Радиационно-химическое разрушение малонового диальдегида в водных растворах
- Authors: Лютова Ж.Б.1,2, Маркова М.A.1,2, Юдин И.В.1
-
Affiliations:
- Санкт-Петербургский государственный технологический институт (технический университет)
- Национальный исследовательский центр “Курчатовский Институт” — Петербургский институт ядерной физики
- Issue: Vol 58, No 2 (2024)
- Pages: 132-136
- Section: RADIATION CHEMISTRY
- URL: https://journals.rcsi.science/0023-1193/article/view/262538
- DOI: https://doi.org/10.31857/S0023119324020083
- EDN: https://elibrary.ru/VRSDIU
- ID: 262538
Cite item
Full Text
Abstract
Методами УФ-спектрометрии, ВЭЖХ и химического анализа изучен процесс радиолиза малонового диальдегида (МДА) в кислых (рН 3) и щелочных (рН 11) водных растворах. Обнаружено, что в кислой среде РХВ разрушения МДА при концентрациях больше 3×10-4 М превышает 10 молекул/100 эВ, что свидетельствует о протекании цепных процессов. Установлено, что в процессе цепного разложения МДА важную роль играет растворенный кислород. Предложена система реакций, объясняющих результаты экспериментов.
Full Text
Введение
Как было показано ранее, среди продуктов радиолиза водных растворов углеводов и многоатомных спиртов присутствует малоновый диальдегид (МДА) и близкие к нему по химической структуре непредельные карбонильные соединения [1, 2]. По мере увеличения поглощенной образцом дозы, и концентрация этих соединений, и радиационно-химический выход (РХВ) их образования проходят через максимум [1], что свидетельствует об их разрушении при больших величинах поглощенных доз, т.е. о вторичном радиолизе.
Еще одним следствием этого факта могла бы стать зависимость РХВ разрушения обсуждаемых продуктов от значения их концентрации, поскольку в случае отсутствия такого влияния с увеличением поглощенной дозы либо происходило бы линейное накопление продуктов, либо они бы не успевали образоваться вовсе (в случае, когда РХВ разрушения превышает РХВ образования).
С учетом высказанных выше соображений цель нашей работы сводилась к изучению влияния исходной концентрации МДА в водных растворах на РХВ его разрушения.
Экспериментальные методики, в целом, не отличались от использованных ранее [1, 2]. МДА синтезировали по реакции периодатного окисления 2-дезокси-Д-рибозы. Его концентрацию в растворе контролировали хроматографически, спектрофотометрически и методом химического анализа с тиобарбитуровой кислотой (ТБК). Хроматографический анализ проводили с использованием хроматографа Милихром-6 (НПАО “Научприбор”), колонка с сорбентом Силасорб Амин. В качестве элюента использовали раствор ацетонитрил–вода в соотношении 1 : 1. Хроматограммы регистрировали при двух длинах волн – 240 и 270 нм. Для проведения спектрофотометрических анализов использовали спектрофотометр СФ-2000 (ООО “ОКБ Спектр”). Облучение водных растворов проводили в контакте с воздухом на оригинальной бета-установке (источники типа БИС-20, 90Sr-90Y), мощность дозы 150 Гр/ч.
Результаты и обсуждение
В ходе предварительных экспериментов было показано, что концентрация МДА в исходных растворах остается стабильной при их хранении в обычных условиях в течение двух-трех суток после синтеза. Сам же процесс облучения растворов длился не более суток.
Приведенные на рис. 1 спектры оптического поглощения облученных растворов МДА в кислой (рН 3) и щелочной (рН 11) средах отчетливо свидетельствуют о закономерном уменьшении интенсивности полос поглощения МДА с ростом дозы облучения.
Рис. 1. Спектры оптического поглощения растворов МДА (pH 3; С = 7 × 10-5 М) (а) и (pH 11; С = 8 × 10-6 М) (б) при различных величинах поглощенных доз.
Значительное влияние на процесс разрушения МДА оказывает растворенный кислород. При этом наибольший РХВ разрушения МДА зафиксирован в кислых растворах, насыщенных кислородом (табл. 1).
Таблица 1. Влияние присутствия кислорода на РХВ разрушения МДА
Растворитель | Насыщен кислородом | Насыщен воздухом | ||||
pH 3 | pH 11 | pH 3 | pH 11 | |||
C × 104, М | 29.0 | 11.0 | 2.9 | 29.0 | 11.0 | 2.9 |
РХВ(-МДА), мол-л/100 эВ | 87.0 | 35.0 | 1.6 | 28.0 | 11.0 | 1.2 |
На хроматограммах исходного и облученного образцов МДА (рис. 2) видно, что рядом с пиком МДА (время удержания τ = 4.6 мин) в облученном образце становится значительно более выраженным пик молекулярного продукта с большим временем удержания (τ = 6.2 мин). При этом в спектрах поглощения проявляется полоса с λmax = 280 нм (рис. 1а). Поскольку в условиях проведения наших экспериментов мы можем фиксировать лишь непредельные сопряженные продукты (т.е. молекулы с e > 103 дм3/моль · см), можно констатировать, что в результате разрушения одного вида непредельных молекул (МДА) происходит образование соединений другого типа, также являющихся непредельными.
Рис. 2. Хроматограммы аэрированных растворов МДА (pH 3; С = 7 × 10-5 М).
На рис. 3 обобщены результаты совокупности экспериментальных данных по влиянию исходной концентрации МДА на РХВ его разрушения, полученные различными методами.
Рис. 3. Зависимость РХВ от концентрации раствора МДА в кислой (а) и щелочной (б) средах, полученная различными методами (1 – спектрофотометрическим, 2 – хроматографическим, 3 – спектрофотометрическим с ТБК).
Радиолиз непредельных карбонильных соединений может протекать по двум различным механизмам [3]: либо путем взаимодействия сольватированного электрона с карбонильной группой (реакция (1)), либо по реакции присоединения радикалов •Н и •ОН (реакции (2), (3)) к двойной углерод-углеродной связи.
(1)
(2)
(3)
В результате дополнительного эксперимента, в котором радиолиз растворов МДА проводили в атмосфере закиси азота (N2O), мы наблюдали почти двукратное увеличение РХВ разрушения МДА по сравнению с обычными условиями. Этот эффект однозначно свидетельствует о том, что основной реакционноспособной частицей, взаимодействующей с молекулой МДА является радикал •ОН, поскольку в условиях описываемого эксперимента происходит почти количественная конверсия сольватированных электронов в эти частицы (реакции (4), (5)).
, (4)
. (5)
Однако даже если предположить, что все образовавшиеся при радиолизе воды гидроксильные радикалы израсходуются на взаимодействие с молекулами МДА, то РХВ разрушения объектов исследования не превысит 2.7 молекул/100 эВ. В действительности же, при радиолизе кислых растворов МДА с концентрациями порядка 10-3–10-2 М экспериментально зафиксированный нами выход разрушения в разы превышает это значение, достигая 20–30 молекул/100 эВ. Это свидетельствует о протекании в реакционной системе короткоцепных реакций.
Похожую ситуацию наблюдали авторы работы [4], изучавшие радиолиз глицеринового альдегида в водном растворе. Для объяснения зафиксированного ими аномально большого значения РХВ образования уксусной кислоты (G = 12 молекул/100 эВ) они предложили такую последовательность процессов.
В водном растворе часть молекул глицеринового альдегида существуют в гидратированной форме (реакция (6)).
. (6)
Взаимодействие этих молекул с гидроксильным радикалом приводит к образованию углеродцентрированного радикала с двумя гидроксильными группами. Именно эти радикалы могут быть источником молекул уксусной кислоты после протекания реакции дегидратации с миграцией валентности (реакции (7), (8))
, (7)
. (8)
Регенерация исходных радикалов при этом осуществляется путем взаимодействия дегидратированных радикалов с неповрежденными молекулами глицеринового альдегида. Таким образом реализуется цепной процесс (реакция (9)).
. (9)
На основании данных по выходам конечных продуктов радиолиза и литературных сведений по превращениям возникающих промежуточных радикальных частиц показано, что гидратированная и свободная формы гликолевого альдегида приводят к качественно различным продуктам радиолиза. Свободная форма гликолевого альдегида преимущественно реагирует с гидратированным электроном с образованием ацетальдегида. Радиационно-химические превращения гидратированной формы гликолевого альдегида приводят к образованию карбоновой кислоты. Аналогичный процесс может реализовываться и для МДА.
Однако имеются два обстоятельства, которые заставляют усомниться в реализуемости такого процесса в изучаемой нами системе. Во-первых, авторы [4] наблюдали проявление цепного процесса лишь при достаточно больших концентрациях альдегида (децимолярных), на порядки выше использованных в нашей работе. Аналогичные результаты были получены и при радиолизе этиленгликоля при повышенной температуре и высоких концентрация его в растворах [5]. Во-вторых, радиолиз глицеринового альдегида проводили в деаэрированных растворах. В наших же экспериментах эффективность разрушения объектов исследования увеличивалась в присутствии кислорода, что указывает на его непосредственное участие в цепном процессе. Поэтому мы предполагаем, что процессом разрушения молекул объектов исследования при их высоких концентрациях является их цепное окисление (последовательность реакций (10)–(12)).
, (10)
, (11)
. (12)
Основной особенностью такого процесса в наших объектах исследования оказывается то, что на стадии зарождения цепи взаимодействие гидроксильного радикала с молекулой должно происходить путем его присоединения по двойной связи (реакция (13)).
(13)
Дальнейшее развитие цепи может происходить в соответствии с реакциями (11), (12).
Рассматривая возможные механизмы реакций обрыва цепи, т.е. реакций рекомбинации образующихся в системе радикалов (реакции (14)–(16)) мы проанализировали структуры продуктов реакции (16) и (17), протекающей через образование цикла Рассела (реакция (18)).
, (14)
, (15)
, (16)
(17)
(18)
Отметим, что основным источником гидроперекисных радикалов НО•2 при радиолизе водных кислых растворов, насыщенных кислородом, является последовательность реакций (19) и (20).
, (19)
. (20)
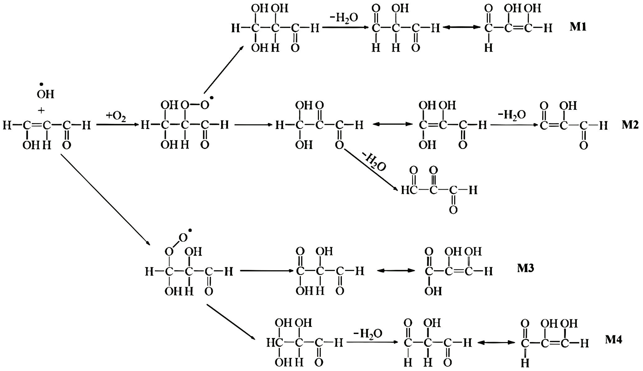
На рис. 4 изображена реакционная схема образования и дальнейших превращений свободных радикалов МДА. Среди приведенных на ней молекулярных продуктов присутствуют соединения, содержащие непредельные группировки, сопряженные с карбонильными М1, М2, М4 и карбоксильными М3 фрагментами. Наличие такого сопряжения приводит к интенсивному поглощению света в УФ-области спектра, и выражается в больших значениях молярного десятичного коэффициента поглощения (ε), который достигает значений более 104 дм3/моль × см. Следовательно, велика вероятность того, что именно такие молекулярные продукты мы регистрируем в наших экспериментах.
Рис. 4. Реакционная схема образования молекулярных продуктов при радиолизе МДА.
Используя полуэмпирическое правило Вудворда-Физера, мы рассчитали спектральные характеристики для обсуждаемых непредельных соединений (табл. 2).
Таблица 2. Спектральные характеристики для обсуждаемых непредельных соединений
Шифр | Структурная формула | λмакс, нм | Примечания |
М1, М4 | 280 | λмакс = 245 + 35 = 280 | |
М3 | 262 | λмакс = 197 + 30 + 35 = 262 | |
М2 | — | Сведения о спектральных характеристиках отсутствуют |
Молекулярные продукты М1 и М4 оказались идентичными и представляют собой α-гидроксималоновый альдегид в его енольной форме. Расчетная длина волны максимального поглощения такой молекулы в недиссоциированной форме (т.е. в кислой среде) – 280 нм. Продукт М3 – α, β-дигидрокси-пропеновая (или дигидроксиакриловая) кислота должен характеризоваться значением λmax = 262 нм.
С учетом изложенных выше соображений, появление в спектрах облученного МДА оптического поглощения с λmax = 280 нм (рис. 1а) служит реальным подтверждением того, что промежуточным продуктом радиолиза МДА в кислом растворе, содержащем кислород, является α-гидроксималоновый альдегид, образование которого, вероятнее всего, происходит по предложенным механизмам.
Выводы
Полученные результаты однозначно указывают на наличие влияния исходной концентрации МДА на эффективность его радиолиза, причем зависимость РХВ разрушения МДА от его концентрации оказалась экстремальной, достигая максимальных значений при концентрации около Со = 8 × 10–3 М. При указанной концентрации МДА значения выхода разрушения в кислой среде достигают величин около 30 молекул/100 эВ, что свидетельствует о протекании в системе цепных реакций, возможный механизм которых предложен выше.
About the authors
Ж. Б. Лютова
Санкт-Петербургский государственный технологический институт (технический университет); Национальный исследовательский центр “Курчатовский Институт” — Петербургский институт ядерной физики
Email: yiv23@mail.ru
Russian Federation, 198013, Санкт-Петербург, Московский пр., 26; 188300, Ленинградская обл., Гатчина, мкр. Орлова роща, д. 1
М. A. Маркова
Санкт-Петербургский государственный технологический институт (технический университет); Национальный исследовательский центр “Курчатовский Институт” — Петербургский институт ядерной физики
Email: yiv23@mail.ru
Russian Federation, 198013, Санкт-Петербург, Московский пр., 26; 188300, Ленинградская обл., Гатчина, мкр. Орлова роща, д. 1
И. В. Юдин
Санкт-Петербургский государственный технологический институт (технический университет)
Author for correspondence.
Email: yiv23@mail.ru
Russian Federation, 198013, Санкт-Петербург, Московский пр., 26
References
- Иванова Е.В., Суворов О.А., Юдин И.В. // Химия высоких энергий.2009. Т. 43. № 4. C. 314–319.
- Лютова Ж.Б., Панасюк С.Л., Юдин И.В. // Химия высоких энергий. 2020. Т. 54. № 4. С. 295–300.
- Пикаев А.К. Современная радиационная химия. Радиолиз жидкостей и газов. М.: Наука, 1986. 440 с.
- Глушонок Г.К., Петряев Е.П., Шадыро О.И. // Химия высоких энергий. 1982. Т. 16. № 5. С. 406–410.
- Пикаев А.К., Кабакчи С.А. Реакционная способность первичных продуктов радиолиза воды: справочник. М.: Энергоиздат, 1982. 200 с.
Supplementary files















