Лиганды, специфичные к определенным последовательностям пар оснований ДНК. XIX. Синтез, спектральные характеристики, вирусологические и биохимические исследования флуоресцентных симметричных димерных трисбензимидазолов DB3(n)
- Авторы: Арутюнян А.Ф.1, Костюков А.А.2, Королёв С.П.3,4, Готтих М.Б.3,4, Сусова О.Ю.5, Калюжный Д.Н.1, Жузе А.Л.1
-
Учреждения:
- Институт молекулярной биологии им. В.А. Энгельгардта Российской академии наук
- Институт биохимической физики им. Н.М. Эмануэля Российской академии наук
- Химический факультет Московского государственного университета им. М.В. Ломоносова
- Научно-исследовательский институт физико-химической биологии им. А.Н. Белозерского Московского государственного университета им. М.В. Ломоносова
- Институт канцерогенеза Национального медицинского исследовательского центра онкологии им. Н.Н. Блохина
- Выпуск: Том 57, № 3 (2023)
- Страницы: 517-527
- Раздел: СТРУКТУРНО-ФУНКЦИОНАЛЬНЫЙ АНАЛИЗ БИОПОЛИМЕРОВ И ИХ КОМПЛЕКСОВ
- URL: https://journals.rcsi.science/0026-8984/article/view/138638
- DOI: https://doi.org/10.31857/S0026898423030023
- EDN: https://elibrary.ru/CGXJLT
- ID: 138638
Цитировать
Полный текст
Аннотация
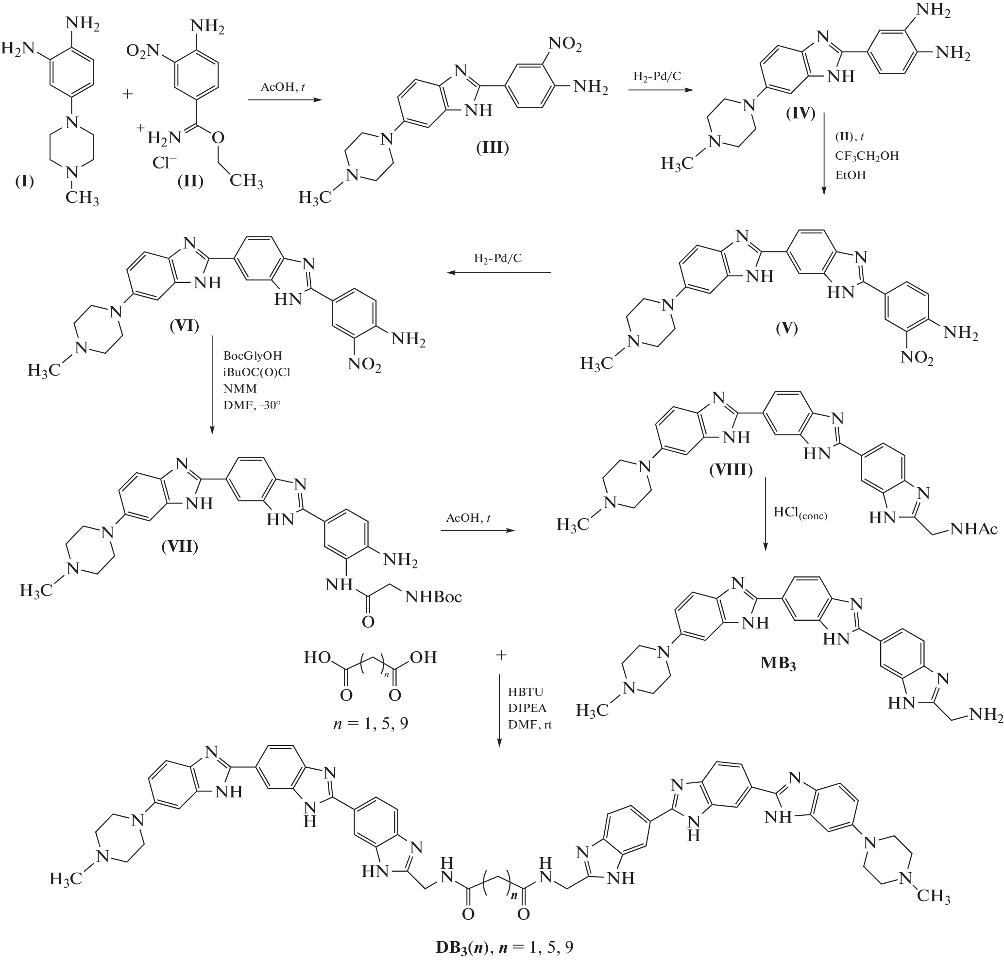
Синтезирована серия новых флуоресцентных узкобороздочных лигандов DB3(n) и охарактеризованы свойства этих лигандов. Соединения DB3(n) на основе димерных трисбензимидазолов обладают способностью связываться с АТ-участками ДНК. Синтез DB3(n), трисбензимидазольные фрагменты которых связаны олигометиленовыми линкерами разной длины (n = 1, 5, 9), основан на конденсации мономерного трисбензимидазола MB3 с α,ω-алкилдикарбоновыми кислотами. DB3(n) в субмикромолярной концентрации (0.20–0.30 мкМ) оказались эффективными ингибиторами каталитической активности интегразы ВИЧ-1. Обнаружено, что DB3(n) ингибирует каталитическую активность ДНК-топоизомеразы I в низких микромолярных концентрациях.
Об авторах
А. Ф. Арутюнян
Институт молекулярной биологии им. В.А. Энгельгардта Российской академии наук
Email: zhuze@eimb.ru
Россия, 119991, Москва
А. А. Костюков
Институт биохимической физики им. Н.М. Эмануэля Российской академии наук
Email: zhuze@eimb.ru
Россия, 119334, Москва
С. П. Королёв
Химический факультет Московского государственного университета им. М.В. Ломоносова; Научно-исследовательский институт физико-химической биологии им. А.Н. БелозерскогоМосковского государственного университета им. М.В. Ломоносова
Email: zhuze@eimb.ru
Россия, 119991, Москва; Россия, 119991, Москва
М. Б. Готтих
Химический факультет Московского государственного университета им. М.В. Ломоносова; Научно-исследовательский институт физико-химической биологии им. А.Н. БелозерскогоМосковского государственного университета им. М.В. Ломоносова
Email: zhuze@eimb.ru
Россия, 119991, Москва; Россия, 119991, Москва
О. Ю. Сусова
Институт канцерогенеза Национального медицинского исследовательского центра онкологии им. Н.Н. Блохина
Email: zhuze@eimb.ru
Россия, 115478, Москва
Д. Н. Калюжный
Институт молекулярной биологии им. В.А. Энгельгардта Российской академии наук
Email: zhuze@eimb.ru
Россия, 119991, Москва
А. Л. Жузе
Институт молекулярной биологии им. В.А. Энгельгардта Российской академии наук
Автор, ответственный за переписку.
Email: zhuze@eimb.ru
Россия, 119991, Москва
Список литературы
- Koval V.S., Arutyunyan A.F., Salyanov V.I., Kostyukov A.A., Melkina O.E., Zavilgelsky G.B., Klimova R.R., Kushch A.A., Korolev S.P., Agapkina Yu.Yu., Gottikh M.B., Vaiman A.V., Rybalkina E.Yu., Susova O.Yu., Zhuze A.L. (2020) DNA sequence-specific ligands. XVIII. Synthesis, physico-chemical properties; genetic, virological, and biochemical studies of fluorescent dimeric bisbenzimidazoles DBPA(n). Bioorg. Med. Chem. 28, 115378.
- Bhaduri S., Ranjan N., Arya Dev P. (2018) An overview of recent advances in duplex DNA recognition by small molecules. Beilstein J. Org. Chem. 14, 1051–1086.
- Rahman A., O′Sullivan P., Rozas I. (2019) Recent developments in compounds acting in the DNA minor groove. Med. Chem. Comm. 10, 26–40.
- Battersby A.R. (1988) Synthetic and biosynthetic studies on vitamin B12. J. Nat. Prod. 51, 643–661.
- Gudmundsson K.S., Freeman G.A., Drach J.C., Townsend L.B. (2000) Synthesis of fluorosugar analogues of 2,5,6-trichloro-1-(β-D-ribofuranosyl)benzimidazole as antivirals with potentially increased glycosidic bond stability. J. Med. Chem. 43, 2473–2478.
- Skalitzky D.J., Marakovits J.T., Maegley K.A., Ekker A., Yu X.H., Hostomsky Z., Webber S.E., Eastmn B.W., Almassy R., Li J., Curtin N.J., Newell D.R., Calvert A.H., Griffin R.J., Golding B.T. (2003) Tricyclic benzimidazoles as potent poly(ADP-ribose) polymerase-1 inhibitors. J. Med. Chem. 46, 210–213.
- He C.Y., Yang J., Wu B.-G., Risen L., Swayze E.E. (2004) Synthesis and biological evaluations of novel benzimidazoles as potential antibacterial agents. Bioorg. Med. Chem. Lett. 14, 1217–1220.
- Seth P.P., Miyaji A., Jefferson E.A., Kristin S.-L., Osgood S.A., Propp S.S., Ranken R., Massire C., Sampath R., Ecker D.J., Swayze E.E., Griffey R.H. (2005) SAR by MS discovery of a new class of RNA-binding small molecules for the hepatitis C virus: internal ribosome entry site IIA subdomain. J. Med. Chem. 48, 7099–8102.
- Tanious F.A., Hamelberg D., Bailly C., Czarny A., Boykin D.W., Wilson W.D. (2004) DNA sequence dependent monomer–dimer binding modulation of asymmetric benzimidazole derivatives. J. Am. Chem. Soc. 126, 143–153.
- Bailly C., Chessari G., Carrasco C., Joubert A., Mann J., Wilson W.D., Neidle S. (2003) Sequence-specific minor groove binding by bis-benzimidazoles: water molecules in ligand recognition. Nucl. Acids Res. 31, 1514–1524.
- Keri R.S., Hiremathad A., Budagumpi S.I., Nagaraja B.M. (2015) Comprehensive review in current developments of benzimidazole-based medicinal chemistry. Chem. Biol. Drug Des. 86, 19–65.
- Latt S.A., Stetten G., Juergens L.A., Buchanan G.R., Gerald P.S. (1975) Comprehensive review in current developments of benzimidazole-based medicinal chemistry. J. Histochem. Cytochem. 23, 493–505.
- Громыко А.В., Салянов В.И., Стрельцов С.А., Олейников В.А., Королев С.П., Готтих М.Б., Жузе А.Л. (2007) Лиганды, специфичные к определенным последовательностям пар оснований ДНК. XIII. Новые димерные молекулы Хёхста 33258 – ингибиторы интегразы ВИЧ-1 in vitro. Биоорган. химия. 33, 613–623.)
- Королев С.П., Ташлицкий В.Н., Смолов М.А., Громыко А.В., Жузе А.Л., Агапкина Ю.Ю., Готтих М.Б. (2010) Ингибирование интегразы ВИЧ-1 димерными бисбензимидазолами с различной структурой линкера. Молекуляр. биология. 44, 718–727.
- Leh H., Brodin P., Bischerour J., Deprez E., Tauc P., Brochon J.C., LeCam E., Coulaud D., Auclair C., Mouscadet, J.F. (2000) Determinants of Mg-dependent activities of recombinant human immunodeficiency virus type 1 integrase. Biochemistry. 39, 9285–9294.
- Евдокимов Ю.М. Салянов В.И., Нечипуренко Ю.Д., Скуридин С.Г., Захарова М.А., Спенер Ф., Палумбо М. (2003) Молекулярные конструкции (суперструктуры) с регулируемыми свойствами на основе двухцепочечных нуклеиновых кислот. Молекуляр. биология. 37, 340–355.
- Yevdokimov Yu.M., Skuridin S.G., Nechipurenko Y.D., Zakharov M.A., Salyanov V.I., Kurnosov A.A., Kuznetsov V.D., Nikiforov V.N. (2005) Nanoconstructions based on double-stranded nucleic acids. Int. J. Biol. Macromol. 36,103–115.
- Pjura P.E., Grzeskowiak K., Dickerson R.E. (1987) Binding of Hoechst 33258 to the minor groove of B‑DNA. J. Mol. Biol. 197, 257–271.
- Teng M.K., Usman N., Frederick C.A., Wang A.H. (1988) The molecular structure of the complex of Hoechst 33258 and the DNA dodecamer d(CGCGAATTCGCG). Nucl. Acids Res.16, 2671–2690.
- Pommier Y., Johnson A.A., Marchand C. (2005) Integrase inhibitors to treat HIV/AIDS. Nat. Rev. Drug Discov. 4, 236–248.
- Leung C.H., Chan D.S.-H., Ma V.P.-Y., Ma D.-L. (2013) DNA-binding small molecules as inhibitors of transcription factors. Med. Res. Rev. 33, 823–846.
Дополнительные файлы










