Spin magnetoresistance of thin film structures of manganite and material with strong spin-orbit interaction.
- Authors: Ul'ev G.D.1,2, Constantinian K.I.1, Moskal' Y.E.2, Ovsyannikov G.A.1, Shadrin A.V.1,3
-
Affiliations:
- Kotelnikov Institute of Radioengineering and Electronics, Russian Academy of Sciences
- National Research University Higher School of Economics
- Issue: Vol 68, No 10 (2023)
- Pages: 984-988
- Section: НАНОЭЛЕКТРОНИКА
- URL: https://journals.rcsi.science/0033-8494/article/view/232582
- DOI: https://doi.org/10.31857/S0033849423100194
- EDN: https://elibrary.ru/DMYCRX
- ID: 232582
Cite item
Full Text
Abstract
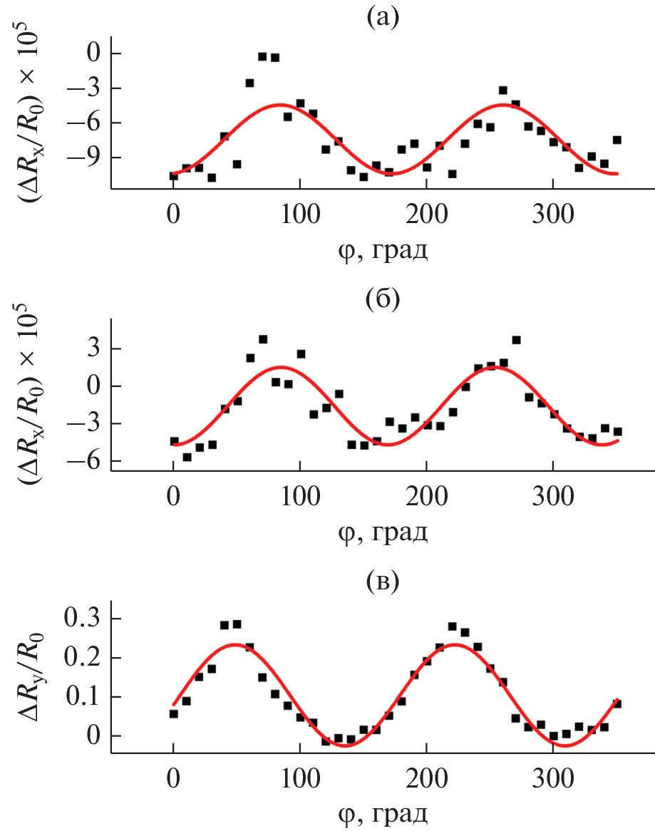
The results of the experimental determination of the spin Hall angle in a two-layer metal/ferromagnet structure Pt/La_0.7 Sr_0.3 MnO_3, obtained from the angular dependences of the longitudinal and transverse spin magnetoresistance in the planar Hall effect configuration are presented. The spin Hall angle determined from the longitudinal magnetoresistance was θ_Hx ≈ 0.016, and from transverse θ_Hy ≈ 0.018, while for SrIrO_3/La_0.7 Sr_0.3 MnO_3 heterostructures the ratio of the transverse to longitudinal spin Hall angle turned out to be significantly higher, θ_Hy/θ_Hx ≈ 9, which is most likely caused by the formation of a layer with high conductivity at the SrIrO_3 boundary /La_0.7 Sr_0.3 MnO_3.
About the authors
G. D. Ul'ev
Kotelnikov Institute of Radioengineering and Electronics, Russian Academy of Sciences; National Research University Higher School of Economics
Email: gdulev@edu.hse.ru
Moscow, 125009 Russia; Moscow, 101000, Russia
K. I. Constantinian
Kotelnikov Institute of Radioengineering and Electronics, Russian Academy of Sciences
Email: gdulev@edu.hse.ru
Moscow, 125009 Russia
Y. E. Moskal'
National Research University Higher School of Economics
Email: gdulev@edu.hse.ru
Moscow, 101000, Russia
G. A. Ovsyannikov
Kotelnikov Institute of Radioengineering and Electronics, Russian Academy of Sciences
Email: gdulev@edu.hse.ru
Moscow, 125009 Russia
A. V. Shadrin
Kotelnikov Institute of Radioengineering and Electronics, Russian Academy of Sciences;
Author for correspondence.
Email: gdulev@edu.hse.ru
Moscow, 125009 Russia; Dolgoprudnyi, Moscow oblast, 141701 Russia
References
- Hirsch J.E. // Phys. Rev. Lett. 1999. V. 83. № 9. P. 1834.
- Zhang S.F. // Phys. Rev. Lett. 2000. V. 85. № 2. P. 393.
- Miron I.M., Garello K., Gaudin G. et al. // Nature. 2011. V. 476. P. 189.
- Jungwirth T., Wunderlich J., Olejn K. et al. // Nat. Mater. 2012. V. 11. P. 382.
- Sinova J., Valenzuela S.O., Wunderlich J. et al. // Rev. Mod. Phys. 2015. V. 87. P. 1213.
- Chen Y.-T., Takahashi S., Nakayama H. et al. // J. Phys.: Condens. Matt. 2016. V. 28. № 10. Article No. 103004.
- Saitoh E., Ueda M., Miyajima H., Tatara S. // Appl. Phys. Let. 2006. V. 88. № 18. Article No. 182509.
- Константинян К.И., Овсянников Г.А., Шадрин А.В. и др. // ФТТ. 2022. Т. 64. № 10. С. 1429.
- Huang X., Sayed S., Mittelstaedt J. et al. // Adv. Mater. 2021. V. 33. Article No. 2008269.
- Yoo M.-W., Tornos J., Sander A. et al. // Nature Comm. 2021. V. 12. P. 3283.
- Perna P., Maccariello D., Ajejas F. et al. //Adv. Funct. Mater. 2017. V. 27. № 17. Article No. 1700664.
- Ovsyannikov G.A., Shaikhulov T.A., Stankevich K.L. et al. // Phys. Rev. B 2020. V. 102. № 14. Article No. 144401.
- Lee H.K., Barsukov I., Swartz A.G. et al. // AIP Advances. 2016. V. 6. № 5. Article No. 055212.
- Овсянников Г.А., Константинян К.И, Калачев Е.А., Климов А.А. // Письма в ЖТФ. 2022. Т. 48. № 12. С. 44.
- Tserkovnyak Ya., Brataas A., Bauer G.E.W. // Phys. Rev. Lett. 2002. V. 88. № 11. Article No. 117601.
- Dubowik J., Graczyk P., Krysztofik A. et al. // Phys. Rev. Appl. 2020. V. 13. № 5. Article No. 054011.
- Wang Y., Deorani P., Qiu X. et al. // Appl. Phys. Lett. 2014. V. 105. № 15. Article No. 152412.
- Nan T., Anderson T.J., Gibbons J. et al. // Proc. Nat. Acad. Sci. USA. 2019. V. 116. P. 6186.
- Marmion S.R., Ali M., McLaren M. et al. // Phys. Rev. B. 2014. V. 89. № 22. Article No. 220404(R).
- Константинян К.И., Ульев Г.Д., Овсянников Г.А. и др. // Труды XXVII Междунар. cимп. “Нанофизика и наноэлектроника”. Н. Новгород: ИПФ РАН, 2023. Т. 1. С. 221.
Supplementary files








