New Polyfunctional N-Terpenyl-4-aminobenzenesulfonamides
- Authors: Grebyonkina O.N.1, Petrova P.A.1, Gribkov P.V.1, Rumyantsev R.V.2, Lezina O.M.1, Sudarikov D.V.1, Rubtsova S.A.1
-
Affiliations:
- Institute of Chemistry, Federal Research Center “Komi Scientific Center of the Ural Branch of the Russian Academy of Sciences”
- G. A. Razuvaev Institute of Organometallic Chemistry of the Russian Academy of Sciences
- Issue: Vol 94, No 3 (2024)
- Pages: 395-409
- Section: Articles
- URL: https://journals.rcsi.science/0044-460X/article/view/261508
- DOI: https://doi.org/10.31857/S0044460X24030104
- EDN: https://elibrary.ru/FYSEJB
- ID: 261508
Cite item
Full Text
Abstract
By the reaction of polyfunctional pinane and bornane amines, including fluorine-containing ones, with N-acetylsulfanyl chloride and subsequent removal of the terminal acyl group with thionyl chloride, new optically active sulfonamides were obtained in yields of 38–98%. Data from X-ray diffraction analysis of fluorine-containing sulfonamide with bornane structure are presented. It was shown that the resulting compounds exhibit weak antimicrobial activity.
Full Text
ВВЕДЕНИЕ
Сульфаниламиды являются первыми эффективными антимикробными средствами, внедренными в область фармакологии. 4-Аминобензолсульфонамид, как структурная единица, содержится также в известных лекарственных препаратах, которые используются в качестве диуретического, гипотензивного и сосудорасширяющего средства (фуросемид), противовирусного ингибитора протеазы ВИЧ (ампренавир), противоопухолевого средства и при болезни Альцгеймера [1].
Необходимость поиска новых сульфаниламидных производных вызвана приобретаемой микроорганизмами резистентностью к известным препаратам. Последние исследования [1, 2] по синтезу и биологической активности сульфонамидов на основе сульфаниловой кислоты (п-аминобензолсульфокислоты) посвящены, в основном, арил- и гетерилсульфонамидам, содержащим различные функциональные группы. Работ по сульфонамидам на основе терпеноидов крайне мало. При этом использование доступного растительного сырья для синтеза новых биоактивных веществ является перспективным, так как терпены обладают природной хиральностью и биологической активностью [3].
Известны сульфонамиды, полученные на основе (1S)-(+)-камфора-10-сульфохлорида с фрагментами гетероциклических аминов [4, 5], которые показали ингибирующую активность в отношении вирусов Эбола и Марбург. В работах [6, 7] синтезированы сульфонамиды реакцией цис-миртанилсульфохлорида с алкил-, арил- и гетероциклическими аминами. Было показано [8], что энантиомеры цис-миртанилсульфонамида с пиперазиновым и хлорбифенильным фрагментами, являющиеся липофильными биоизостерами активного вещества ABT737, связывают белки Bcl-2 (B-cell lymphoma 2), блокирующие апоптоз в опухолевых клетках. Работ по синтезу терпеновых сульфонамидов с фрагментом сульфаниловой кислоты в литературе не найдено.
Около 30% всех современных фармацевтических препаратов содержат атомы фтора [9], поскольку функционализация соединений фторсодержащими группами приводит к увеличению липофильности, мембранной проницаемости, а также повышению устойчивости к биодеградации относительно их нефторированных аналогов [10]. Фторирование соединений может изменить способ взаимодействия субстрат–рецептор по сравнению с углеводородными аналогами [11, 12] и, как следствие, их биологическую активность.
Целью данной работы является синтез оптически активных полифункциональных сульфонамидов взаимодействием пинановых и борнанового аминов, в том числе фторированных, с N-ацетилсульфанилилхлоридом, который является основой лекарственных сульфаниламидов, и оценка их противомикробной активности.
РЕЗУЛЬТАТЫ И ОБСУЖДЕНИЕ
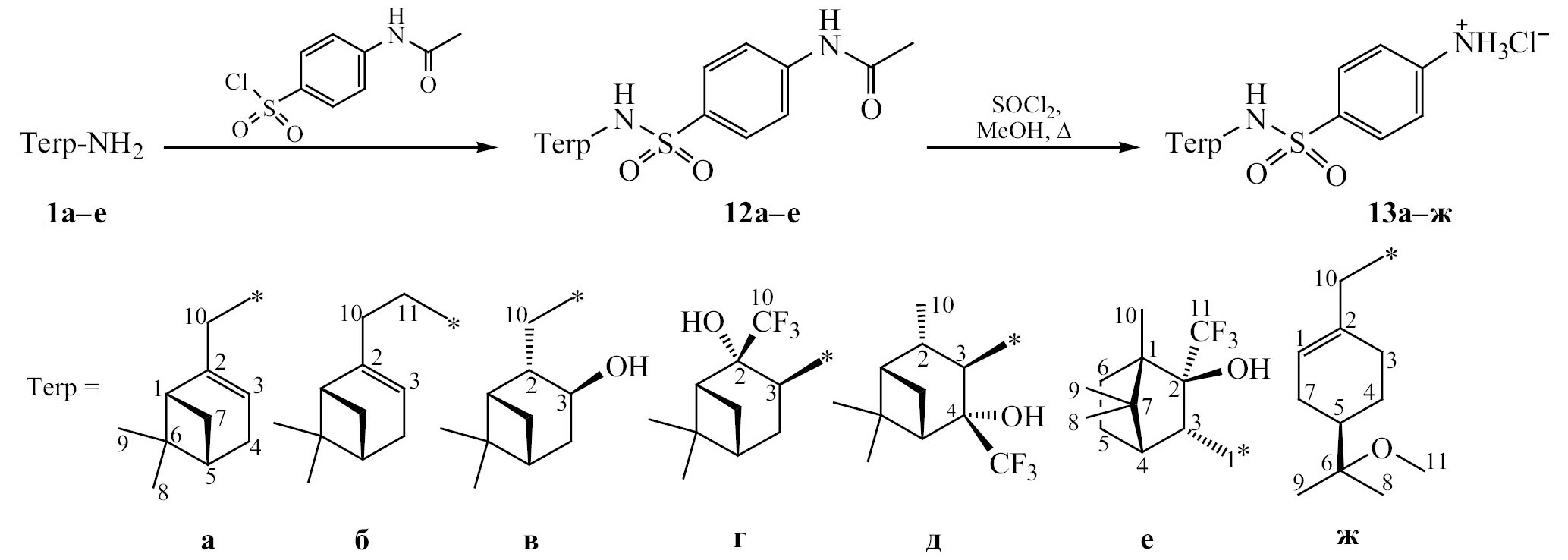
В качестве исходных субстратов использовали амины 1а–е (схема 1). Соединения 1a, 1б описаны в работах [13, 14] соответственно, но в настоящей работе представлены новые методы их синтеза. Амин 1в в литературе ранее не был описан, синтез его приводится впервые. Субстраты 1г–е получали согласно методикам, описанным нами ранее [15].
Схема 1.
Для получения (–)-миртениламина 1a (схема 2) на первой стадии реакцией (–)-β-пинена 2 с N-бромсукцинимидом (NBS) и ди-трет-бутилпероксидом (DTBP) в CCl4 по известной методике [16] синтезировали миртенилбромид 3. Далее по методу Габриэля из миртенилбромида 3 под действием фталимида калия при 90°C в диметилформамиде (ДМФА) получали N-миртенилфталимид 4, из которого реакцией с гидразингидратом в этаноле образуется миртениламин 1a. Гидрохлорид миртениламина 5 осаждали пропусканием газообразного HCl над раствором миртениламина 1a в абсолютном диэтиловом эфире.
Схема 2.
Для получения нопиламина 1б из (–)-β-пинена 2 по методике [17] синтезировали нопол 6 (схема 2), далее по методике [18] переводили его в нопилбромид 7. Следующие стадии – образование N-нопилфталимида 8 и нопиламина 1б в виде гидрохлорида 9 – проводили аналогично синтезу миртениламина 1а. Получение N-нопилфталимида 8 из нопилбромида 7 проводилось впервые.
транс-3-Гидрокси-цис-миртаниламин 1в получали из миртенилбромида 3 согласно схеме 2. Миртенилбромид 3 путем гидроборирования-окисления по методике [16] превращали в 10-бромоизопинокамфеол 10. Азид 11 синтезировали из 10-бромизопинокамфеола 10 и азида натрия в ДМФА при 90°C в течение 10 ч. Далее из азида 11 под действием гидразингидрата в присутствии Ni Ренея в течение 4 ч получали целевой амин 1в.
Спектр ЯМР ¹H аминоспирта 1в содержит уширенный синглет, характерный для OH- и NH²-групп в области 2.12 м. д., мультиплет метиленовых протонов C¹⁰ H², связанных с аминогруппой в области 2.69–2.85 м. д., дублет триплетов метинового протона С3H при гидроксильной группе при 4.25 м. д. В спектре ЯМР ¹³C сигналы C¹⁰ и C³ находятся при 47.4, 69.5 м. д. соответственно.
Схема 3.
Реакцией терпеновых аминов 1a–е с N-ацетилсульфанилилхлоридом синтезированы сульфонамиды 12a–е (схема 3). Сульфонамиды 12а–в получали в PriOH при охлаждении до 0°C, время синтеза составляло 2 ч в присутствии триэтиламина, выходы составили 74–98%. В данных условиях реакции СF3-аминов 1г–е с N-ацетилсульфанилилхлоридом протекали менее селективно, поэтому условия синтеза были оптимизированы: реакции проводили в атмосфере аргона в сухом пиридине в присутствии катализатора диметиламинопиридина (DMAP) в течение суток. Выходы СF3-сульфонамидов 12г–е составили 38–45%.
Реакцией сульфонамидов 12а–е с тионилхлоридом в метаноле получены сульфонамиды 13a–ж, содержащие фрагмент 4-аминобензолсульфонамида, с выходами 85–87%.
В реакции сульфонамида 12a с SOCl2 в метаноле наряду с соответствующим сульфонамидом 13а выделен и идентифицирован побочный продукт n-ментановой структуры 13ж (схемы 3, 4). Вероятно, протон, высвобождающийся при взаимодействии SOCl2 с метанолом, присоединяется по двойной связи соединения 13а с образованием интермедиатов А, Б. Последний, вступая в реакцию с МеОН, превращается в соединение 13ж (схема 4). Известно, что пинены в присутствии кислотных катализаторов претерпевают раскрытие цикла с образованием промежуточного карбкатиона А с n-ментановым остовом [19].
Структура и состав сульфонамидов 12a–е, 13a–ж доказаны методами ЯМР, ИК спектроскопии и подтверждены элементным анализом. В спектрах ЯМР соединений 12, 13 наблюдаются сигналы, соответствующие терпеновому и арильному фрагментам. Сигналы атомов углерода в спектре ЯМР ¹³C, связанных с SO2-группой сульфонамидов 12, 13 сдвигаются в сильное поле относительно аналогичных сигналов атомов углерода сульфохлорида. Так, значение δС атома углерода, связанного с SO2Cl-группой, у исходного сульфохлорида, равное 142 м. д., снижается до δС ~137 м. д. у соединений 12а–е, 13d–е и до δС ~128 м. д. – у соединений 13а–в, ж. В спектрах ЯМР ¹³C сульфонамидов 13 отсутствуют сигналы ацетильной группы.
В спектре ЯМР ¹³C сульфонамида 13ж появляются дополнительные сигналы метоксигруппы (δС 48.9 м. д.) и метиленовой группы С3 (δС 28.2 м. д.), а сигнал четвертичного атома C⁶ смещается в область слабого поля (δС 78.3 м. д.) относительно исходного сигнала атома C⁶ в спектре сульфонамида 13а (δС 39.1 м. д.). В спектре 1H ЯМР присутствует синглет метоксигруппы (δН 3.18 м. д.). В спектре НМВС сульфонамида 13j наблюдаются кросс-пики атомов Н11, H⁸, Н9 с атомом C⁶ (схема 4).
Схема 4.
В ИК спектрах соединений 12, 13 наблюдается сдвиг характерных полос поглощения группы SO2, соответствующих валентным симметричным и асимметричным колебаниям, в низкочастотную область относительно аналогичных полос сульфохлоридов. Так, в спектре сульфохлорида полосы поглощения группы SO2 имеют значения 1377 и 1168 см⁻¹, у сульфонамидов 12 смещаются до 1315–1321 и 1155–1159 см⁻¹, у сульфонамидов 13 – 1298–1310 и 1145–1155 см⁻¹ соответственно. В ИК спектрах сульфонамидов 12 присутствует полоса поглощения, соответствующая группе C=H, в области ⁓1680–1707 см⁻¹, которая исчезает в спектрах соединений 13.
Рис. 1. Структура независимой молекулы А соединения 12е по данным РСА (a) и наложение двух независимых молекул A (сплошная линия) и B (пунктирная линия) (б). Приведены эллипсоиды 20%-ной вероятности. Атомы водорода за исключением H¹, H² и H³ не показаны.
Таблица 1. Кристаллографические данные и параметры РСА для соединения 12е.
Параметр | Значение |
Брутто-формула | C19H25F3N2O4S·0.5H2O |
Молекулярная масса | 443.48 |
Т, K | 100(2) |
Кристаллическая система | Моноклинная |
Пространственная группа | P21 |
a, Å | 11.2876(9) |
b, Å | 12.8324(10) |
c, Å | 15.2299(12) |
β, град | 107.000(2) |
V, Å3 | 2109.6(3) |
Z | 4 |
d, г/см3 | 1.396 |
μ, мм–1 | 0.210 |
F(000) | 932 |
Размер кристалла, мм | 0.30×0.24×0.12 |
Область измерений, град | 1.993–25.026 |
Индексы областей h, k, l | –13 ≤ h ≤ 13, –15 ≤ k ≤ 15, –18 ≤ l ≤ 18 |
Число измеренных отражений | 26080 |
Число независимых отражений (Rint) | 7454 (0.0562) |
S (F2) | 1.043 |
R1/wR2 [I > 2σ(I)] | 0.0459/0.1015 |
R1/wR2 (по всем параметрам) | 0.0612/0.1065 |
Параметр абсолютной структуры (Flack) | 0.02(5) |
Остаточная электронная плотность, eÅ3, ρmax/ρmin | 0.350/–0.272 |
Структура и конфигурация соединения 12е подтверждена методом РСА (рис. 1, табл. 1). По данным рентгеноструктурного анализа, в кристалле присутствуют две симметрически независимые молекулы 12е (A и B). Основные геометрические характеристики в молекулах A и B находятся в хорошем соответствии между собой (табл. 2).
Таблица 2. Избранные длины связей и углы в соединении 12е.
Связь | Длина связи, Å | |
молекула A | молекула B | |
S1–O1 | 1.435(4) | 1.442(3) |
S1–O2 | 1.432(3) | 1.430(4) |
S1–N2 | 1.592(4) | 1.610(4) |
S1–C12 | 1.758(4) | 1.755(4) |
O3–C18 | 1.187(6) | 1.242(6) |
O4–C2 | 1.407(5) | 1.390(6) |
N1–C15 | 1.411(5) | 1.400(5) |
N1–C18 | 1.350(6) | 1.307(6) |
N2–C3 | 1.476(6) | 1.480(5) |
Угол | ω, град | |
молекула A | молекула B | |
O1S1O2 | 119.1(2) | 119.1(2) |
O1S1N2 | 105.6(2) | 104.8(2) |
O1S1C12 | 108.14(19) | 108.93(19) |
O2S1N2 | 108.7(2) | 108.8(2) |
O2S1C12 | 107.1(2) | 106.7(2) |
N2S1C12 | 107.9(2) | 108.0(2) |
C4N1C18 | 128.8(4) | 128.8(4) |
S1N2C3 | 119.7(3) | 119.5(3) |
Рис. 2. Фрагмент кристаллической упаковки соединения 12е.
Расстояние C18=O3 [1.187(6), 1.242(6) Å] соответствует двойной С=О-связи. В целом, распределение длин связей и углов в сульфонамиде 12е хорошо согласуется с ранее опубликованными данными по родственным соединениям [20, 21]. Основное различие между молекулами A и B заключается в положении заместителей [H и CH3C(O)-группы] при атоме азота N1 (рис. 1б). Кроме того, различается угол разворота CH3C(O)-группы относительно плоскости ароматического кольца. Если в молекуле A атомы CH3C(O)-группы находятся практически в одной плоскости с атомами ароматического кольца (двугранный угол между плоскостями C12–C17N1 и C19C18O3N1 составляет 6.22°), то в молекуле B атомы CH3C(O)-группы значительно отклоняются от этой плоскости (двугранный угол между соответствующими плоскостями составляет 21.37°).
В кристалле соседние молекулы 12е формируют 2D-сеть (рис. 2) за счет реализации межмолекулярных O–H…O и N–H…O взаимодействий (табл. 3).
Таблица 3. Геометрические характеристики, соответствующие взаимодействиям O–H…O и N–H…O в кристалле соединения 12еа.
D–H…A | D–H, Å | H…A, Å | D…A, Å | ∠DHA, град |
O4A–H1A…O1B_$1* | 0.95(4) | 1.89(4) | 2.806(4) | 162(4) |
N1A–H2A…O2B | 0.93(4) | 2.34(5) | 3.016(5) | 130(4) |
N2A–H3A…O3A_$2 | 0.77(4) | 2.13(4) | 2.879(6) | 166(5) |
O4B–H1B…O3B_$3 | 0.95(4) | 1.72(4) | 2.667(5) | 170(5) |
N1B–H2B…O1A_$4 | 0.93(4) | 1.94(4) | 2.852(5) | 170(4) |
N2B–H3B…O2A_$2 | 0.77(4) | 2.24(4) | 3.002(5) | 171(5) |
а Операции симметрии, используемые для генерации эквивалентных атомов в кристалле соединения 12е ($1): –x+1, y–1/2, –z+1; ($2): –x+1, y+1/2, –z+1; ($3) –x+1, y–1/2, –z+2; ($4) x, y, z+1.
Проведена оценка антимикробной активности полученных сульфонамидов 12, 13 и исходных аминов 1а, б в отношении грамположительных бактерий [S. aureus ATCC 29213 (MSSA) и клинического изолята S. aureus, устойчивого к метициллину (MRSA)], грамотрицательной бактерии P. aeruginosa ATCC 27853 и чувствительного к флуконазолу грибка C. albicans 703 (клинический изолят). В результате исследования значимых результатов выявлено не было: минимальные подавляющие концентрации (МПК) полученных соединений составляли 512–1024 мкг/мл и более, тогда как МПК референсных антимикробных препаратов (ампициллин, бензалкония хлорид) составляли 1–32 мкг/мл.
ВЫВОДЫ
Таким образом, на основе пинановых и борнанового аминов, в том числе CF3-содержащих, получены новые полифункциональные оптически активные сульфонамиды c фрагментом 4-аминобензолсульфонамида. Разработан способ получения ранее неизвестного 10-аминоизопинокамфеола на основе (–)-β-пинена. В результате тестирования полученных сульфонамидов выявлено, что они не проявляют противомикробную активность в отношении штаммов S. aureus, P. aeruginosa и C. albicans 703.
ЭКСПЕРИМЕНТАЛЬНАЯ ЧАСТЬ
ИК спектры регистрировали на ИК Фурье-спектрометре Shimadzu IR Prestige 21 в таблетках с KBr. Температуры плавления определяли на приборе Gallenkamp MPD350BM3.5 (Sanyo). Спектры ЯМР 1H и 13C регистрировали на спектрометре Bruker Avance-300 (300.17 и 75.48 МГц соответственно) в растворе CDCl3. Химические сдвиги ЯМР 1H приведены относительно остаточного сигнала CHCl3 и CHD2OD. Химические сдвиги ЯМР 13C приведены относительно сигнала растворителя (CDCl3 или CD3OD). Полное отнесение сигналов 1Н и 13С выполняли с помощью двумерных гомо- (1H–1H COSY, 1H–1H NOESY) и гетероядерных (1H–13C HSQC, 1H–13C HMBC) экспериментов. Спектры ЯМР 19F записаны на спектрометре Spinsolve 60 HF Ultra (58 МГц) в CDCl3, используя сигнал CF3COOH в качестве внешнего стандарта. Элементный анализ проводили на автоматическом анализаторе марки ЕА 1110 CHNS-O. Угол оптического вращения измеряли на автоматизированном цифровом поляриметре Optical Activity polAAr 3001. Удельное вращение выражено в (град·мл)/(г·дм), а концентрация раствора в г/100 мл. Тонкослойную хроматографию выполняли на пластинах Sorbfil (ООО «ИМИД», Россия); проявитель – раствор фосфорномолибденовой кислоты в EtOH.
Рентгеноструктурное исследование проведено на автоматическом дифрактометре Bruker D8 Quest (МоKα-излучение, λ = 0.71073 Å, ω-сканирование). Экспериментальные наборы интенсивностей были интегрированы с помощью программы SAINT [22]. Структура решена методом «dual-space» с помощью программы SHELXT [23] и уточнена полноматричным методом наименьших квадратов по F2hkl в анизотропном приближении для всех неводородных атомов с использованием программного пакета SHELXTL [24]. Водородные атомы, за исключением атомов H1, H2 и H3, помещены в геометрически рассчитанные положения и уточнены изотропно [Uiso(H) = 1.5Ueq(C) для CH3-групп, Uiso(H) = 1.2Ueq(C) для остальных групп]. В свою очередь, атомы водорода H1, H2 и H3 локализованы объективно из разностного Фурье-синтеза и уточнены в изотропном приближении [Uiso(H) = 1.2Ueq(N, O)] с использованием инструкции SADI. Учет поглощения произведен в программе SADABS [25]. Вклад сольватных молекул воды учтен с помощью процедуры SQUEEZE (Platon) [26]. В кристалле на каждые две молекулы соединения 12е приходится одна молекула воды. Кристаллографические данные и параметры рентгеноструктурного эксперимента приведены в табл. 1. Структура зарегистрирована в Кембриджском банке структурных данных (CCDC 2348565).
(−)-β-Пинен − коммерческий продукт (98.98%, [α]2D5 –22, ee = 97%, Angro-line). N-Ацетилсульфанилилхлорид – коммерческий продукт производства «Sigma Aldrich», чистота 98%.
Нумерация атомов соединения 4, 11 в спектрах ЯМР приведена на схеме 1, соединений 1в, 12а–е, 13a–ж – на схеме 3. Нумерация атомов соединения 13ж для удобства интерпретации сохранена относительно исходного амина 1а.
Миртенилбромид 3 получали из (–)-β-пинена 2 с выходом 59% согласно методике [16].
2-({(1R,5S)-6,6-Диметилбицикло[3.1.1]гепт-2-ен-2-ил}метил)изоиндолин-1,3-дион (4). Миртенилбромид 3 (4.861 г, 22.6 ммоль, 1 экв.) растворяли в ДМФА (15 мл), затем добавляли фталимид калия (5.022 г, 27.1 ммоль, 1.2 экв.). Суспензию перемешивали на водяной бане при 90°C 6 ч до исчезновения миртенилбромида по ТСХ. Затем ДМФА отгоняли (10 мбар, 55°С), к смеси добавляли воду (30 мл) и экстрагировали Et2O (3×30 мл), объединенные органические слои промывали насыщенным раствором NaCl (2×30 мл), сушили над Na2SO4. После отгонки растворителя при пониженном давлении остаток разделяли методом колоночной хроматографии на силикагеле (элюент – петролейный эфир, затем петролейный эфир–Et2O, 10:1). Выход 84%, белый порошок, т. пл. 97°C, [α]2D5 −38.9 (с = 1.0, CHCl3), Rf 0.23 (петролейный эфир–EtOAc, 10:1). ИК спектр, ν, см–1: 1715 (C=O). Спектр ЯМР 1H (CDCl3), δ, м. д. (J, Гц): 0.77 c (3H, С8H3), 1.17 д (1H, С7Hα), 1.24 с (3H, С9H3), 2.03–2.39 м (5H, С5H, C1H, C4Hα, C4Hβ, C7Hβ), 4.13–4.25 м (2H, С10Hα, C10Hβ), 5.42–5.46 м (1H, С3H), 7.69–7.74 м (2H, С4′H, C5′H), 7.82–7.88 м (2H, С3′H, C6′H). Спектр ЯМР 13C (CDCl3), δC, м. д.: 20.9 (C8), 26.1 (C9), 31.1 (C7), 31.4 (C4), 38.1 (C6), 40.7 (C5), 42.4 (C10), 44.0 (C1), 119.8 (C3), 123.2 (C3′,6′), 132.1 (C2′,7′), 133.8 (C4′,5′), 142.2 (C2), 168.1 (C1′,8′). Найдено, %: С 76.79; Н 6.87; N 5.02. C18H19NO2. Вычислено, %: С 76.84; Н 6.81; N 4.98.
Синтез миртениламина 1a. N-Миртенилфталимид 4 (5.212 г, 18.5 ммоль) растворяли в EtOH (100 мл), затем добавляли гидразингидрат (1.8 мл, 37 ммоль). Смесь кипятили 2 ч, охлаждали до комнатной температуры. Выпавший осадок отфильтровывали и промывали 10–15 мл Et2O. Растворители отгоняли (не ниже 100 мбар, миртениламин летучий), к остатку добавляли воду (40 мл), экстрагировали Et2O (2×30 мл), объединенные эфирные слои промывали насыщенным раствором NaCl (2×30 мл), сушили Na2SO4. К полученному неочищенному амину в абс. Et2O при перемешивании и охлаждении на ледяной бане над поверхностью растворителя подавали сухой HCl. Подачу газа прекращали, когда суспензия начинала желтеть. Эфир и избыток HCl отгоняли при пониженном давлении, затем к осадку прибавляли гексан (40 мл). Полученный гидрохлорид отфильтровывали и промывали гексаном (40 мл). Выход 87%. Чистый миртениламин 1a получали щелочной экстракцией Et2O гидрохлорида 5. Спектральные данные соответствуют литературным [13].
Нопол 6 получали из (–)-β-пинена 2 по методике [17] с выходом 57%.
Нопилбромид 7 синтезировали из нопола 6 в соответствии с работой [18] с выходом 87%.
Синтез N-нопилфталимида 8 из нопилбромида 7 проводили аналогично синтезу миртенилфталимида 4. Выход 81%. Спектральные данные соответствуют литературным [14, 18].
Нопиламин 1б получали из нопилфталимида 8 в соответствии с методикой [27] с выходом 96%. Очищали через гидрохлорид 9, как описано выше для миртениламина 1a. Спектральные данные соответствуют литературным [14].
10-Бромоизопинокамфеол 10 синтезировали по методике [16] с выходом 69%.
(1S,2R,3S,5R)-2-(Азидометил)-6,6-диметилбицикло[3.1.1]гептан-3-ол (11). 10-Бромоизопинокамфеол 10 (1 ммоль, 0.233 г) нагревали на водяной бане с азидом натрия (5 ммоль, 0.325 г) при 90°С в течение 10 ч в ДМФА (3 мл). После окончания реакции (контроль по ТСХ) к реакционной смеси добавляли воду (10 мл) и экстрагировали Et2O (3∙15 мл). Объединенные органические слои промывали насыщенным раствором NaCl, сушили Na2SO4. Растворитель отгоняли при пониженном давлении. Азид 11 выделяли методом колоночной хроматографии на силикагеле (элюент – петролейный эфир–Et2O, 7:1). Выход 95%, бесцветная масляная жидкость, [α]2D5 −0.1 (с = 1, CHCl3), Rf 0.32 (петролейный эфир–EtOAc, 5:1). ИК спектр, ν, см–1: 3381 (OH), 2100, 1277 (–N=N+=N–). Спектр ЯМР 1H (CDCl3), δ, м. д. (J, Гц): 0.89 c (3H, С8H3), 1.12 д (1H, С7Hα, J 10.0), 1.22 с (3H, С9H3), 1.76 д. д. д (1H, С4Hα, J 13.8, 4.4, 2.4), 1.91–2.01 м (2H, С5H, C1H), 2.08–2.16 м (2H, С2H, OH), 2.39–2.58 м (2H, С7Hβ, C4Hβ), 3.33–3.50 м (2H, С10Hα, C10Hβ), 4.18 д. т (1H, С3H, J 9.5, 4.9). Спектр ЯМР 13C (CDCl3), δC, м. д.: 23.7 (C8), 27.2 (C9), 33.6 (C7), 37.9 (C4), 38.0 (C6), 41.6 (C5), 43.8 (C1), 52.6 (C2), 55.9 (C10), 67.8 (C3). Найдено, %: С 61.46; Н 8.82; N 21.55. C10H17N3O. Вычислено, %: С 61.51; Н 8.78; N 21.52.
(1S,2R,3S,5R)-2-Аминометил-6,6-диметилбицикло[3.1.1]гептан-3-ол (1в). Азид 11 (1 ммоль, 0.195 г) растворяли в МеОН (5 мл), затем добавляли суспензию Ni Ренея в воде (60 мг) и гидразингидрат (10 ммоль, 0.487 мл). Реакционную смесь перемешивали при комнатной температуре 4 ч (ТСХ). Катализатор отфильтровывали и промывали метанолом (2–3 мл). Растворитель отгоняли при пониженном давлении, к остатку добавляли воду (20 мл) и экстрагировали Et2O (3×15 мл), сушили Na2SO4. Выход 89%, желтоватая масляная жидкость, [α]2D5 +2.3 (с = 1, CHCl3). ИК спектр (KBr), ν, см–1: 3381 (OH). Спектр ЯМР 1H (CDCl3), δ, м. д. (J, Гц): 0.88 с (3H, С8H3), 1.07 д (1H, С7Hα, J 9.4), 1.20 с (3H, С9H3), 1.73 д. д. д (1H, С4Hα, J 13.9, 5.4, 2.4), 1.81–1.99 м (3H, С5H, C1H, C2H), 2.12 уш. с (3H, OH, NH2), 2.36–2.54 м (2H, С7Hβ, C4Hβ), 2.69–2.85 м (2H, С10Hα), 4.25 д. т (1H, С3H, J 9.4, 5.4). Спектр ЯМР 13C (CDCl3), δC, м. д.: 23.8 (C8), 27.7 (C9), 34.7 (C7), 37.5 (C4), 38.2 (C6), 41.9 (C5), 44.5 (C1), 47.4 (C10), 56.1 (C2), 69.5 (C3). Найдено, %: С 70.88; Н 11.38; N 8.33. C10H19NO. Вычислено, %: С 70.96; Н 11.31; N 8.28.
Трифторметилированные аминоспирты 1г–е получены по описанной нами ранее методике [15].
Общая методика получения сульфонамидов 12а–в. В 5 мл i-PrOH при охлаждении до 0°С растворяли 1 ммоль амина 1a–в, добавляли 1.2 ммоль Et3N, затем 1.1 ммоль N-ацетилсульфанилилхлорида. Перемешивали в течение 3 ч до полного растворения N-ацетилсульфанилилхлорида. Растворитель отгоняли в вакууме. Из сухого остатка методом колоночной хроматографии выделяли сульфонамиды 12а–в (SiO2; бензол : СН3CN, 2:1).
Общая методика получения сульфонамидов 12г–е. В атмосфере аргона к смеси 0.57 ммоль соответствующего амина 1г–е в 5 мл безводного пиридина при охлаждении на ледяной бане при перемешивании добавляли диметиламинопиридин (0.011 ммоль, 2 мг), затем N-ацетилсульфанилилхлорид (0.86 ммоль, 0.199 г). Реакционную смесь перемешивали при комнатной температуре в течение суток. Реакцию контролировали методом ТСХ (элюент – Et2O–хлороформ, 1:1). Растворитель отгоняли в вакууме, к остатку приливали 30 мл H2O, экстрагировали Et2O (3×15мл), органический слой промывали насыщенным раствором NaCl и сушили Na2SO4. Растворитель отгоняли при пониженном давлении. Продукты реакции выделяли методом колоночной хроматографии на силикагеле (элюент – Et2O–хлороформ, 1:2).
N-{4-[N-({(1R,5S)-6,6-Диметилбицикло[3.1.1]гепт-2-ен-2-ил}метил)сульфамоил]фенил}ацетамид (12а). Выход 85%, белый порошок, т. пл. 145–147°С, [α]2D5 –25.1 (с = 0.4, МеОН). ИК спектр, ν, см–1: 3336 ср (NH), 3261 ср (NH), 2920 cр, 1707 ср (С=O), 1683 ср (С=С), 1593 с, 1530 с, 1315 с (SO2), 1157 с (SO2), 729, 615. Спектр ЯМР 1H (МеОD-d4), δ, м. д. (J, Гц): 0.78 с (3H, C8H3), 1.01 д (1H, С7Hα, J 8.6), 1.25 с (3H, С9H3), 1.99–2.07 м (2H, С5H, C1H), 2.15 с (3H, СAcH3), 2.16–2.21 м (2H, С4H), 2.33 д.т (1H, С7Hβ, J1 8.6, 5.6), 3.35–3.39 м (2Н, C10H), 4.88 с (2Н, NH), 5.31–5.37 м (1H, С3H), 7.71–7.79 м (4H, СArН). Спектр ЯМР 13С (МеОD-d4), δС, м. д.: 21.5 (C8), 24.2 (C18), 26.7 (C9), 32.2, 32.4 (C7, C4), 39.1 (C6), 42.1 (C5), 45.2 (C1), 49.0 (С10), 120.5, 120.6 (C3, 2СAr), 129.2 (2СAr), 136.7 (СArS), 144.0 (СArN), 145.3 (C2), 170.6 (CAc). Найдено, %: C 62.09; H 6.92; N 8.07; S 9.15. C18H24N2O3S. Вычислено, %: C 62.04; H 6.94; N 8.04; S 9.20.
N-{4-[N-(2-{(1R,5S)-6,6-Диметилбицикло[3.1.1]гепт-2-ен-2-ил}метил)сульфамоил]фенил}ацетамид (12б). Выход 98%, белый порошок, т. пл. 124–126°С, [α]2D6 –17.7 (с = 0.2, МеОН). ИК спектр, ν, см–1: 3335 ср (NH), 3236 ср (NH), 2917 cр, 1682 с (С=O), 1595 с, 1531 с, 1400, 1369, 1315 с (SO2), 1261, 1155 с (SO2), 1095, 617. Спектр ЯМР 1Н (МеОD-d4), δ, м. д. (J, Гц): 0.79 с (3H, C8H3), 1.10 д (1H, C7Hα, J 8.5), 1.25 с (3H, C9H3), 1.93 т (1H, C1H, J 5.5), 2.00–2.11 м (3Н, C5H, C10H), 2.16 с (3H, CAcH3), 2.17–2.23 м (2H, C4H), 2.35 д. т (1H, C7Hβ, J 8.5, 5.6), 2.83 т (2H, C7H, J 7.6), 4.87 с (2Н, NH), 5.17–5.23 м (1H, C3H), 7.33 с (4H, СArН). Спектр ЯМР 13С (МеОD-d4), δС, м.д.: 21.7 (C8), 24.2 (CAc), 26.8 (C9), 32.4, 32.6 (C4), (C7), 38.0 (С10), 39.1 (C6), 42.2 (C5), 42.6 (C11), 47.1 (C1), 119.4 (C3), 120.7 (2СAr), 129.2 (2СAr), 136.4, 144.1 (СArS, СArN), 146.4 (C2), 172.1 (CAc). Найдено, %: C 62.90; H 7.26; N 7.77; S 8.78. C19H26N2O3S. Вычислено, %: C 62.96; H 7.23; N 7.73; S 8.84.
N-{4-[N-({(1S,2R,3S,5R)-3-Гидрокси-6,6-диметилбицикло[3.1.1]гептан-2- ил}метил)сульфамоил]фенил}ацетамид (12в). Выход 74%, белый порошок, т. пл. 219–222°С, [α]2D7 13.2 (с = 0.2, МеОН). ИК спектр, ν, см–1: 3502 ср (ОН), 3473 ср (NН), 3280 (NH), 2918 cр, 1701 с (С=O), 1593 с, 1533 с, 1402, 1369, 1315 с (SO2), 1263, 1159 с (SO2), 1093 (C–О), 617. Спектр ЯМР 1Н (МеОD-d4), δ, м. д. (J, Гц): 0.80 с (3H, C8H3), 1.03 д (1H, C7Hα, J 9.8), 1.15 с (3H, C9H3), 1.63–1.76 м (2H, C4Hα), 1.83–2.06 м (3H, C1H, C2H, С5H), 2.16 с (3H, C18H3), 2.30–2.52 м (2Н, C4Hβ, С7Hβ), 2.78–2.89 м (1Н, C10Hα), 3.02 д. д (1Н, C10Hβ, J1 12.1, 5.9), 3.91 д. д. д (1 H, C3H, J 9.4, 4.9, 4.8), 2.83 т (2H, C11H, J 7.6), 4.89 с (2Н, NH), 7.77 м (4H, СArН). Спектр ЯМР 13С (МеОD-d4), δС, м. д.: 24.0, 24.2 (C8, C19), 27.9 (C9), 34.3 (C7), 39.3 (C6), 39.5 (C4), 43.2, 43.9 (C1, C5), 47.8 (С10), 53.7 (C2), 68.0 (C3), 120.7 (2СAr), 129.3 (2СAr), 136.3, 144.1 (СArN, СArS), 172.1 (CAc). Найдено, %: C 59.03; H 7.16; N, 7.69; S 8.68. C18H26N2O4S. Вычислено, %: C 58.99; H 7.15; N, 7.64; S 8.75.
N-[4-(N-{(1R,2S,3S,5R)-2-Гидрокси-6,6-диметил-2-(трифторметил)бицикло[3.1.1]гептан-3-ил}сульфамоил)фенил]ацетамид (12г). Выход 40%, бежевый порошок, т. разл. 218°С, [α]2D5 –64.2 (c = 0.69, MeOH). ИК спектр, ν, см–1: 3525 (NHC=O), 3393 (OH), 3287 (NHSO2), 1691 (CONH), 1320, 1155 (SO2). Спектр ЯМР 1H (CDCl3+CD3OD), δ, м. д. (J, Гц): 0.95 c (3H, C8H3), 1.20 c (3H, C9H3), 1.26 д (1H, C7Hα, J 11.0), 1.37 д. д (1H, C4Hα, J 12.8, 8.7), 1.75–1.92 м (2H, C5H, C4Hβ), 2.09 c (3H, CAcH3), 1.75–1.92 м (2H, C1H, C7Hβ), 3.95 т (1H, C3H, J 9.1), 7.63–7.73 м (4H, CArH). Спектр ЯМР 13C (CDCl3+CD3OD), δC, м. д.: 22.7 (C8), 23.7 (CAc), 27.2 (C7), 27.8 (C9), 34.5 (С4), 38.8 (C6), 39.6 (C5), 48.1 (C1), 54.3 (С3), 80.6 к (C2, JF 24.3), 119.2 (2СAr), 125.3 к (C10, JF 280.9), 127.7 (2СAr), 134.5 (CArS), 142.6 (CArN), 170.1 (CAc). Спектр ЯМР 19F (CD3OD), δF, м. д.: ‒71.0 (CF3). Найдено, %: C 51.48; H 5.50; N 6.69; S 7.60. C18H23F3N2O4S. Вычислено, %: C 51.42; H 5.51; N 6.66; S 7.63.
N-[4-(N-{(1S,2R,3R,4S,5S)-2-Гидрокси-4,6,6-триметил-2-(трифторметил)бицикло[3.1.1]гептан-3-ил}сульфамоил)фенил]ацетамид (12д). Выход 38%, бежевый порошок, т. разл. 235°С, [α]2D6 ‒78.2 (c = 1.0, MeOH). ИК спектр, ν, см–1: 3503 (NHC=O), 3401 (OH), 3282 (NHSO2), 1680 (CONH), 1321, 1157 (SO2). Спектр ЯМР 1H (CD3OD), δ, м. д. (J, Гц): 0.52 д (3H, C10H3, J 6.9), 1.17 c (3H, C8H3), 1.33 c (3H, C9H3), 1.35 д (1H, C7Hα, J 10.0), 1.75–1.86 м (2H, C5H, C2H), 2.17 c (3H, CAcH3), 2.23 т (1H, C1H, J 5.5), 2.33–2.40 м (1H, C7Hβ), 3.84 т (1H, C3H, J 9.4), 7.77–7.87 м (4H, CArH). Спектр ЯМР 13C (CD3OD), δC, м. д.: 19.0 (C10), 24.2 (CAc), 24.8 (C8), 29.5 (C7), 29.8 (C9), 40.9 (C6), 42.9 (С2), 48.5 (C5), 50.6 (C1), 63.3 (С3), 82.1 к (C4, JF 23.2), 120.5 (2СAr), 127.5 к (C10, JF 290.7), 129.4 (2СAr), 136.8 (CArS), 144.3 (CArN), 172.1 (CAc). Спектр ЯМР 19F (CD3OD), δF, м. д.: ‒71.3 (CF3). Найдено, %: C 52.48; H 5.75; N 6.40; S 7.34. C19H25F3N2O4S. Вычислено, %: C 52.53; H 5.80; N 6.45; S 7.38.
N-[4-(N-{(1R,2R,3R,4S)-3-Гидрокси-4,7,7-триметил-3-(трифторметил)бицикло[2.2.1]гептан-2-ил}сульфамоил)фенил]ацетамид (12е). Выход 45%, желтоватые кристаллы, т. разл. 242°С, [α]2D6 24.6 (c = 0.7, MeOH). ИК спектр, ν, см–1: 3534 (NHC=O), 3329 (OH), 3306 (NHSO2), 1690 (CONH), 1317, 1155 (SO2). Спектр ЯМР 1H (CD3OD), δ, м. д. (J, Гц): 0.84 с (3H, C8H3), 0.97 c (3H, C10H3), 1.14 c (3H, C9H3), 1.14–1.20 м (1H, C4H), 1.46–1.73 м (4H, C5Hα, C5Hβ, C6Hα, C6Hβ), 2.21 c (3H, CAcH3), 4.03 д (1H, C3H, J 3.0), 7.78–7.88 м (4H, CArH). Спектр ЯМР 13C (CD3OD), δC, м. д.: 11.6 (C10), 19.7 (C5), 20.5 (C8), 21.1 (C9), 24.2 (CAc), 29.8 (C6), 43.5 (С7), 50.2 (C4), 53.9 (C1), 65.1 (С3), 83.6 к (C2, JF 24.3), 120.5 (2СAr), 127.5 к (C10, JF 288.6), 129.2 (2СAr), 137.4 (CArS), 144.2 (CArN), 172.1 (CAc). Спектр ЯМР 19F (CD3OD), δF, м. д.: ‒68.2 (CF3). Найдено, %: C 52.59; H 5.81; N 6.48; S 7.31. C19H25F3N2O4S. Вычислено, %: C 52.53; H 5.80; N 6.45; S 7.38.
Общая методика деацетилирования ацетамидов 13а–е основана на методике, описанной в работе [28]. В атмосфере аргона к смеси 0.34 ммоль соответствующего ацетамида 4–6 в 2.5 мл метанола при перемешивании добавляли 0.17 ммоль SOCl2, предварительно растворенного в 1 мл МеОН. Реакционную смесь перемешивали при кипячении в течение 6 ч, за ходом реакции следили методом ТСХ (элюент – хлороформ–EtOAc, 1:1). Растворитель отгоняли при пониженном давлении. Полученные гидрохлориды промывали смесью гексан–Et2O (1:1).
4-Амино-N-[{(1R,5S)-6,6-диметилбицикло[3.1.1]гепт-2-ен-2-ил}метил)сульфамоил]бензоламмония хлорид (13а). Выход 85%, порошок кремового цвета, т. пл. 126–129°С, [α]2D6 –24.5 (с = 0.2, МеОН). ИК спектр, ν, см–1: 3340 уш. с (NH), 3261 ср (NH), 2914 c, 1629 с, 1595 с (С=С), 1500, 1436, 1303 с (SO2), 1145 с (SO2), 833, 682. Спектр ЯМР 1Н (МеОD-d4), δ, м. д. (J, Гц): 0.76 с (3H, C8H3), 1.03 д (1H, C7Hα, J 8.7), 1.22 с (3H, C9H3), 1.96–2.03 м (2H, C5H, C1H), 2.12–2.20 м (2H, C4H), 2.31 д. т (1H, C7Hβ, J 8.6, 5.6), 3.26 д (2Н, C10H, J 8.7), 4.80 с (3Н, NH), 5.28–5.34 м (1H, C3H), 6.65 д (2H, СArН, J 8.5), 7.47 д (2H, СArН, J 8.5). Спектр ЯМР 13С (МеОD-d4), δС, м. д.: 21.5 (C8), 26.7 (C9), 32.2, 32.4 (C7, C4), 39.1 (C6), 42.4 (C5), 45.3 (C1), 49.0 (С10), 114.6 (2СAr), 120.3 (C3), 128.0 (СArS), 130.1 (2СAr), 145.5 (C2), 154.1 (СArN). Найдено, %: C 62.45; H 7.53; N 9.16; S 10.38. C16H22N2O2S·HCl. Вычислено, %: C 62.51; H 7.54; N 9.11; S 10.43.
4-[N-(2-{(1R,5S)-6,6-Диметилбицикло[3.1.1]гепт-2-ен-2-ил}этил)сульфамоил]бензоламмония хлорид (13б). Выход 86%, белый порошок, т. пл. 92–95°С, [α]2D6 –24.2 (с = 0.2, МеОН). ИК спектр, ν, см–1: 3475 ср (NH), 3379 ср (NH), 2916 cр, 1630 с (С=С), 1595 с (С=С), 1500, 1437, 1303 с (SO2), 1145 с (SO2), 1092, 831, 682, 551. Спектр ЯМР 1Н (МеОD-d4), δ, м. д. (J, Гц): 0.75 с (3H, C8H3), 1.06 д (1H, C7Hα, J 8.5), 1.22 с (3H, C9H3), 1.89 т (1H, C1H, J 5.4), 2.00–2.03 м (3Н, C5H, C10H), 2.13–2.20 м (2H, C4H), 2.31 д. т (1H, C7Hβ, J 8.4, 5.6), 2.75 т (2H, C11H, J 7.6), 4.78 уш. с (4Н, NH, NH2, HCl), 5.14–5.19 м (2H, C3H), 6.66 д (2H, СArН, J 8.6), 7.47 д (2H, СArН, J 8.6). Спектр ЯМР 13С (МеОD-d4), δС, м. д.: 21.7 (C8), 26.8 (C9), 32.4, 32.6 (C4, C7), 37.9 (С10), 39.1 (C6), 42.2 (C5), 42.5 (C11), 47.1 (C1), 114.6 (2СAr), 119.3 (C3), 127.5 (СArS), 130.1 (2СAr), 146.6 (C2), 154.2 (CArN). Найдено, %: 63.49; H 7.83; N 8.68; S 9.90. C17H24N2O2S·HCl. Вычислено, %: C 63.52; H 7.84; N 8.71; S 9.97.
4-Амино-N-[({(1S,2R,3S,5R)-3-гидрокси-6,6-диметилбицикло[3.1.1]гепт-2-ил}метил)сульфамоил]бензоламмония хлорид (13в). Выход 84%, белый порошок, т. пл. 140–142°С, [α]2D7 15.3 (с = 0.2, МеОН). ИК спектр, ν, см–1: 3471 с (ОН), 3375 с (NН), 3250 (NH), 2924 c, 1629 ср, 1597 с, 1307 с (SO2), 1147 с (SO2), 1091 (C–О), 555. Спектр ЯМР 1Н (МеОD-d4), δ, м. д. (J, Гц): 0.79 с (3H, C8H3), 1.04 д (1H, C7Hα, J 9.7), 1.16 с (3H, C9H3), 1.7 д. д. д (1Н, C4Hα, J 13.8, 4.2, 2.7), 1.84–1.98 м (2H, C2H, С5H), 2.00–2.02 м (1H, C1H), 2.32–2.51 м (2Н, C4Hβ, С7Hβ), 2.74–2.85 м (1Н, C10Hα), 2.97 д. д (1Н, C10Hβ, J 12.3, 6.4), 3.92 д. д. д (1H, C3H, J 9.5, 5.0, 4.8), 4.85 с (3Н, NH), 6.70 д (2H, CArH, J 8.6), 7.52 д (2H, CArH, J 8.6). Спектр ЯМР 13С (МеОD-d4), δС, м. д.: 24.0 (C8), 27.9 (C9), 34.3 (C7), 39.3 (C6), 39.5 (C4), 43.2, 44.0 (C1, C5), 47.9 (С10), 53.6 (C2), 68.1 (C3), 114.6 (2СAr), 127.5 (СArS), 130.2 (2СAr), 154.1 (СArN). Найдено, %: C 59.09; H 7.72; N 8.55; S 9.80. C16H24N2O3S·HCl. Вычислено, %: C 59.05; H 7.74; N 8.61; S 9.85.
4-(N-{(1R,2S,3S,5R)-2-Гидрокси-6,6-диметил-2-(трифторметил)бицикло[3.1.1]гептан-3-ил}сульфамоил)бензоламмония хлорид (13г). Выход 88%, бежевый порошок, [α]2D6 –57.8 (c = 0.7, MeOH), т. разл. 216°С. ИК спектр, ν, см–1: 3493 (NH2), 3391 (OH), 3275 (NHSO2), 1628 (CONH), 1310, 1150 (SO2). Спектр ЯМР 1H (CD3OD), δ, м. д. (J, Гц): 0.98 c (3H, C8H3), 1.22 c (3H, C9H3), 1.34 д (1H, C7αH, J 11.0), 1.44 д.д. (1H, C4αH, J 13.6, 6.7), 1.72–1.80 м (1H, C5H), 1.95–2.06 м (1H, C4βH), 2.15–2.30 м (2H, C1H, C7βH), 4.02 д.д. (1H, C3H, J 9.9, 6.9), 7.46 д (2H, CArH, J 8.3), 7.97 д (2H, CArH, J 8.3). Спектр ЯМР 13C (CD3OD), δC, м. д.: 23.7 (C8), 27.8 (C7), 28.2 (C9), 36.6 (С4), 40.1 (C6), 41.1 (C5), 49.5 (C1), 55.4 (С3), 82.3 к (C2, JF 24.3), 124.0 (2СAr), 127.3 к (C10, JF 287.5), 130.3 (2СAr), 138.1 (CArS), 142.3 (CArN). Спектр ЯМР 19F (CD3OD), δF, м. д.: ‒71.6 (CF3). Найдено, %: C 46.36; H 5.34; N 6.77; S 7.70. C16H21F3N2O3S·HCl. Вычислено, %: C 46.32; H 5.35; N 6.75; S 7.73.
4-(N-{(1S,2R,3R,4S,5S)-2-Гидрокси-4,6,6-триметил-2-(трифторметил)бицикло[3.1.1]гептан-3-ил}сульфамоил)бензоламмония хлорид (13д). Выход 87%, бежевый порошок, [α]2D6 ‒101.0 (c = 0.8, MeOH), т. разл. 227°С. ИК спектр, ν, см–1: 3478 (NHC=O), 3387 (OH), 3235 (NHSO2), 1632 (CONH), 1304, 1155 (SO2). Спектр ЯМР 1H (CD3OD), δ, м. д. (J, Гц): 0.52 д (3H, C10H3, J 7.2), 1.16 c (3H, C8H3), 1.33 c (3H, C9H3), 1.35 д (1H, C7αH, J 11.0), 1.74–1.84 м (2H, C5H, C2H), 2.22 т (1H, C1H, J 5.9), 2.32–2.39 м (1H, C7βH), 3.76 т (1H, C3H, J 9.6), 6.71 д (2H, CArH, J 8.5), 7.57 д (2H, CArH, J 8.5). Спектр ЯМР 13C (CD3OD), δC, м. д.: 18.8 (C10), 24.7 (C8), 29.5 (C7), 29.9 (C9), 40.9 (C6), 42.6 (С2), 48.5 (C5), 50.5 (C1), 62.9 (С3), 82.1 к (C4, JF 24.3), 114.6 (2СAr), 127.4 к (C10, JF 288.6), 130.3 (2СAr), 136.8 (CArS), 154.5 (CArN). Спектр ЯМР 19F (CD3OD), δF, м. д.: ‒71.1 (CF3). Найдено, %: C 47.58; H 5.62; N 6.50; S 7.41. C17H23F3N2O3S·HCl. Вычислено, %: C 47.61; H 5.64; N 6.53; S 7.48.
4-(N-{(1R,2R,3R,4S)-3-Гидрокси-4,7,7-триметил-3-(трифторметил)бицикло[2.2.1]гептан-2-ил}сульфамоил)бензоламмония хлорид (13e). Выход 87%, бежевый порошок, [α]2D6 62.7 (c = 1.0, MeOH), т. разл. 225°С. ИК спектр, ν, см–1: 3536 (NHC=O), 3408 (OH), 3294 (NHSO2), 1626 (CONH), 1298, 1150 (SO2). Спектр ЯМР 1H (CD3OD), δ, м. д. (J, Гц): 0.69 с (3H, C8H3), 0.82 c (3H, C10H3), 0.99 c (3H, C9H3), 1.06–1.14 м (1H, C4H), 1.33–1.59 м (4H, C5αH, C5βH, C6αH, C6βH), 3.92 д (1H, C3H, J 4.1), 7.44 д (2H, CArH, J 8.0), 7.90 д (2H, CArH, J 8.0). Спектр ЯМР 13C (CD3OD), δC, м. д.: 11.5 (C10), 19.7 (C5), 20.5 (C8), 21.1 (C9), 29.8 (C6), 48.5 (С7), 50.5 (C4), 53.9 (C1), 65.0 (С3), 83.6 к (C2, JF 24.3), 124.3 (2СAr), 127.4 к (C10, JF 288.6), 129.2 (2СAr), 137.8 (CArS), 142.4 (CArN). Спектр ЯМР 19F (CD3OD), δF, м. д.: ‒ 69.5 (CF3). Найдено, %: C 47.65; H 5.66; N 6.50; S 7.52. C17H23F3N2O3S·HCl. Вычислено, %: C 47.61; H 5.64; N 6.53; S 7.48.
4-Амино-N-({[4-(2-метоксипропан-2-ил)циклогекс-1-ен-1-ил]метил}сульфамоил)бензоламмония хлорид (13ж)1. Выход 9%, вязкая бесцветная жидкость, [α]2D7 –26.7 (с = 0.1, МеОН). ИК спектр, ν, см–1: 3466 ш. ср (NH), 3273 ср (NH), 2924 c, 1629 с, 1597 с (С=С), 1502, 1460, 1309 с (SO2), 1149 с (SO2), 1091 ср (С–О), 831, 680. Спектр ЯМР 1Н (МеОD-d4), δ, м. д. (J, Гц): 0.99–1.05 м (1H, C7Hα), 1.11 с (6H, C8H3, C9H3), 1.49–1.62 м (1Н, C5H), 1.66–1.82 м (2 H, C4Hα, C7Hβ), 1.82–2.02 м (3H, C4Hβ, C3H), 3.18 с (3H, ОC11H3), 3.30–3.42 м (2Н, C10H), 4.87 с (3Н, NH, NH2), 5.47–5.56 м (1H, C1H), 6.70 д (2H, СArН, J 8.6), 7.51 д (2H, СArН, J 8.6). Спектр ЯМР 13С (МеОD-d4), δС, м. д.: 22.4, 22.8 (C8, C9), 24.6 (C7), 27.8 (C4), 28.2 (C3), 42.7 (C5), 48.9 (ОС11Н3), 50.3 (C10), 78.3 (С6), 114.4 (2СAr), 125.7 (C1), 128.5 (СArS), 130.3 (2СAr), 134.8 (C2), 154.0 (СArN). Найдено, %: C 60.19; H 8.05; N 8.29; S 9.39. C17H26N2O3S·HCl. Вычислено, %: C 60.15; H 8.02; N 8.25; S 9.44.
Исследование антимикробной активности. Минимальные подавляющие концентрации (МПК) соединений определяли методом микроразведения среды в 96-луночных планшетах (Eppendorf, Гамбург, Германия) в соответствии с правилами EUCAST для тестирования чувствительности к противомикробным препаратам [29] в среде Мюллера–Хинтон (МХ) для бактерий и в среде RPMI в соответствии с рекомендациями протокола CLSI М27-А3 [30] для клеток дрожжей. Концентрации противомикробных препаратов представляли двухкратные разведения от максимальной концентрации к минимальной – от 2048 до 1 мкг/мл. МПК определяли как наименьшую концентрацию антибиотика, при которой не наблюдалось видимого роста бактерий через 24 ч инкубации.
Таблица 3. Геометрические характеристики, соответствующие взаимодействиям O–H…O и N–H…O в кристалле соединения 12еа.
D–H…A | D–H, Å | H…A, Å | D…A, Å | ∠DHA, град |
O4A–H1A…O1B_$1* | 0.95(4) | 1.89(4) | 2.806(4) | 162(4) |
N1A–H2A…O2B | 0.93(4) | 2.34(5) | 3.016(5) | 130(4) |
N2A–H3A…O3A_$2 | 0.77(4) | 2.13(4) | 2.879(6) | 166(5) |
O4B–H1B…O3B_$3 | 0.95(4) | 1.72(4) | 2.667(5) | 170(5) |
N1B–H2B…O1A_$4 | 0.93(4) | 1.94(4) | 2.852(5) | 170(4) |
N2B–H3B…O2A_$2 | 0.77(4) | 2.24(4) | 3.002(5) | 171(5) |
а Операции симметрии, используемые для генерации эквивалентных атомов в кристалле соединения 12е ($1): –x+1, y–1/2, –z+1; ($2): –x+1, y+1/2, –z+1; ($3) –x+1, y–1/2, –z+2; ($4) x, y, z+1.
БЛАГОДАРНОСТЬ
Авторы выражают благодарность А. Р. Каюмову, Д. Р. Байдамшиной и А. И. Колесниковой (Институт фундаментальной медицины и биологии Казанского федерального университета) за проведение исследований по биологической активности соединений.
ФИНАНСОВАЯ ПОДДЕРЖКА
Работа выполнена в рамках государственного задания (№ 122040600073-3) и при поддержке Научно-образовательного центра мирового уровня «Российская Арктика: новые материалы, технологии и методы исследования» с использованием оборудования Центра коллективного пользования «Химия» Института химии Федерального исследовательского центра «Коми научный центр Уральского отделения РАН». Рентгеноструктурное исследование проведено на оборудовании Аналитического центра коллективного пользования Института металлоорганических соединений им. Г. А. Разуваева РАН. Исследование антимикробной активности выполнено в Институте фундаментальной медицины и биологии Казанского федерального университета.
КОНФЛИКТ ИНТЕРЕСОВ
Авторы заявляют об отсутствии конфликта интересов.
1 Нумерация атомов соединения 13ж при описании спектров ЯМР для удобства интерпретации сохранена относительно исходного амина 1а и не совпадает с нумерацией, рекомендованной IUPAC.
About the authors
O. N. Grebyonkina
Institute of Chemistry, Federal Research Center “Komi Scientific Center of the Ural Branch of the Russian Academy of Sciences”
Email: lezina-om@yandex.ru
Russian Federation, Syktyvkar, 167000
P. A. Petrova
Institute of Chemistry, Federal Research Center “Komi Scientific Center of the Ural Branch of the Russian Academy of Sciences”
Email: lezina-om@yandex.ru
Russian Federation, Syktyvkar, 167000
P. V. Gribkov
Institute of Chemistry, Federal Research Center “Komi Scientific Center of the Ural Branch of the Russian Academy of Sciences”
Email: lezina-om@yandex.ru
ORCID iD: 0000-0003-2923-4620
Russian Federation, Syktyvkar, 167000
R. V. Rumyantsev
G. A. Razuvaev Institute of Organometallic Chemistry of the Russian Academy of Sciences
Email: lezina-om@yandex.ru
ORCID iD: 0000-0003-0198-3806
Russian Federation, Nizhny Novgorod, 603950
O. M. Lezina
Institute of Chemistry, Federal Research Center “Komi Scientific Center of the Ural Branch of the Russian Academy of Sciences”
Author for correspondence.
Email: lezina-om@yandex.ru
ORCID iD: 0000-0002-6105-5641
Russian Federation, Syktyvkar, 167000
D. V. Sudarikov
Institute of Chemistry, Federal Research Center “Komi Scientific Center of the Ural Branch of the Russian Academy of Sciences”
Email: lezina-om@yandex.ru
ORCID iD: 0000-0001-5640-6956
Russian Federation, Syktyvkar, 167000
S. A. Rubtsova
Institute of Chemistry, Federal Research Center “Komi Scientific Center of the Ural Branch of the Russian Academy of Sciences”
Email: lezina-om@yandex.ru
ORCID iD: 0000-0003-1224-8751
Russian Federation, Syktyvkar, 167000
References
- Azevedo-Barbosa H., Dias D.F., Franco L.L., Hawkes J.A., Carvalho D.T. // Mini-Rev. Med. Chem. 2020. Vol. 20. N 19. P. 2052–2066. doi: 10.2174/1389557520666200905125738
- Mondal S., Malakar S. // Tetrahedron. 2020. Vol. 76. N 48. P. 131662. doi: 10.1016/j.tet.2020.131662
- Paduch R., Kandefer-Szerszeń M., Trytek M., Fiedurek J. // Arch. Immunol. Ther. Exp. 2007. Vol. 55. N 5. P. 315. doi: 10.1007/s00005-007-0039-1
- Соколова А.С., Баранова Д.В., Яровая О.И., Зыбкина А.В., Мордвинова Е.Д., Зайковская А.В., Баев Д.С., Толстикова Т.Г., Щербаков Д.Н., Пьянков О.В., Максютов Р.А., Салахутдинов Н.Ф. // Изв. АН. Сер. хим. 2023. T. 72. № 10. С. 2536; Sokolova A.S., Baranova D.V., Yarovaya O.I., Zybkina A.V., Mordvinova E.D., Zaykovskaya A.V., Baev D.S., Tolstikova T.G., Shcherbakov D.N., Pyankov O.V., Maksyutov R.A., Salakhutdinov N.F. // Russ. Chem. Bull. 2023. Vol. 72. N 10. P. 2536. doi: 10.1007/s11172-023-4056-y
- Соколова А.С., Баранова Д.В., Яровая О.И., Баев Д.С., Полежаева О.А., Зыбкина А.В., Щербаков Д.Н., Толстикова Т.Г., Салахутдинов Н.Ф. // Изв. АН. Сер. хим. 2019. T. 68. C. 1041; Sokolova A.S., Baranova D.V., Yarovaya O.I., Baev D.S., Polezhaeva O.A., Zybkina A.V., Shcherbakov D.N., Tolstikova T.G., Salakhutdinov N.F. // Russ. Chem. Bull. 2019. Vol. 68. N 5. P. 1041. doi: 10.1007/s11172-019-2517-0
- Гребёнкина О.Н., Лезина О.М., Изместьев Е.С., Рубцова С.А., Кучин А.В. // ЖОрХ. 2020. № 3. С. 395; Grebyonkina O.N., Lezina O.M., Izmest’ev E.S., Rubtsova S.A., Kutchin A.V. // Russ. J. Org. Chem. 2020. Vol. 56. N 3. P. 405. doi: 10.1134/s1070428020030070
- Гребёнкина О.Н., Субботина С.Н., Лезина О.М., Рубцова С.А., Кучин А.В. // Изв. АН. Сер. хим. 2022. T. 71. № 1. С. 173; Grebyonkina O.N., Subbotina S.N., Lezina O.M., Rubtsova S.A., Kutchin A.V. // Russ. Chem. Bull. 2022. Vol. 71. N 1. P. 173. doi: 10.1007/s11172-022-3393-6
- Yusuff N., Doré M., Joud C., Visser M., Springer C., Xie X., Herlihy K., Porter D., Touré B.B. // ACS Med. Chem. Lett. 2012. Vol. 3. N 7. P. 579. doi: 10.1021/ml300095a
- Johnson B.M., Shu Y.-Z., Zhuo X., Meanwell N.A. // J. Med. Chem. 2020. Vol. 63. N 12. P. 6315. doi: 10.1021/acs.jmedchem.9b01877
- Gupta S.P. // Lett. Drug Des. Discov. 2019. Vol. 16. N 10. P. 1089. doi: 10.2174/1570180816666190130154726
- Isanbor C., O’Hagan D. // J. Fluor. Chem. 2006. Vol. 127. N 3. P. 303. doi: 10.1016/j.jfluchem.2006.01.011
- Hagmann W.K. // J. Med. Chem. 2008. Vol. 51. N 15. P. 4359. doi: 10.1021/jm800219f
- Senthamarai T., Murugesan K., Schneidewind J., Kalevaru N.V., Baumann W., Neumann H., Kamer P.C.J., Beller M., Jagadeesh R.V. // Nat. Commun. 2018. Vol. 9. N 1. P. 4123. doi: 10.1038/s41467-018-06416-6
- Abraham R.J., Jones-Parry R., Giddings R.M., Guy J., Whittaker D. // J. Chem. Soc. Perkin Trans. 1. 1998. N 4. P. 643. doi: 10.1039/a707911g
- Petrova P.A., Sudarikov D.V., Frolova L.L., Rumyantcev R.V., Rubtsova S.A., Kutchin A.V. // Molecules. 2022. Vol. 27. N 20. P. 7068. doi: 10.3390/molecules27207068
- Банина О.А., Судариков Д.В., Крымская Ю.В., Фролова Л.Л., Кучин А.В. // ХПС. 2015. № 2. С. 231; Banina O.A., Sudarikov D.V., Krymskaya Yu.V., Frolova L.L., Kuchin A.V. // Chem. Nat. Compd. 2015. Vol. 51. N 2. P. 261. doi: 10.1007/s10600-015-1257-0
- Bain J.P. // J. Am. Chem. Soc. 1946. Vol. 68. N 4. P. 638. doi: 10.1021/ja01208a032
- Akgun B., Hall D.G. // Angew. Chem. Int. Ed. 2016. Vol. 55. N 12. P. 3909. doi: 10.1002/anie.201510321
- Дырхеева Н.С., Ильина И.В., Волчо К.П., Салахутдинов Н.Ф., Лаврик О.И. // Изв. АН. Сер. хим. 2023. T. 72. № 10. C. 2525; Dyrkheeva N.S., Ilyina I.V., Volcho K.P., Salakhutdinov N.F., Lavrik O.I. // Russ Chem Bull. 2023. Vol. 72. N 10. P. 2525. doi: 10.1007/s11172-023-4055-z
- Grošelj U., Meden A., Stanovnik B., Svete J. // Tetrahedron: Asym. 2007. Vol. 18. N 23. P. 2746. doi 10.1016/ j.tetasy.2007.11.012
- Danish M., Raza M.A., Rani H., Akhtar A., Arshad M.N., Asiri A.M. // J. Mol. Struct. 2021. Vol. 1241. P. 130608. doi: 10.1016/j.molstruc.2021.130608
- SAINT, Data Reduction and Correction Program; Bruker AXS: Madison, WI, 2012
- Sheldrick G.M. // Acta Crystallogr. (A). 2015. Vol. 71. N 1. P. 3. doi: 10.1107/S2053273314026370
- Sheldrick G.M. // Acta Crystallogr. (C). 2015. Vol. 71. N 1. P. 3. doi: 10.1107/S2053229614024218
- Krause L., Herbst-Irmer R., Sheldrick G.M., Stalke D. // J. Appl. Crystallogr. 2015. Vol. 48. N 1. P. 3. doi: 10.1107/S1600576714022985
- Spek A.L. // Acta Crystallogr. (C). 2015. Vol. 71. N 1. P. 9. doi: 10.1107/S2053229614024929
- Schreib B.S., Carreira E.M. // J. Am. Chem. Soc. 2019. Vol. 141. N 22. P. 8758. doi: 10.1021/jacs.9b03998
- Wang G.-B., Wang L.-F., Li C.-Z., Sun J., Zhou G.-M., Yang D.-C. // Res. Chem. Intermed. 2012. Vol. 38. N 1. P. 77. doi: 10.1007/s11164-011-0327-6
- Leclercq R., Cantón R., Brown D.F.J., Giske C.G., Heisig P., MacGowan A.P., Mouton J.W., Nordmann P., Rodloff A.C., Rossolini G.M., Soussy C.-J., Steinbakk M., Winstanley T.G., Kahlmeter G. // Clin. Microbiol. Infect. 2013. Vol. 19. N 2. P. 141. doi: 10.1111/j.1469-0691.2011.03703.x
- Reference Method for Broth Dilution Antifungal Susceptibility Testing of Yeats: Approved Standard / Ed. J.H. Rex. Wayne: CLSI, 2008.
Supplementary files







