Магнитные и магнитокалорические характеристики сплава Mn1.9Cu0.1Sb
- Авторы: Митюк В.И.1, Гурбанович А.В.1, Гурбанович А.В.1, Ткаченко Т.М.2, Вальков В.И.3, Головчан А.В.3, Маширов А.В.4, Суровец З.5,6
-
Учреждения:
- Научно-практический центр НАН Беларуси по материаловедению
- Белорусский государственный аграрный технический университет
- Донецкий физико-технический институт им. А.А. Галкина
- Институт радиотехники и электроники им. В.А. Котельникова РАН
- Объединенный институт ядерных исследований
- Институт физики, Университет им. Марии Кюри-Склодовской
- Выпуск: Том 68, № 4 (2023)
- Страницы: 372-377
- Раздел: К 90-ЛЕТИЮ ВЛАДИМИРА ГРИГОРЬЕВИЧА ШАВРОВА
- URL: https://journals.rcsi.science/0033-8494/article/view/138197
- DOI: https://doi.org/10.31857/S0033849423040095
- EDN: https://elibrary.ru/PFWZCE
- ID: 138197
Цитировать
Полный текст
Аннотация
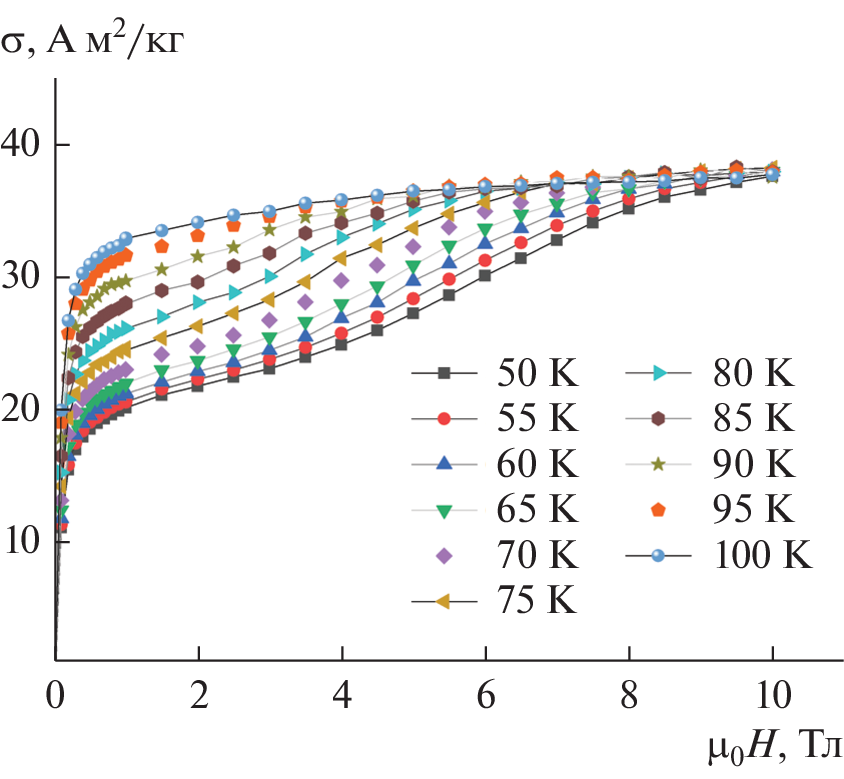
Исследованы магнитные и магнитокалорические характеристики сплава Mn1.9Cu0.1Sb. Установлено наличие относительно резкого уменьшения намагниченности в области 100 К, которое, согласно проведенным первопринципным расчетам можно интерпретировать как переходы антиферромагнетизм–ферримагнетизм. Наличие магнитного фазового перехода из ферримагнитного в антиферромагнитное состояние (Ф ↔ АФ) приводит к появлению обратного магнитокалорического эффекта, который сохраняется в магнитных полях вплоть до 10 Тл.
Об авторах
В. И. Митюк
Научно-практический центр НАН Беларуси по материаловедению
Email: mitsiuk@physics.by
Республика Беларусь, 220072, Минск,
ул. Петруся Бровки, 19, пом. 5
Адам В. Гурбанович
Научно-практический центр НАН Беларуси по материаловедению
Email: mitsiuk@physics.by
Республика Беларусь, 220072, Минск,
ул. Петруся Бровки, 19, пом. 5
Антон В. Гурбанович
Научно-практический центр НАН Беларуси по материаловедению
Email: mitsiuk@physics.by
Республика Беларусь, 220072, Минск,
ул. Петруся Бровки, 19, пом. 5
Т. М. Ткаченко
Белорусский государственный аграрный технический университет
Email: mitsiuk@physics.by
Республика Беларусь, 220012, Минск, проспект Независимости, 99
В. И. Вальков
Донецкий физико-технический институт им. А.А. Галкина
Email: mitsiuk@physics.by
Российская Федерация, 283050, Донецк, ул. Р. Люксембург, 72
А. В. Головчан
Донецкий физико-технический институт им. А.А. Галкина
Email: mitsiuk@physics.by
Российская Федерация, 283050, Донецк, ул. Р. Люксембург, 72
А. В. Маширов
Институт радиотехники и электроники им. В.А. Котельникова РАН
Email: mitsiuk@physics.by
Российская Федерация, 125009, Москва, ул. Моховая, 11, стр. 7
З. Суровец
Объединенный институт ядерных исследований; Институт физики, Университет им. Марии Кюри-Склодовской
Автор, ответственный за переписку.
Email: mitsiuk@physics.by
Российская Федерация, 141980, Дубна, ул. Жолио-Кюри, 6; Польша, 20-031, Люблин,
пл. Марии Кюри-Склодовской, 1
Список литературы
- Shen Q., Batashev I., Zhang F. et al. // J. Alloys Compound. 2021. V. 866. Article No. 158963. https://doi.org/10.1016/j.jallcom.2021.158963
- Zhang H., Gimaev R., Kovalev B. et al. // Physica B: Cond.Matt. 2019. V. 558. P. 65. https://doi.org/10.1016/j.physb.2019.01.035
- Рыжковский В.М. // Металлы. 2001. № 3. С. 59.
- Zhang Y.Q., Zhang Z.D., Xiong D.K. et al. // J. Appl. Phys. 2003. V. 94. № 7. P. 4726. https://doi.org/10.1063/1.1608468
- Matsumoto Y., Orihashi H., Matsubayashi K. et al. // IEEE Trans. 2014. V. MAG-50. № 1. Pt. 1. Article No. 1000704. https://doi.org/10.1109/TMAG.2013.2279536
- Matsumoto Y., Matsubayashi K., Uwatoko Y. et al. // AIP Conf. Proc. 2015. V. 1763. № 2. P. 020005. https://doi.org/10.1063/1.4961338
- Pankratov N.Yu., Mitsiuk V.I., Ryzhkovskii V.M., Nikitin S.A. // J.Magn.Magn.Mater. 2019. V. 470. P. 46. https://doi.org/10.1016/j.jmmm.2018.06.035
- Wolf J.D., Hanlon J.E. // J. Appl. Phys. 1961. V. 32. № 12. P. 2584. https://doi.org/10.1063/1.1728358
- Митюк В.И., Римский Г.С., Коледов В.В. и др. // ФТТ. 2021. Т.63. № 12. С. 2082.
- Ebert H., Kodderitzsch D., Minar J. Munich SPRKKR package, version 8.6. 41 p. München: Ludwig-Maximilians Universität, 2010 https://www.ebert.cup.uni-muenchen.de/sprkkr.
- Ebert H., Kodderitzsch D., Minar J. // Rep. Prog. Phys. 2011. V. 74. № 9. Article No. 096501.
- Vosko S.H., Wilk L. // Phys. Rev. B. 1980. V. 22. № 8. P. 3812. https://doi.org/10.1103/PhysRevB.22.3812
- Liechtenstein A.I., Katsnelson M.I., Antropov V.P., Gubanov V.A. // J. Magn. Magn. Mater. 1987. V. 67. P. 65. https://doi.org/10.1016/0304-8853(87)90721-9
- Вальков В.И., Головчан А.В. // ФНТ. 2008. Т. 34. № 1. С. 53.
- Королев К.А., Сиваченко А.П., Грибанов И.Ф. и др. // Челябинский физ.-мат. журн. 2020. Т. 5. № 4. С. 569. https://doi.org/10.47475/2500-0101-2020-15416
- Рыжковский В.М., Глазков В.П., Гончаров В.С. и др. // ФТТ. 2002. Т. 44. № 12. С. 2178.
Дополнительные файлы









