Microwave-Assisted Hydrothermal Synthesis of Ceric-Ammonium Phosphates (NH4)2Ce(PO4)2⋅H2O and NH4Ce2(PO4)3
- Authors: Tronev I.V.1,2, Sheichenko E.D.1,2, Razvorotneva L.S.1,2, Trufanova E.A.1,2, Minakova P.V.1,2, Kozlova T.O.1, Baranchikov A.E.1, Ivanov V.K.1,2
-
Affiliations:
- Kurnakov Institute of General and Inorganic Chemistry, Russian Academy of Sciences
- National Research University Higher School of Economics
- Issue: Vol 68, No 3 (2023)
- Pages: 318-324
- Section: СИНТЕЗ И СВОЙСТВА НЕОРГАНИЧЕСКИХ СОЕДИНЕНИЙ
- URL: https://journals.rcsi.science/0044-457X/article/view/136328
- DOI: https://doi.org/10.31857/S0044457X22601869
- EDN: https://elibrary.ru/JEWBVV
- ID: 136328
Cite item
Full Text
Abstract
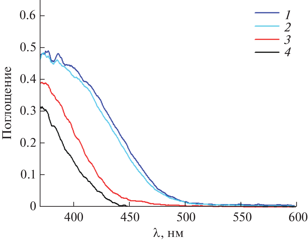
The possibility of preparation of crystalline double cerium(IV) phosphates (NH4)2Ce(PO4)2⋅H2O and NH4Ce2(PO4)3 under the conditions of microwave-assisted hydrothermal synthesis has been analyzed. It has been shown that these phosphates in a single-phase state can be obtained in the temperature range of 130–190°С with a synthesis duration of ≥5 min, while the phase composition of the synthesis products is determined by the molar ratio of ammonia and phosphoric acid in the reaction mixture. Short-term (5 min) low-temperature (130°С) hydrothermal synthesis under microwave heating leads to the preparation of (NH4)2Ce(PO4)2⋅H2O and NH4Ce2(PO4)3 with a particle size of ~70 and ~200 nm, respectively. At higher temperatures and treatment times (190°C and 24 h), the particle size of these phases increases to ~200 and ~500 nm, respectively. For the first time, the value of the optical band gap for (NH4)2Ce(PO4)2⋅H2O was determined to be 2.8 and 3.1 eV for indirect and direct transitions, respectively.
Keywords
About the authors
I. V. Tronev
Kurnakov Institute of General and Inorganic Chemistry, Russian Academy of Sciences; National Research University Higher School of Economics
Email: van@igic.ras.ru
119991, Moscow, Russia; 101000, Moscow, Russia
E. D. Sheichenko
Kurnakov Institute of General and Inorganic Chemistry, Russian Academy of Sciences; National Research University Higher School of Economics
Email: van@igic.ras.ru
119991, Moscow, Russia; 101000, Moscow, Russia
L. S. Razvorotneva
Kurnakov Institute of General and Inorganic Chemistry, Russian Academy of Sciences; National Research University Higher School of Economics
Email: van@igic.ras.ru
119991, Moscow, Russia; 101000, Moscow, Russia
E. A. Trufanova
Kurnakov Institute of General and Inorganic Chemistry, Russian Academy of Sciences; National Research University Higher School of Economics
Email: van@igic.ras.ru
119991, Moscow, Russia; 101000, Moscow, Russia
P. V. Minakova
Kurnakov Institute of General and Inorganic Chemistry, Russian Academy of Sciences; National Research University Higher School of Economics
Email: van@igic.ras.ru
119991, Moscow, Russia; 101000, Moscow, Russia
T. O. Kozlova
Kurnakov Institute of General and Inorganic Chemistry, Russian Academy of Sciences
Email: van@igic.ras.ru
119991, Moscow, Russia
A. E. Baranchikov
Kurnakov Institute of General and Inorganic Chemistry, Russian Academy of Sciences
Email: van@igic.ras.ru
119991, Moscow, Russia
V. K. Ivanov
Kurnakov Institute of General and Inorganic Chemistry, Russian Academy of Sciences; National Research University Higher School of Economics
Author for correspondence.
Email: van@igic.ras.ru
119991, Moscow, Russia; 101000, Moscow, Russia
References
- Nazaraly M., Wallez G., Chanéac C. et al. // Angew. Chem. Int. Ed. 2005. V. 44. P. 5691. https://doi.org/10.1002/anie.200501871
- Nazaraly M., Wallez G., Chanéac C. et al. // J. Phys. Chem. Solids. 2006. V. 67. P. 1075. https://doi.org/10.1016/j.jpcs.2006.01.028
- Козлова Т.О., Баранчиков А.Е., Иванов В.К. // Журн. неорган. химии. 2021. Т. 66. № 12. С. 1647. https://doi.org/10.31857/s0044457x21120102
- Bevara S., Achary S.N., Patwe S.J. et al. // AIP Conf. Proc. 2016. V. 1731. P. 1. https://doi.org/10.1063/1.4948206
- Nazaraly M., Quarton M., Wallez G. et al. // Solid State Sci. 2007. V. 9. P. 672. https://doi.org/10.1016/j.solidstatesciences.2007.04.021
- Achary S.N., Bevara S., Tyagi A.K. // Coord. Chem. Rev. 2017. V. 340. № March. P. 266. https://doi.org/10.1016/j.ccr.2017.03.006
- Romanchuk A.Y., Shekunova T.O., Larina A.I. et al. // Radiochemistry. 2019. V. 61. № 6. P. 719. https://doi.org/10.1134/S1066362219060134
- Sato T., Li R., Sato C. et al. // Phosphorus Res. Bull. 2007. V. 21. P. 44. https://doi.org/10.3363/prb.21.44
- Sato T., Yin S. // Phosphorus Res. Bull. 2010. V. 24. P. 43. https://doi.org/10.3363/prb.24.43
- Sato T., Sato C., Yin S. // Phosphorus Res. Bull. 2008. V. 22. P. 17. https://doi.org/10.3363/prb.22.17
- Kozlova T.O., Popov A.L., Kolesnik I.V. et al. // J. Mater. Chem. B. 2022. V. 10. № 11. P. 1775. https://doi.org/10.1039/d1tb02604f
- Nazaraly M., Chanéac C., Ribot F. et al. // J. Phys. Chem. Solids. 2007. V. 68. P. 795. https://doi.org/10.1016/j.jpcs.2007.03.010
- Shekunova T.O., Istomin S.Y., Mironov A.V. et al. // Eur. J. Inorg. Chem. 2019. V. 2019. № 27. P. 3242. https://doi.org/10.1002/ejic.201801182
- Kozlova T.O., Mironov A.V., Istomin S.Y. et al. // Chem. A Eur. J. 2020. V. 26. № 53. P. 12188. https://doi.org/10.1002/chem.202002527
- Lai Y., Chang Y., Wong T. et al. // Inorg. Chem. 2013. V. 52. № 23. P. 13639.
- Salvado M.A., Pertierra P., Trobajo C. et al. // J. Am. Chem. Soc. 2007. V. 129. № 36. P. 10970.
- Shekunova T.O., Baranchikov A.E., Ivanova O.S. et al. // J. Non-Cryst. Solids. 2016. V. 447. P. 183. https://doi.org/10.1016/j.jnoncrysol.2016.06.012
- Zhu Y.J., Chen F. // Chem. Rev. 2014. V. 114. № 12. P. 6462. https://doi.org/10.1021/cr400366s
- Meng L.Y., Wang B., Ma M.G. et al. // Mater. Today Chem. 2016. V. 1–2. P. 63. https://doi.org/10.1016/j.mtchem.2016.11.003
- Moreira M.L., Mambrini G.P., Volanti D.P. et al. // Chem. Mater. 2008. V. 20. № 16. P. 5381. https://doi.org/10.1021/cm801638d
- Salvadó M.A., Pertierra P., Bortun A.I. et al. // Inorg. Chem. 2008. V. 47. № 16. P. 7207. https://doi.org/10.1021/ic800818c
- Petit S., Righi D., Madejová J. // Appl. Clay Sci. 2006. V. 34. № 1–4. P. 22. https://doi.org/10.1016/j.clay.2006.02.007
- Petit S., Righi D., Madejová J. et al. // Clay Miner. 1999. V. 34. P. 543.
- Kloprogge J.T., Broekmans M., Duong L.V. et al. // J. Mater. Sci. 2006. V. 41. № 11. P. 3535. https://doi.org/10.1007/s10853-005-5909-5
- Xu Y., Feng S., Pang W. et al. // Chem. Commun. 1996. № 11. P. 1305. https://doi.org/10.1039/CC9960001305
- Brandel V., Clavier N., Dacheux N. // J. Solid State Chem. 2005. V. 178. № 4. P. 1054. https://doi.org/10.1016/j.jssc.2005.01.005
- Skogareva L.S., Shekunova T.O., Baranchikov A.E. et al. // Russ. J. Inorg. Chem. 2016. V. 61. № 10. P. 1219. https://doi.org/10.1134/S0036023616100181
- Hadrich A., Lautie A., Mhiri T. et al. // Vib. Spectrosc. 2001. V. 26. P. 51.
- Yang G., Park S.-J. // Materials (Basel). 2019. V. 12. № 7. P. 1177. https://doi.org/10.3390/ma12071177
- Maksimov V.D., Meskin P.E., Churagulov B.R. // Inorg. Mater. 2007. V. 43. № 9. P. 988. https://doi.org/10.1134/S0020168507090142
- Zhou H., Zhang M., Kong S. et al. // Mater. Lett. 2016. V. 180. P. 239. https://doi.org/10.1016/j.matlet.2016.05.165
- Qi C., Zhu Y.-J., Sun T.-W. et al. // Chem. An Asian J. 2015. V. 10. № 11. P. 2503. https://doi.org/10.1002/asia.201500667
- Sakintuna B., Yürüm Y. // J. Porous Mater. 2010. V. 17. № 6. P. 727. https://doi.org/10.1007/s10934-009-9344-x
- Yu Y.-H., Chen Y.-P., Zeng M. et al. // Mater. Lett. 2016. V. 163. P. 158. https://doi.org/10.1016/j.matlet.2015.10.039
- Kolesnik I.V., Aslandukov A.N., Arkhipin A.S. et al. // Crystals. 2019. V. 9. № 7. P. 332. https://doi.org/10.3390/cryst9070332
Supplementary files






