Динамика филаментации СВЧ-разряда в азоте при высоком давлении
- Authors: Сайфутдинова А.А.1, Мардеев A.Р.1, Галиев A.А.1, Германов Н.П.1, Сайфутдинов A.И.1
-
Affiliations:
- КНИТУ-КАИ им. А.Н. Туполева
- Issue: Vol 58, No 2 (2024)
- Pages: 164-172
- Section: PLASMA CHEMISTRY
- URL: https://journals.rcsi.science/0023-1193/article/view/262560
- DOI: https://doi.org/10.31857/S0023119324020146
- EDN: https://elibrary.ru/VRJVJP
- ID: 262560
Cite item
Full Text
Abstract
В работе в рамках численных расчетов представлена динамика филаментации импульсного СВЧ-разряда в азоте, генерируемого в пучности стоячей электромагнитной волны при давлении 100 Торр. Представлены результаты динамики основных параметров плазмы: концентрации заряженных и возбужденных частиц, температуры газа, колебательной температуры азота.
Keywords
Full Text
Введение
Неравновесная газоразрядная плазма, генерируемая микроволновым излучением в атомарных и молекулярных газах при различных давлениях, является актуальной для многих приложений. Микроволновые разряды используются в качестве источника активных частиц в плазмохимическом синтезе [1–5], в стерилизации и плазменной биомедицине [6–9], в решении ряда экологических проблем [10], в задачах аналитической химии [11, 12]. Одним из актуальных направлений экспериментальных исследований является использование безэлектродных микроволновых разрядов в ракетных двигателях [13], плазменных двигателях [14] и аэродинамических приложениях [15–20].
Несмотря на постоянный интерес исследователей и значительный прогресс в исследовании микроволновых разрядов остается много открытых проблем, одной из которых является самосогласованное описание динамики перехода из диффузного в филаментированную форму СВЧ-разряда. В зависимости от этих режимов разрядов наблюдается различное поведение разряда со сверхвысокочастотной электромагнитной волной.
На сегодняшний день моделирование СВЧ-разряда основано, как правило, на гидродинамическом описании плазмы. При этом используется два варианта его реализации. Первый вариант основан на учете подробной кинетики элементарных процессов [21–24]. В этом случае модели формулируются в одномерной постановке. Учитывается уравнение Гельмгольца, описывающее плоскую электромагнитную (ЭМ) волну, и система гидродинамических уравнений для каждой компоненты газоразрядной плазмы. Такого подхода достаточно для изучения газового разряда в относительно узкой области за короткий промежуток времени [21–24].
В случае, когда необходимо воспроизвести плазменные структуры рассматриваются двумерные и трехмерные модели, основанные на системе уравнений Максвелла или уравнении Гельмгольца, уравнении амбиполярной диффузии, а также уравнении баланса энергии для тяжелой компоненты плазмы и системе уравнений Навье–Стокса [25–30]. Такой подход позволяет воспроизвести динамику филаментов, полученных в экспериментах. Однако состав плазмы и основные каналы нагрева газа в области формирования разряда не удается исследовать.
Очевидно, что при конструировании плазмохимический реакторов, плазмодинамических актуаторов и других плазменных приборов и устройств необходимо учитывать детальную кинетику элементарных процессов в плазме, двумерный (или трехмерный) характер формирования плазмоида, а также теплофизические и газодинамические процесса в области образования разряда.
Представленная работа является развитием предыдущих работ [30–32] в этом направлении и посвящена исследованию динамики перехода из диффузной формы в филаментированную форму СВЧ-разряда в азоте при высоком давлении.
Описание модели
В общем случае для описания СВЧ-разряда необходимо решать уравнения Максвелла. Поскольку СВЧ-электромагнитное поле колеблется быстрее, чем изменяются диэлектрические свойства плазмы, можно воспользоваться упрощающим предположением. Электрическое поле, изменяющееся во времени, может быть записано в виде E(r)exp(iωt), где r – пространственная координата, и тогда уравнения Максвелла сводятся к одному комплексному уравнению для электрического поля E(r) ≡ E волны (уравнение типа Гельмгольца)
(1)
где
(2)
Здесь s — электропроводность плазмы, nel – частота упругих столкновений электронов с нейтральными частицами; f = ω/(2p) – микроволновая частота; mr – магнитная проницаемость среды; er – диэлектрическая проницаемость среды; ωpe = (e2ne/e0me)1/2 – плазменная частота.
Для рассматриваемой расчетной области, в которой формируется разряд относительная диэлектрическая проницаемость равна единице, а плотность тока плазмы может быть выражена следующим образом:
J = sE. (3)
Решение уравнения (3) с соответствующими граничными условиями позволяет рассчитать мощность, передаваемую от электромагнитного поля электронам:
(4)
В уравнении (3), Re обозначает действительную часть соответствующего выражения, а E* является комплексно-сопряженной величиной E.
Для определения пространственно-временных характеристик СВЧ-разряда запишем расширенную гидродинамическую модель. Модель включает k уравнений химической кинетики для концентраций nk всех сортов частиц (нейтральных, возбужденных частиц, электронов и ионов), уравнение для плотности энергии электронов ne, уравнение Пуассона для самосогласованного электрического поля Es в плазме, который, в свою очередь, связан с электрическим потенциалом φ:
(5)
(6)
(7)
Первое и второе слагаемые в правой части уравнения (6) соответствуют Джоулеву нагреву в самосогласованном электрическом поле в плазме -eEs · Гe и Джоулеву нагреву во внешнем СВЧ-электромагнитном поле, который по сути представляет собой мощность передаваемую от СВЧ-волны электронам Qrh. Остальные переменные подробно описаны в работе [31].
Для описания газодинамических эффектов и нагрева газа модель дополняется уравнениями Навье–Стокса, уравнением баланса энергии для тяжелых частиц плазмы и уравнением релаксации колебательной энергии молекул азота:
(8)
(9)
(10)
(11)
Здесь r и p – плотность и давление газа соответственно, u – скорость газа, Ev – удельная энергия колебаний, m – коэффициент вязкости, L – коэффициент поступательной теплопроводности. Удельная энтальпия hh поступательных и вращательных степеней свободы тяжелых частиц связана с энтальпиями частиц hh = SkYkhk, где Yk – массовая доля k-й частицы, hk = ∫C *p,kdT, где – удельная теплоемкость при постоянном давлении для k-й частицы без учета вклада колебательных степеней свободы. Слагаемое SkhkГk в уравнении (8) соответствует потоку энтальпии, обусловленному диффузией. Энергообразование связано с рекомбинационными реакциями Qrec = SrecerecRrec, скорость и коэффициент которых зависят от молекулярного иона; Qelectronic = Sl el Rl – доля энергии, которая передается нагрев нейтральных частиц в результате диссоциации N2 электронным ударом и тушения электронно-возбужденных молекул азота [31]. Последние слагаемые в уравнениях (8) и (9) описывают VT-релаксацию (колебательно-поступательную) и рассчитываются с использованием подхода Ландау–Теллера, QVT = (Ev – Ev0)/tVT, где Ev0 – локальная равновесная колебательная энергия, tVT – время VT-релаксации при столкновениях колебательно возбужденных молекул N2(v) с молекулами и атомами. Полный набор элементарных процессов в азоте включал реакции с участием следующих сортов частиц: N2, N, N2(A), N2(B), N2(C), N2(a1), N(d), N(p), N+, N2+, N4+. Более подробно, набор представлен в работе [31].
Геометрия расчетной области и граничные условия
На практике представляет интерес исследование деталей формирования и динамики одиночного микроволнового плазмоида, его вытягивание вдоль электрического поля в плазменных приборах и устройствах. В связи с эти рассмотрим модельную задачу. Для этого сформулированные уравнения (1)–(11) для описания микроволнового разряда будем решать для геометрии, представленной на рис. 1.
Рис. 1. Двумерная расчетная область, для описания динамики плазмоида в пучности стоячей электромагнитной волны.
Размер области моделирования составляет 0.4ë × 2ë. Чтобы в расчетной области сформировался один плазмоид, мы рассмотрим две падающие идентичные линейно поляризованные волны с обеих сторон двумерной прямоугольной области моделирования в противоположных направлениях для формирования стоячей волны. Другими словами, на верхней и нижней горизонтальной границах расчетной области ставились следующие граничные условия
(12)
При этом предполагается, что волна распространяется через открытые вертикальные границы расчетной области без отражения, поэтому там было наложено условие рассеяния второго порядка
(13)
В этой конфигурации расчетной области и падающих волн в стоячей волне есть только одна пучность. В работе предполагалось, что с обеих длинных сторон расчетной области падают электромагнитные волны с амплитудой E0 = 1.7 кВ/см и частотой 9.6 ГГц, то есть максимальное среднеквадратичное значение поля стоячей волны составляет 5.4 кВ/см, что превышает значение критического поля при данных условиях в азоте.
Остальные граничные условия записывались в следующем виде
(14)
(15)
(16)
(17)
(18)
(19)
(20)
Здесь и – средние тепловые скорости электронов и атомов азота соответственно (T в эВ). В качестве начальных условий предполагалось, однородное распределение концентрации электронов, ионов и возбужденных частиц со значением, равным 105 m-3. Начальные плотности положительных ионов устанавливаются в соответствии с балансом заряда и процессами преобразования заряженных частиц в активной фазе и фазе послесвечения:
(21)
Начальные значения электронной, колебательной и газовой температур устанавливались равными 293 К.
Следует подчеркнуть, что уравнение (1) решается в частотном диапазоне, а уравнения (5)–(11) решались во временном представлении. При этом параметры, входящие в уравнения (5)–(11), предполагаются усредненными за один период СВЧ-поля.
Результаты численных расчетов
Численные расчеты были проводились в коммерческом лицензионном пакете Comsol Multiphysics в базовом модуле методом конечных элементов. Дискретизация расчетной области проводилась с помощью треугольной сетки. Для наилучшего разрешения градиентов концентрации заряженных и возбужденных частиц размеры ячейки выбирались не более l/100.
Перейдем к результатам численных расчетов. Так, на рис. 2, 3 представлены распределения концентрации электронов, среднеквадратичного значения напряженности электрического поля, а также температуры газа и колебательной температуры азота в расчетной области в различные моменты времени при давлении азота 100 Торр и частоте СВЧ поля 9.6 ГГц.
Рис. 2. Пространственные распределения концентрации электронов (слева) и среднеквадратичного значения напряженности электрического поля (справа) в различные моменты времени.
Рис. 3. Пространственные распределения температуры газа (слева) и колебательной температуры азота (справа) в различные моменты времени.
Видно, что максимум напряженности электрического поля наблюдается в центральной области и составляет 5.4 кВ/см. К моменту времени t = 2 мкс концентрация электронов достигает значения 1020 м-3. При этом значении плазмоид начинает искажать внешнее электрическое поле.
К моменту времени t = 3–5 мкс плазмоид вытягивается до длины, равной ~2 см. Наблюдается диффузная форма разряда. Температура азота при этом увеличивается до 588 K. Колебательная температура азота увеличивается до 1345 К. С момента времени 5 мкс и далее концентрация электронов начинает стягиваться к центру плазмоида и к моменту времени 7 мкс СВЧ-разряд из диффузной формы переход в контрагированную. Максимальное значение концентрации электронов достигает значения 4.5 · 1020 м-3 в момент времени t = 10 мкс. В этом режиме внешнее электрическое поле уже не проникает в СВЧ-плазмоид. При этом в контрагированном режиме наблюдается интенсивный нагрев газа в области разряда. К моменту времени t = 15 мкс наблюдается некоторое снижение концентрации электронов до значения 2.6 · 1020 м-3. Температура газа увеличивается до 2160 К, а колебательная температура азота до 3070 К.
На рис. 4 представлены пространственные распределения различных сортов ионов в момент времени t = 15 мкс. Видно, что доминирующим сортом ионов является атомарный ион N+. Максимальные значения концентраций ионов N2+, N3+ и N4+ наблюдаются на концах плазмоида, вытянутого вдоль колеблющегося вектора напряженности электрического поля.
Рис. 4. Пространственные распределения различных сортов ионов в момент времени t = 15 мкс.
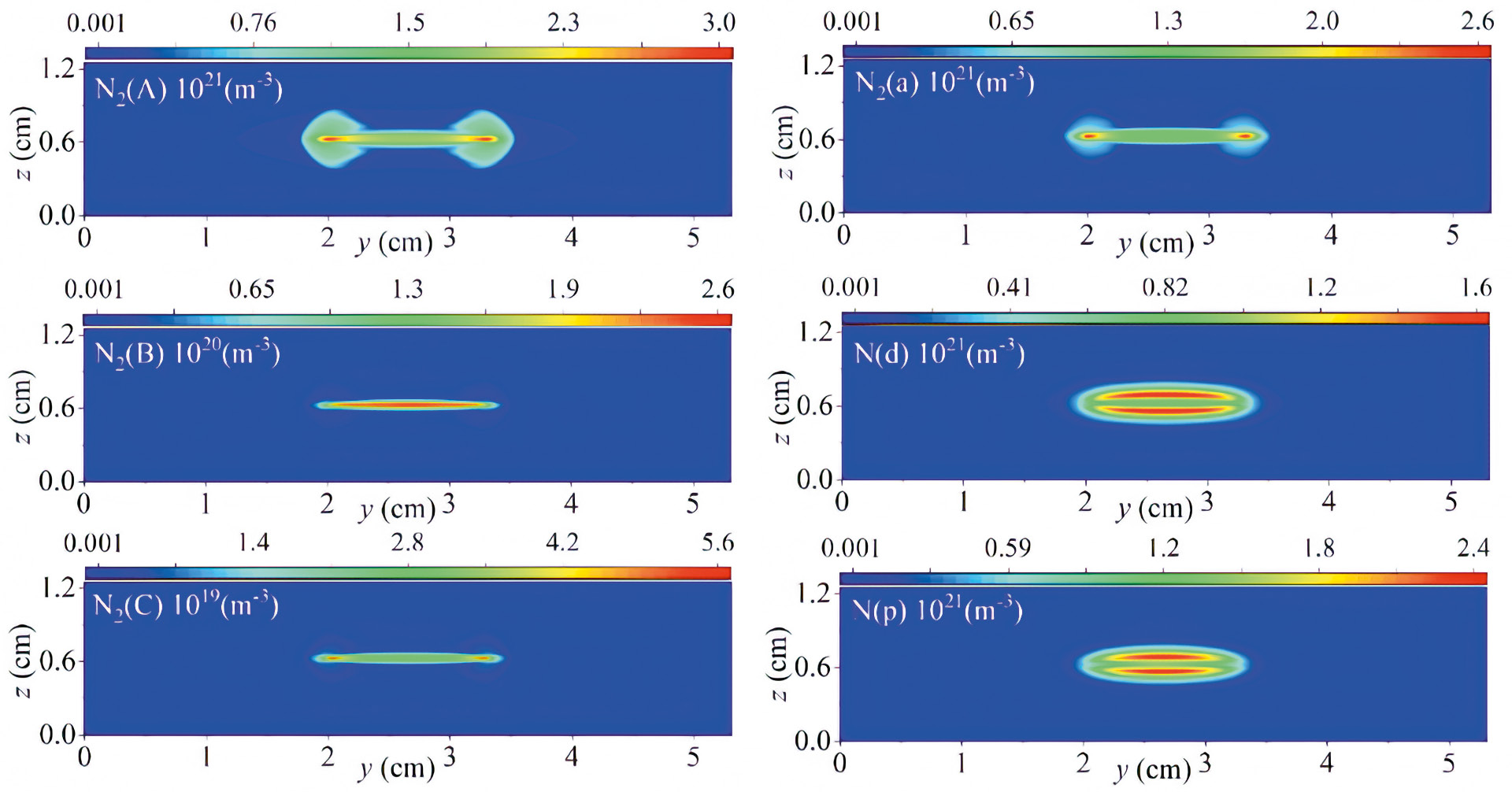
На рис. 5 представлены пространственные распределения концентраций различных сортов возбужденных частиц.
Рис. 5. Пространственные распределения концентраций различных сортов возбужденных частиц в момент времени t = 15 мкс.
Видно, что в контрагированном режиме концентрации возбужденных частиц N2(A), N2(a1), N(d), N(p) принимают близкие значения. При этом максимумы N2(A) и N2(a1) наблюдаются на полюсах плазмоида, а максимумы N(d) и N(p) наблюдаются на периферии плазмоида.
На рис. 6 представлена динамика изменения концентраций заряженных и возбужденных частиц в центре плазмоида в различные моменты времени. Видно, что резкий рост концентраций заряженных и возбужденных частиц наблюдается до момента времени 2 мкс. Происходит, так называемый СВЧ-пробой. Далее концентрация заряженных частиц до момента времени 4 мкс слабо падает. Происходит вытягивает плазмоида. При этом он имеет диффузную форму.
Рис. 6. Динамика изменения концентраций заряженных и возбужденных частиц в центре плазмоида в различные моменты времени.
С времени 5 мкс момента концентрация заряженных и возбужденных частиц начинает увеличиваться и к моменту времени 9–10 мкс достигает максимальных значений. СВЧ-разряд из диффузной формы переходит в контрагированную. При этом переходе наблюдается смена плазмообразующего иона с N4+ на N+.
Увеличивается и концентрация возбужденных атомарных частиц азота. Это обусловлено увеличением температуры газа и возрастанием роли электронной диссоциации. В контрагированном режиме внешнее электрическое поле не проникает в центр плазмоида. Наблюдается некоторое снижение концентраций заряженных и возбужденных частиц.
Отметим, что что основными каналами рождения электронов на малых временах (до 2 мкс) является ударная ионизация, а на временах больших 2 мкс являются реакции ассоциативной ионизации. Основным каналом стока электронов, является реакция рекомбинации при участии ионного комплекса N4+.
В диффузном режиме горения СВЧ-разряда в момент времени 3 мкс рождение электронов преобладает во всей разрядной области над объемной рекомбинацией. Однако в филаментированном (или контрагированном) режиме в момент времени 14 мкс рождение электронов преобладает лишь в узкой части посередине разрядной области, тогда как в остальной части преобладает объемная рекомбинация. Это связано с тем, что с увеличением времени, происходит неравномерный разогрев газа с максимумом в центре разрядной области, который приводит к вытеснению нейтральных частиц азота к периферии. Это приводит к росту приведенного значения напряженности электрического поля в приосевых областях и его резком уменьшении при движении к периферии разряда. Поскольку скорость ионизации экспоненциально зависит от величины E/N, то уже незначительное увеличение этого параметра на оси плазмоида приводит к сильному стягиванию зоны ионизации. С другой стороны, рост концентрации электронов приводит к увеличению межэлектронных столкновений и как следствие к максвеллизации функции распределения электронов на оси СВЧ-плазмоида. Это в свою очередь также приводит к увеличению степени ионизации на оси плазмоида и его стягиванию в узкий филамент.
При этом гибель электронов в результате объемной рекомбинации начинает доминировать на периферии разряда. Таким образом, основным механизмом перехода из диффузной формы в филаментированную является ионизационно-перегревая неустойчивость.
Заключение
В работе сформулирована самосогласованная физико-математическая модель СВЧ-разряда, описывающая его динамику в пучности стоячей электромагнитной волны. Модель учитывает достаточно подробную кинетику элементарных процессов, теплофизически и газодинамические процессы в области формирования разряда, а также двумерных характер формирования плазмоида. Результаты численных расчетов для разряда в азоте при давлении 100 Торр продемонстрировали динамику СВЧ-пробоя, вытягивания микроволнового плазмоида и его переход из диффузной в контрагированную форму. Представлена динамика изменения концентрации заряженных и возбужденных частиц плазмы при смене режима горения разряда.
Сформулированная модель и полученные численные результаты могут быть полезным инструментом при создании реальных плазменных устройств, таких как плазмохимические реакторы для синтеза различных типов наноструктур, плазмодинамических актуаторов для управления обтеканием тем в сверхзвуковых потоках и в качестве источника ионов в современных масс-спектрометрах.
Источники финансирования
Исследование выполнено за счет гранта Российского научного фонда № 23-21-00276, https://rscf.ru/project/23-21-00276/.
About the authors
А. А. Сайфутдинова
КНИТУ-КАИ им. А.Н. Туполева
Author for correspondence.
Email: aliya_2007@list.ru
Russian Federation, 420111, Казань, ул. Карла Маркса, 10
A. Р. Мардеев
КНИТУ-КАИ им. А.Н. Туполева
Email: aliya_2007@list.ru
Russian Federation, 420111, Казань, ул. Карла Маркса, 10
A. А. Галиев
КНИТУ-КАИ им. А.Н. Туполева
Email: aliya_2007@list.ru
Russian Federation, 420111, Казань, ул. Карла Маркса, 10
Н. П. Германов
КНИТУ-КАИ им. А.Н. Туполева
Email: aliya_2007@list.ru
Russian Federation, 420111, Казань, ул. Карла Маркса, 10
A. И. Сайфутдинов
КНИТУ-КАИ им. А.Н. Туполева
Email: as.uav@bk.ru
Russian Federation, 420111, Казань, ул. Карла Маркса, 10
References
- Lebedev Y.A., Averin K.A., Borisov R.S. et al. // High Energy Chem, 2018. V. 52. № 324. P. 324–329.
- Averin K.A., Lebedev Yu.A., Tatarinov A.V. // High Energy Chem, 2019. V. 53. V. 4. P. 331–335.
- Lebedev Yu.A. // High Temperature. 2018. V. 56. № 5. P. 811–820.
- Tsyganov D., Bundaleska N., Tatarova E., Dias A., Henriques J., Rego A., Ferraria A., Abrashev M.V., Dias F.M., Luhrs C.C., Phillips J. // Plasma Sources Science and Technology. 2015. V. 25. № 015013. P. 1–22.
- Napalkov O.G., Saifutdinov A.I., Saifutdinova A.A., Timerkaev B.A. // High Energy Chemistry. 2021. V. 55. № 6. P. 525–530.
- Krčma F., Tsonev I., Smejkalová K., Truchlá D., Kozáková Z., Zhekova M., Marinova P., Bogdanov T., Benova E. // Journal of Physics D: Applied Physics. 2018. V. 51. № 41. P. 414001.
- Сhen Z., Xia G., Zou C., Li P., Hu Y., Ye Q., Eliseev S., Stepanova O., Saifutdinov A.I., Kudryavtsev A.A., Liu M. // Journal of Applied Physics. 2015. V. 118. P. 023307.
- Xia G., Chen Z., Saifutdinov A. I., Eliseev S., Hu Y., Kudryavtsev A.A. //IEEE Transactions on Plasma Science. 2014. V. 42. № 10. P. 2768–2769.
- Kang S.K., Kim H.Y., Yun G.S., Lee J.K. // Plasma Sources Science and Technology. 2015. V. 24. № 3. P. 035020 1–12.
- Todorova Y., Yotinov I., Topalova Ya., Benova E., Marinova P., Tsonev I., Bogdanov T. // Environmental technology. 2019. V. 40. № 28. P. 3783–3792.
- Vautz W., Michels A., Franzke J. // Analytical and bioanalytical chemistry. 2008. V. 391. P. 2609–2615.
- Dai J., Zhao Zh., Liang G., Duan Y. A novel microwave-induced plasma ionization source for ion mobility spectrometry // Scientific reports. 2017. V. 7. № 1. P. 1–9.
- Fukunari M., Komurasaki K., Nakamura Y., Oda Y., Sakamoto K. // Journal of Energy and Power Engineering. 2017. V. 11. № 6. P. 363–371.
- Diamant K.D., Zeigler B.L., Cohen R.B. // Journal of propulsion and power. 2007. V. 23. № 1. P. 27–34.
- Knight D. // Aerospace Lab. 2015. № 10. P. AL10-02 1–12.
- Azarova O.A., Knight D.D. // Aerospace Science and Technology. 2015. V. 43. P. 343–349.
- Khodataev K.V. Microwave discharges and possible applications in aerospace technologies // Journal of Propulsion and Power. 2008. V. 24. № 5. P. 962–972.
- Shibkov V.M. Microwave Discharges and Their Application. I. Surface Microwave Discharge // Moscow University Physics Bulletin. 2019. V. 74. P. 421–437.
- Lashkov V.A., Karpenko A.G., Khoronzhuk R.S., Mashek I.Ch. // Physics of Plasmas. 2016. V. 23. № 5. P. 052305 1–6.
- Bonaventura Z., Trunec D., Meško M., Vašina P., Kudrle V. // Journal of Physics D: Applied Physics. 2007. V. 41. № 1. P.015210 1–9.
- Semenov V.E., Rakova E.I., Glyavin M.Yu., Nusinovich G.S. // Physics of Plasmas. 2016. V. 23. № 7. P. 073109 1–11.
- Zhao P., Guo L., Shu P. // Physics of Plasmas. 2016. V. 23. № 9. P. 092105 1–5.
- Yang W., Zhou Q., Dong Z. // Journal of Applied Physics. 2018. V. 123. № 1. P. 013301 1–9.
- Chaudhury B., Boeuf J.P., Zhu G.Q. // Physics of Plasmas. 2010. V. 17. № 12. P. 123505 1–11.
- Chaudhury B., Boeuf J.-P., Zhu G.-Q. Pascal O. // Journal of Applied Physics. 2011. V. 110. № 11. P. 113306 1–8.
- Kourtzanidis K., Boeuf J.P., Rogier F. // Physics of Plasmas. 2014. V. 21. № 12. P. 123513 1–8.
- Arcese E., Rogier F., Boeuf J.P. // Frontiers in Physics. 2019. V. 7. 26. P. 1–16.
- Kourtzanidis K., Rogier F., Boeuf J.P. // Journal of Applied Physics. 2015. V. 118. № 10. P. 103301 1–9.
- Saifutdinov A.I., Kustova E.V., Karpenko A.G., Lashkov V.A. // Plasma Physics Reports. 2019. V. 45. № 6. P. 602–609.
- Saifutdinov A.I., Kustova E.V. // Journal of Applied Physics. 2021. V. 129. № 2. 023301 1–15.
- Напалков О.Г., Кустова Е.В., Сайфутдинов А.И. // Физико-химическая кинетика в газовой динамике. 2023. Т. 24. вып. 5. С. 1–17.
Supplementary files








