Vanishing Superstructure: Crystal and Local Structures of Ni3 – xMTe2 (M = Sb, Sn)
- Authors: Stroganova E.A.1, Kazakov S.M.1, Fabrichnii P.B.1, Afanasov M.I.1, Kuznetsov A.N.1
-
Affiliations:
- Faculty of Chemistry, Moscow State University
- Issue: Vol 68, No 12 (2023)
- Pages: 1691-1701
- Section: СИНТЕЗ И СВОЙСТВА НЕОРГАНИЧЕСКИХ СОЕДИНЕНИЙ
- URL: https://journals.rcsi.science/0044-457X/article/view/231654
- DOI: https://doi.org/10.31857/S0044457X23601529
- EDN: https://elibrary.ru/RJZGNB
- ID: 231654
Cite item
Full Text
Abstract
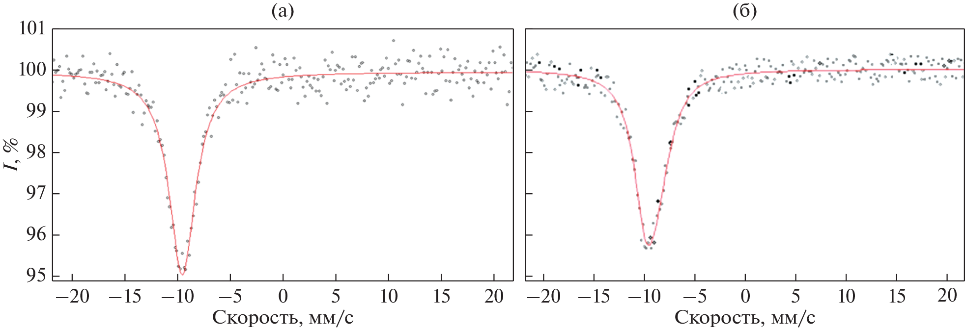
Series of compounds Ni3 – xMTe2 (M = Sb, Sn; x = 0–1) were obtained by high-temperature sealed-tube synthesis and characterized by X-ray powder diffraction and 121Sb and 119Sn Mössbauer spectroscopy. For Ni3–xSnTe2, it was shown that, as х varies from 1 to 0, nickel is distributed over three possible sites, two of which give a total occupancy of 1 and have ordered vacancies. Meanwhile, for Ni3–xSbTe2 and х other than ~0.9–1.0, the vacancy ordering disappears. The temperature dependence of the presence or absence of vacancy ordering was established for Ni2SbTe2; the ordering disappears on heating above 600°C and appears again on cooling.
About the authors
E. A. Stroganova
Faculty of Chemistry, Moscow State University
Email: alexei@inorg.chem.msu.ru
119991, Moscow, Russia
S. M. Kazakov
Faculty of Chemistry, Moscow State University
Email: alexei@inorg.chem.msu.ru
119991, Moscow, Russia
P. B. Fabrichnii
Faculty of Chemistry, Moscow State University
Email: alexei@inorg.chem.msu.ru
119991, Moscow, Russia
M. I. Afanasov
Faculty of Chemistry, Moscow State University
Email: alexei@inorg.chem.msu.ru
119991, Moscow, Russia
A. N. Kuznetsov
Faculty of Chemistry, Moscow State University
Author for correspondence.
Email: alexei@inorg.chem.msu.ru
119991, Moscow, Russia
References
- Reynolds T.K., Bales J.G., DiSalvo F.J. // Chem. Mater. 2002. V. 14. P. 4746. https://doi.org/10.1021/cm020585r
- Kuznetsov A.N., Serov A.A. // Eur. J. Inorg. Chem. 2016. V. 3. P. 373. https://doi.org/10.1002/ejic.201501197
- Исаева А.А., Баранов А.И., Доэрт Т. и др. // Изв. АН. Сер. химическая. 2007. Т. 56. № 9. С. 1632.
- Isaeva A.A., Baranov A.I., Kloo L. et al. // Solid State Sci. 2009. V. 11. P. 1071. https://doi.org/10.1016/j.solidstatesciences.2009.03.005
- Baranov A.I., Isaeva A.A., Kloo L. et al. // Inorg. Chem. 2003. V. 42. P. 6667. https://doi.org/10.1002/chin.200352007
- Baranov A.I., Isaeva A.A., Kloo L. et al. // J. Solid State Chem. 2004. V. 177. P. 3616. https://doi.org/10.1016/j.jssc.2004.05.061
- Isaeva A.A., Baranov A.I., Doert Th. et al. // J. Solid State Chem. 2007. V. 180. P. 221. https://doi.org/10.1016/j.jssc.2006.09.003
- Stroganova E.A., Kazakov S.M., Khrustalev V.N. et al. // J. Solid State Chem. 2022. V. 306. P. 122815. https://doi.org/10.1016/j.jssc.2021.122815
- Stroganova E.A., Kazakov S.M., Efimov N.N. et al. // Dalton Trans. 2020. V. 49. P. 15081. https://doi.org/10.1039/D0DT03082A
- Kuznetsov A.N., Stroganova E.A., Zakharova E.Yu. // Russ. J. Inorg. Chem. 2019. V. 64. № 13. P. 1625. https://doi.org/10.1134/S0036023619130059
- Kuznetsov A.N., Stroganova E.A., Serov A.A. et al. // J. Alloys Compd. 2017. V. 696. P. 413. https://doi.org/10.1016/j.jallcom.2016.11.292
- Литвиненко О.Н., Кузнецов А.Н., Оленев А.В. и др. // Изв. АН. Сер. химическая. 2007. Т. 56. № 10. С. 1879.
- Isaeva A.A., Makarevich O.N., Kuznetsov A.N. et al. // Eur. J. Inorg. Chem. 2010. P. 1395. https://doi.org/10.1002/ejic.200901027
- Larsson A.-K., Noren L., Withers R.L. et al. // J. Solid State Chem. 2007. V. 180. P. 2723. https://doi.org/10.1016/j.jssc.2007.07.020
- Noren L., Withers R.L., Brink F.J. // J. Alloys Compd. 2003. V. 353. P. 133. https://doi.org/10.1016/S0925-8388(02)01309-9
- Deiseroth H.-J., Aleksandrov K., Reiner C. et al. // Eur. J. Inorg. Chem. 2006. V. 8. P. 1561. https://doi.org/10.1002/ejic.200501020
- Deiseroth H.-J., Sprirovski F., Reiner C. et al. // Z. Kristallogr. New Crystal Structures. 2007. V. 222. P. 169. https://doi.org/10.1524/ncrs.2007.0070
- Dankwort T., Duppel V., Deiseroth H.-J. et al. // Semicond. Sci. Technol. 2016. V. 31. P. 7. https://doi.org/10.1088/0268-1242/31/9/094001
- Reynolds T.K., Kelley R.F., DiSalvo F.J. // J. Alloys Compd. 2004. V. 366. P. 136. https://doi.org/10.1016/j.jallcom.2003.07.008
- Бузанов Г.А., Строганова Е.А., Быков А.Ю. и др. // Журн. неорган. химии. 2022. Т. 67. № 5. С. 569.
- Kuznetsov A.N., Stroganova E.A., Zakharova E.Yu. et al. // J. Solid State Chem. 2017. V. 250. P. 90. https://doi.org/10.1016/j.jssc.2017.03.020
- Laufek F., Drábek M., Skála R. et al. // Can. Mineral. 2007. V. 45. P. 1213. https://doi.org/10.2113/gscanmin.45.5.1213
- Bruker AXS Topas V4.2: General profile and structure analysis software for powder diffraction data. Karlsruhe, 2009.
- Николаев В.И., Русаков В.С. Мессбауэровские исследования ферритов. М.: Изд-во МГУ, 1985. 224 с.
- Русаков В.С. Мессбауэровская спектроскопия локально неоднородных систем. Алматы, 2000. 431 с.
- Русаков В.С. // Изв. РАН. Сер. физическая. 1999. Т. 63. № 7. С. 1389.
- Rusakov V.S., Kadyrzhanov K.K. // Hyperfine Interact. 2005. V. 164. P. 87. https://doi.org/10.1007/s10751-006-9236-2
- Захарова Е.Ю., Маханёва А.Ю., Казаков С.М. и др. // Журн. неорган. химии. 2019. Т. 64. № 12. С. 1250.
- Федоров П.П., Попов А.А., Шубин Ю.В. и др. // Журн. неорган. химии. 2022. Т. 67. № 12. С. 1805.
- Lippens P.E. // Solid State Commun. 2000. V. 113. P. 399. https://doi.org/10.1016/S0038-1098(99)00501-3
Supplementary files









