участием как сложноэфирной группировки [22], так и цианогруппы [23], а также обеих групп одновременно [24].
С целью создания нового способа получения функционально-замещенных 1,2-дигидропиридинов и установления региоселективности внутримолекулярной гетероциклизации промежуточного аддукта Михаэля в представленной работе исследовано взаимодействие N-ариламидоэфиров малоновой кислоты 1 с этил-2-циано-3-этоксиакрилатом 5 (схема 2).
Проведенные опыты показали, что указанное взаимодействие протекает в абсолютном этаноле в присутствии триэтиламина при комнатной температуре, а также при кипячении. Как видно из схемы 2, в промежуточном ациклическом аддукте Михаэля 8, образующемся в результате взаимодействия N-ариламидоэфиров малоновой кислоты 1 с этил-2-циано-3-этоксиакрилатом 5, одновременно присутствуют циано- и этоксикарбонильные группы, т. е. указанный аддукт может подвергаться гетероциклизации как по циано- (путь а), так и по этоксикарбонильной группе (путь б). Согласно данным ИК, ЯМР 1H, 13C спектроскопии, единственным продуктом реакции являются диэтил-6-амино-1-арил-2-оксо-1,2-дигидропиридин-3,5-дикарбоксилаты 10а–и, образующиеся с выходами 40–70%. Соединения 7–9 выделить или обнаружить в реакционной смеси нам не удалось. По всей вероятности, это свидетельствует о региоселективности гетероциклизации по нитрильной группе и последующей изомеризации иминопроизводного 9 в соответствующий таутомер ‒ енамин 10.
Схема 2.
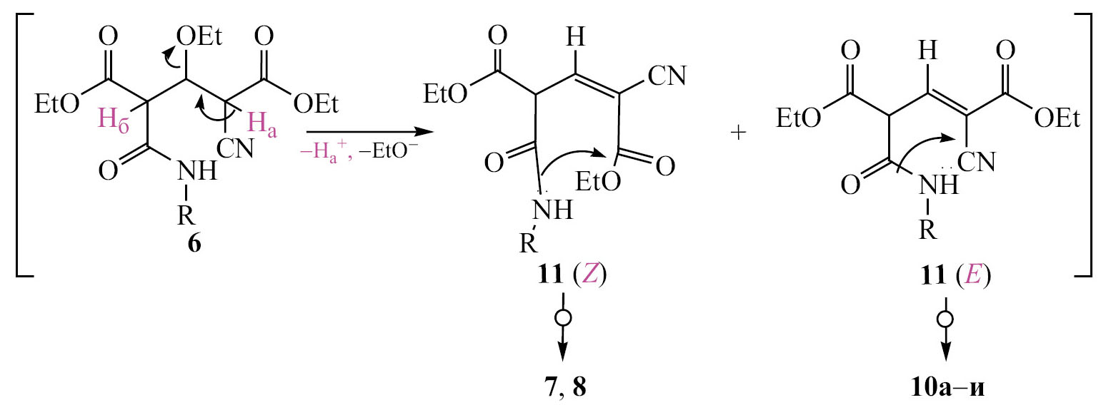
Схема 3.
Рис. 1. Антибактериальная активность соединений 10а–ж в отношении штаммов E. coli 0-55, Sh. flexneri 6858, B. subtilis 6633, St. aureus 209p.
Образование соединений 10а–и можно объяснить тем, что промежуточный ациклический аддукт Михаэля 6 до циклизации, в отличие от аддукта Михаэля 3, по-видимому, подвергается элиминированию с отщеплением этилат-аниона и протона Ha+ с образованием замещенных олефинов 11 (Z,E)-конфигурации. На наш взгляд, из-за пространственных затруднений в изомере (Z)-11, дальнейшей циклизации подвергается изомер (E)-конфигурации с образованием соединений 10а–и (схема 3).
Исследования антибактериальной активности показали, что изученные соединения обладают антибактериальными свойствами. Однако по активности они несколько отличаются между собой. Так, соединения 10б, в, е проявляют слабую активностъ, подавляя рост всех использованных микроорганизмов в зоне диаметром 11–15 мм (рис. 1). Соединения 10а, г, ж оказались более эффективными (подавление роста микроорганизмов составляет d = 16–19 мм), а соединение 10д проявляет умеренную активность только в отношении грамотрицательных штаммов (d = 15–16 мм). Следует отметить, что изученные соединения по активности значительно уступают контрольному препарату ‒ фуразолидону (d = 24–25 мм).
Выводы
Таким образом, разработан новый доступный метод синтеза ранее неизвестных функционально-замещенных дигидропиридинов – диэтил-6-амино-1-арил-2-оксо-1,2-дигидропиридин-3,5-дикарбоксилатов 10а–и – с выходами 40–70% на основе взаимодействия N-ариламидоэфиров малоновой кислоты с этил-2-циано-3-этоксиакрилатом. Установлено, что образующийся по последовательному тандемному АЕ (присоединение/отщепление) механизму промежуточный ациклический аддукт Михаэля подвергается нуклеофильной гетероциклизации только с участием нитрильной группы. Ряд полученных соединений проявляет антибактериальную активность, однако значительно уступают контрольному препарату ‒ фуразолидону.
Экспериментальная часть
Реактивы получены из коммерческих источников и использованы без дополнительной очистки. Растворители перед использованием очищены перегонкой, кристаллические исходные соединения предварительно перекристаллизовывали из подходящего растворителя.
ИК спектры сняты на спектрофотометре Nicolet Avatar 330 FT-IR (США) в вазелиновом масле в тонком слое. Спектры ЯМР 1H и 13C записаны на спектрометре Varian Mercury 300VX (США) с рабочей частотой 300 и 75 МГц соответственно в растворе ДМСО-d6–CCl4 (1:3), внутренний стандарт – ТМС. Элементный анализ выполнен на приборе Коршун–Климовой для C и H и методом Дюма–Прегля для N. Температуры плавления определены на микронагревательном столике Boetius (Германия).
Общая методика получения диэтил-6-амино-1-арил-2-оксо-1,2-дигидропиридин-3,5-дикарбоксилатов 10а–и. Смесь эквимольных количеств (1.5 ммоль) соединений 1а‒в, 5 и триэтиламина в абсолютном этаноле перемешивали при комнатной температуре в течение 3 сут (10а‒в) либо при кипячении в течение 10 ч (10г‒и). После отгонки основной части этанола к остатку добавляли воду и подкисляли соляной кислотой до pH = 1–2. Выделившиеся кристаллы отфильтровывали, промывали водой, диэтиловым эфиром и перекристаллизовывали из изопропилового спирта.
Диэтил-6-амино-1-(4-нитрофенил)-2-оксо-1,2-дигидропиридин-3,5-дикарбоксилат (10а). Выход 0.28 г (50%), желтые кристаллы, т. пл. 332°C. ИК спектр, ν, см–1: 3401 (NH2), 1732 (COOC), 1681 (СО), 1652 (CON). Спектр ЯМР 1Н, δ, м. д.: 1.30 т (3H, CH3, J 7.1 Гц,), 1.39 т (3H, CH3, J 7.1 Гц), 4.19 к (2H, CH2, J 7.1 Гц), 4.30 к (2H, CH2, J 7.1 Гц), 7.22 уш. с (1H, NH2), 7.56 д. д (2H, C6H4NO2, J 8.8, 4.8 Гц), 8.43 д. д (2H, C6H4NO2, J 8.8, 4.8 Гц), 8.64 с (1H, CH), 8.87 уш. с (1H, NH2). Спектр ЯМР 13C, δС, м. д.: 13.8 (CH3), 14.0 (CH3), 59.0 (CH2), 59.8 (CH2), 88.3, 103.8, 125.0 (2CH), 130.5 (2CH), 140.5, 146.4, 147.9, 156.6, 157.6, 163.3, 165.5. Найдено, %: C 53.87; H 4.53; N 11.09. C17H17N3O7. Вычислено, %: C 54.40; H 4.57; N 11.20.
Диэтил-6-амино-1-(-2метил-4-нитрофенил)-2-оксо-1,2-дигидропиридин-3,5-дикарбоксилат (10б). Выход 0.34 г (60%), бежевые кристаллы, т. пл. 280°C. ИК спектр, ν, см–1: 3273 (NH2), 1717 (COOC), 1690 (СО), 1636 (CON). Спектр ЯМР 1Н, δ, м. д.: 1.31 т (3H, CH3, J 7.1 Гц,), 1.40 т (3H, CH3, J 7.1 Гц), 2.21 с (3H, CH3-Аr), 4.20 к (2H, CH2, J 7.1 Гц), 4.31 к (2H, CH2, J 7.1 Гц), 7.18 уш. с (1H, NH2), 7.43 д (1H, C6H3, J 7.1 Гц), 8.19–8.31 м (2H, C6H4NO2), 8.64 с (1H, CH), 8.83 уш. с (1H, NH2). Спектр ЯМР 13C, δС, м. д.: 13.9 (CH3), 14.0 (CH3), 16.6 (CH3), 59.1 (CH2), 59.7 (CH2), 88.2, 103.9, 122.4, 125.9, 130.2, 138.4, 139.5, 146.6, 148.0, 156.1, 156.9, 163.2, 165.5. Найдено, %: C 54.97; H 4.95; N 10.68. C18H19N3O7. Вычислено, %: C 55.53; H 4.92; N 10.79.
Диэтил-6-амино-1-(2-метоксифенил)-2-оксо-1,2-дигидропиридин-3,5-дикарбоксилат (10в). Выход 0.27 г (50%), белые кристаллы, т. пл. 165°C. ИК спектр, ν, см–1: 3358 (NH2), 1773 (COOC), 1677 (СО), 1623 (CON). Спектр ЯМР 1Н, δ, м. д.: 1.36 т (3H, CH3, J 7.1 Гц), 1.43 т (3H, CH3, J 7.1 Гц), 3.99 с (3H, OCH3-Аr), 4.26 к (2H, CH2, J 7.1 Гц), 4.38 к (2H, CH2, J 7.1 Гц), 7.02–7.26 м (3H, C6H4), 7.93–8.01 м (1H, C6H4), 8.53 уш. с (1H, NH2), 8.64 с (1H, CH), 11.63 уш. с (1H, NH2). Спектр ЯМР 13C, δС, м. д.: 13.9 (CH3), 14.0 (CH3), 53.6 (CH3), 55.5 (CH2), 59.6 (CH2), 68.1, 88.1, 110.7, 120.5, 120.8, 123.8, 126.1, 149.3, 150.7, 152.5, 162.2, 162.4, 164.6. Найдено, %: C 59.39; H 5.53; N 7.69. C18H20N2O6. Вычислено, %: C 59.99; H 5.59; N 7.77.
Диэтил-6-амино-1-(2,4-диметилфенил)-2-оксо-1,2-дигидропиридин-3,5-дикарбоксилат (10г). Выход 0.21 г (40%), белые кристаллы, т. пл. 205°C. ИК спектр, ν, см–1: 3435 (NH2), 1731 (COOC), 1696 (СО), 1651 (CON). Спектр ЯМР 1Н, δ, м. д.: 1.33 т (3H, CH3, J 7.1 Гц), 1.40 т (3H, CH3, J 7.1 Гц), 2.04 с (3H, CH3-Аr), 2.43 с (3H, CH3-Аr), 4.20 к (2H, CH2, J 7.1 Гц), 4.31 к (2H, CH2, J 7.1 Гц), 6.48 уш. с (1H, NH2), 6.98 д (1H, C6H3), 7.17–7.26 м (2H, C6H3), 8.64 с (1H, CH), 8.81 уш. с (1H, NH2). Спектр ЯМР 13C, δС, м. д.: 14.0 (CH3), 14.1 (CH3), 16.4 (CH3), 20.6 (CH3), 58.9 (CH2), 59.5 (CH2), 87.9 (CH), 104.1 (CH), 127.9 (2CH), 130.6 (CH), 131.8, 135.3, 138.6, 146.1, 156.4, 157.1, 163.4, 165.5. Найдено, %: C 63.81; H 6.12; N 7.74. C19H22N2O5. Вычислено, %: C 63.67; H 6.19; N 7.82.
Диэтил-6-амино-1-(4-бромфенил)-2-оксо-1,2-дигидропиридин-3,5-дикарбоксилат (10д). Выход 0.36 г (59%), бежевые кристаллы, т. пл. 320°C. ИК спектр, ν, см–1: 3266 (NH2), 1713 (COOC), 1678 (СО), 1629 (CON). Спектр ЯМР 1Н, δ, м. д.: 1.31 т (3H, CH3, J 7.1 Гц), 1.39 т (3H, CH3, J 7.1 Гц), 4.19 к (2H, CH2, J 7.1 Гц), 4.30 к (2H, CH2, J 7.1 Гц), 6.97 уш. с (1H, NH2), 7.15–7.20 м (2H, C6H4Br), 7.71–7.76 м (2H, C6H4Br), 8.61 с (1H, CH), 8.85 уш. с (1H, NH2). Спектр ЯМР 13C, δС, м. д.: 14.0 (CH3), 14.1 (CH3), 58.9 (CH2), 59.6 (CH2), 88.1, 104.0, 122.6, 130.6 (2CH), 132.8 (2CH), 133.7, 146.1 (CH), 156.7, 157.6, 163.4, 165.5. Найдено, %: C 49.39; H 4.14; Br 19.33; N 6.78. C17H17BrN2O5. Вычислено, %: C 49.89; H 4.19; Br 19.53, N 6.85.
Диэтил-6-амино-1-циклогексил-2-оксо-1,2-дигидропиридин-3,5-дикарбоксилат (10е). Выход 0.35 г (70%), белые кристаллы, т. пл. 225°C. ИК спектр, ν, см–1: 3129 (NH2), 1723 (COOC), 1694 (СО), 1664 (CON). Спектр ЯМР 1Н, δ, м. д.: 1.24 т (3H, CH3, J 7.1 Гц), 1.26 т (3H, CH3, J 7.1 Гц), 1.38–1.45 м (2H, CH2), 1.46–1.50 м (2H, CH2), 1.51–1.53 м (2H, CH2), 1.55–1.58 м (2H, CH2), 1.59–1.61 м (2H, CH2), 3.09–3.13 м (1H,CH), 4.08 к (2H, CH2, J 7.1 Гц), 4.37 к (2H, CH2, J 7.1 Гц), 7.93 уш. с (1H, NH2), 8.56 с (1H, CH), 9.84 уш. с (1H, NH2). Спектр ЯМР 13C, δС, м. д.: 14.0 (2CH3), 25.1 (CH2), 25.3 (2CH2), 31.5 (2CH2), 61.0 (CH2), 61.1 (CH2), 61.8 (CH), 88.4, 124.4, 152.3, 154.9, 156.3, 165.1, 165.5. Найдено, %: C 60.09; H 7.11; N 8.24. C17H24N2O5. Вычислено, %: C 60.70; H 7.19; N 8.33.
Диэтил-6-амино-1-бензил-2-оксо-1,2-дигидропиридин-3,5-дикарбоксилат (10ж). Выход 0.33 г (64%), белые кристаллы, т. пл. 240°C. ИК спектр, ν, см–1: 3366 (NH2), 1722 (COOC), 1676 (СО), 1644 (CON). Спектр ЯМР 1Н, δ, м. д.: 1.33 т (3H, CH3, J 7.1 Гц), 1.38 т (3H, CH3, J 7.1 Гц), 4.21 к (2H, CH2, J 7.1 Гц), 4.28 к (2H, CH2, J 7.1 Гц), 5.29 с (2H, CH2), 7.19 уш. с (1H, NH2), 7.20–7.32 м (5H, C6H5), 8.02 с (1H, CH), 8.60 уш. с (1H, NH2). Спектр ЯМР 13C, δС, м. д.: 14.0 (CH3), 14.1 (CH3), 59.0 (CH2), 59.6 (CH2), 88.2, 103.4, 126.4 (2CH), 126.6 (2CH), 127.9 (2CH), 135.0, 145.5, 156.6, 157.7, 163.6, 165.8. Найдено, %: C 62.15; H 5.79; N 8.04. C18H20N2O5. Вычислено, %: C 62.78; H 5.85; N 8.13.
Диэтил-6-амино-1-(3,4-дихлорфенил)-2-оксо-1,2-дигидропиридин-3,5-дикарбоксилат (10з). Выход 0.36 г (59%), бежевые кристаллы, т. пл. 320°C. ИК спектр, ν, см–1: 3375 (NH2), 1736 (COOC), 1689 (СО), 1651 (CON). Спектр ЯМР 1Н, δ, м. д.: 1.31 т (3H, CH3, J 7.1 Гц), 1.40 т (3H, CH3, J 7.1 Гц), 4.20 к (2H, CH2, J 7.1 Гц), 4.30 к (2H, CH2, J 7.1 Гц), 7.10 уш. с (1H, NH2), 7.19 д (1H, C6H3, J 2.4 Гц), 7.22 д (1H, C6H3, J 2.4 Гц), 7.47 д (1H, C6H3, J 2.4 Гц), 8.61 с (1H, CH), 8.90 уш. с (1H, NH2). Спектр ЯМР 13C, δС, м. д.: 14.0 (CH3), 14.2 (CH3), 61.0 (CH2), 61.8 (CH2), 84.2, 124.4, 128.5, 129.0 (2.CH), 131.1, 131.2, 133.4, 154.9, 157.5, 160.7, 165.0, 165.5 Найдено, %: C 50.62; H 3.99; Cl 17.58; N 6.94. C17H16Cl2N2O5. Вычислено, %: C 51.14; H 4.04; Cl 17.76; N 7.02.
Диэтил-6-амино-1-(4-хлор-2-нитрофенил)-2-оксо-1,2-дигидропиридин-3,5-дикарбоксилат (10и). Выход 0.25 г (41%), желтые кристаллы, т. пл. 240°C. ИК спектр, ν, см–1: 3265 (NH2), 1728 (COOC), 1705 (СО), 1681 (CON). Спектр ЯМР 1Н, δ, м. д.: 1.30 т (3H, CH3, J 7.1 Гц), 1.41 т (3H, CH3, J 7.1 Гц), 4.18 к (2H, CH2, J 7.1 Гц), 4.32 к (2H, CH2, J 7.1 Гц), 7.46 уш. с (1H, NH2), 7.48–754 м (1H, C6H3), 7.90–7.99 м (2H, C6H3), 8.67 с (1H, CH), 8.97 уш. с (1H, NH2). Спектр ЯМР 13C, δС, м. д.: 14.2 (2CH3), 61.1 (CH2), 61.7 (CH2), 84.4, 123.9, 124.4, 125.8, 129.2, 131.4, 135.1, 143.8, 154.9, 157.5, 160.7, 165.0, 165.5. Найдено, %: C 49.33; H 3.97; Cl 8.56; N 10.14. C17H16ClN3O7. Вычислено, %: C 49.83; H 3.94; Cl 8.65; N 10.25.
Антибактериальная активность соединений 10а–ж изучена методом «диффузии в агаре» при бактериальной нагрузке 20 млн микробных тел на 1 мл среды [25]. В опытах использованы четыре штамма микроорганизмов: грамположительные стафилоккоки (St. aureus 209p, B. subtilis 6633) и грамотрицательные палочки (Sh. flexneri 6858, E. сoli 0-55), в качестве положительного контроля выступал лекарственный препарат фуразолидон [26].
Благодарность
Авторы выражают благодарность Центру исследования строения молекул Научно-технологического центра органической и фармацевтической химии за полученные физико-химические данные, а также биологическому отделению Научно-технологического центра органической и фармацевтической химии за исследования антибактериальной активности полученных соединений.
Финансовая поддержка
Работа выполнена при поддержке Государственного комитета по науке Республики Армения (исследовательский проект № 23AA-1D001).
Конфликт интересов
Авторы заявляют об отсутствии конфликта интересов.
作者简介
A. Khachatryan
Scientific Technological Center of Organic and Pharmaceutical Chemistry of the National Academy of Sciences of the Republic of Armenia; Crisis Management State Academy of the Ministry of Internal Affairs
							编辑信件的主要联系方式.
							Email: avagyan9248@gmail.com
				                	ORCID iD: 0000-0003-1210-9903
				                																			                												                	亚美尼亚, 							Yerevan, 0014; Yerevan, 0040						
K. Avagyan
Scientific Technological Center of Organic and Pharmaceutical Chemistry of the National Academy of Sciences of the Republic of Armenia
														Email: avagyan9248@gmail.com
				                	ORCID iD: 0000-0002-5370-041X
				                																			                												                	亚美尼亚, 							Yerevan, 0014						
A. Badasyan
Scientific Technological Center of Organic and Pharmaceutical Chemistry of the National Academy of Sciences of the Republic of Armenia
														Email: avagyan9248@gmail.com
				                	ORCID iD: 0009-0003-6123-9867
				                																			                												                	亚美尼亚, 							Yerevan, 0014						
参考
- Joy M., Anabha E.R., Gopi S., Mathew B., Kumar A.S., Mathews A. // Acta Crystallogr. 2018. Vol. 74. P. 807. doi: 10.1107/S2053229618007490
- Saleem F., Khan K.M., Ullah N., Özil M., Baltaş N., Hameed Sh., Salar U., Wadood A., Rehman A.Ur., Kumar M., Taha M., Haider S.M. // Arch. Pharm. 2022. Vol. 356. N 1. doi: 10.1002/ardp.202200400
- Patel N.B., Sharma R.D. // Synth. Commun. 2013. Vol. 43. N 9. P. 1250. doi: 10.1080/00397911.2011.630771
- Sangwan S., Yadav N., Kumar R., Chauhan S., Dhanda V., Walia P., Duhan A. // Eur. J. Med. Chem. 2022. Vol. 232. P. 114199. doi: 10.1016/j.ejmech.2022.114199
- Duttwyler S., Chen S., Lu C., Mercado B.Q., Bergman R.G., Ellman J.A. // Angew. Chem. Int. Ed. 2014. Vol. 53. N 15. P. 3877. doi: 10.1002/anie.201310517
- Bull J.A., Mousseau J.J., Pelletier G., Charette A.B. // Chem. Rev. 2012. Vol. 112. N 5. P. 2642. doi.org/10.1021/cr200251d
- Mu B.Sh., Cui X.Y., Zeng X.P., Yu J.Sh., Zhou J. // Nat. Commun. 2021. Vol. 12. N 1. P. 2219. doi: 10.1038/s41467-021-22374-y
- Tejedor D., Cotos L., Méndez A.G., García-Tellado F. // J. Org. Chem. 2014. Vol. 79. N 21. P. 10655. doi: 10.1021/jo501991s
- Silva E.M.P., Varandas P.A.M.M., Silva A.M.S. // Synthesis. 2013. Vol. 45. N 22. P. 3053. doi: 10.1055/s-0033-1338537
- Pathak Sh., Jain S., Pratap A. // Lett. Drug Design Discov. 2024. Vol. 21. N 1. P. 15. doi 10.2174/ 1570180820666230508100955
- Altalbawy F.M.A. // Int. J. Mol. Sci. 2013. Vol. 14. P. 2967. doi: 10.3390/ijms14022967
- Karcı F., Karcı F., Demirçalı A., Yamaç M. // J. Mol. Liq. 2013. Vol. 187. P. 302. doi: 10.1016/j.molliq.2013.08.005
- Chen W., Zhan P., Rai D., De Clercq E., Pannecouque C., Balzarini J., Zhou Z., Liu H., Liu X. // Bioorg. Med. Chem. 2014. Vol. 22. N 6. P. 1863. doi 10.1016/ j.bmc.2014.01.054
- Al-Said M.S., Bashandy M.S., Al-Qasoumi S.I., Ghorab M.M. // Eur. J. Med. Chem. 2011. Vol. 46. N 1. P. 137. doi: 10.1016/j.ejmech.2010.10.024
- Abdel-Fattah M.O.A., El-Naggar M.A.M., Rashied R.M.H., Gary B.D., Piazza G.A., Abadi A.H. // Med. Chem. 2012. Vol. 8. N 3. P. 392. doi: 10.2174/1573406411208030392
- Mohareb R.M., El-Omran F.A., Ho J.Z. // Heteroatom Chem. 2001. Vol. 12. N 3. P. 168. doi: 10.1002/hc.1027
- Саргсян М.С., Авагян К.А., Саргсян А.А., Бадасян А.Э., Хачатрян А.Х., Айвазян A.Г., Балян А.А., Конькова С.Г., Айоцян С.С. // Хим. ж. Армении. 2019. Т. 72. № 3. С. 304.
- Айоцян С.С., Конькова С.Г., Асратян А.Г., Хачатрян А.Х., Бадасян А.Э., Саргсян А.А., Паносян Г.А., Саргсян М.С. // ЖОХ. 2016. Т. 86. № 10. С. 1685; Hayotsyan S.S., Kon’kova S.G., Hasratyan A.G., Khachatryan A.Kh., Badasyan A.E., Sargsyan A.A., Panosyan G.A., Sargsyan M.S. // Russ. J. Gen. Chem. 2016. Vol. 86. N 10. P. 2332. doi: 10.1134/S1070363216100145
- Авагян К.А., Саргсян М.С., Бадасян А.Э., Саргсян А.А., Манукян А.Г., Паносян Г.А., Айвазян А.Г., Хачатрян А.Х. // ЖОХ. 2023. Т. 93. № 4. С. 516. doi: 10.31857/S0044460X23040030; Avagyan K.A., Sargsyan M.S., Badasyan A.E., Sargsyan A.A., Manukyan A.G., Panosyan H.A., Ayvazyan A.G., Khachatryan A.Kh. // Russ. J. Gen. Chem. 2023. Vol. 93. N 4. P. 787. doi: 10.1134/S1070363223040035
- Дяченко В.Д., Ткачев Р.П. // ЖOрХ. 2003. Т. 39. № 6. С. 807; Dyachenko V.D., Tkachev R.P. // Russ. J. Org. Chem. 2003. Vol. 39. N 6. P. 757. doi 10.1023/ B:RUJO.0000003153.20325.22
- Krauze A., Duburs G. // Chem. Heterocycl. Compd. 1999. Vol. 35. N 4. P. 446. doi: 10.1007/bf02319332
- Дяченко А.Д., Десенко С.М., Дяченко В.Д., Литвинов В.П. // ХГС. 2000. Т. 36. № 4. С. 554; Dyachenko A.D., Desenko S.M., Dyachenkо V.D., Litvinov V.P. // Chem. Heterocycl. Compd. 2000. Vol. 36. N 4. P. 480. doi: 10.1007/BF02269551
- Фефелова С.Р., Красников Д.А., Дяченко В.Д., Дяченко А.Д. // ХГС. 2014. Т. 50. № 8. С. 1228; Fefelova S.R., Krasnikov D.A., Dyachenkо V.D., Dyachenko A.D. // Chem. Heterocycl. Compd. 2014. Vol. 50. N 8. P. 1133. doi. 10.1007/s10593-014-1573-5
- Айоцян С.С., Саргсян А.А., Конькова С.Г., Хачатрян А.Х., Бадасян А.Э., Авагян К.А., Саргсян М.С. // ЖОрХ. 2019. Т. 55. № 2. С. 321; Hayotsyan S.S., Sargsyan A.A., Kon’kova S.G., Khachatryan A.Kh., Badasyan A.E., Avagyan K.A., Sargsyan M.S. // Russ. J. Org. Chem. 2019. Vol. 55. N 2. P. 282. doi: 10.1134/S051474921902023X
- Руководство по проведению доклинических исследований лекарственных средств / Под. ред. А. Н. Миронова. М.: Гриф и К, 2012. С. 509.
- Машковский М.Д. Лекарственные средства. М.: Новая волна, 2010. С. 851.
补充文件
 
				
			 
						 
						 
						 
						 
					 
				
 
  
  
  电邮这篇文章
			电邮这篇文章 




