Исследование конверсии малых примесей этанола в аргоне в тлеющем разряде при атмосферном давлении
- Authors: 1, 1, 1, 1
-
Affiliations:
- Казанский национальный исследовательский технический университет им. А.Н. Туполева-КАИ
- Issue: Vol 57, No 1 (2023)
- Pages: 55-72
- Section: PLASMA CHEMISTRY
- URL: https://journals.rcsi.science/0023-1193/article/view/139999
- DOI: https://doi.org/10.31857/S0023119323010114
- EDN: https://elibrary.ru/DDNJHO
- ID: 139999
Cite item
Full Text
Abstract
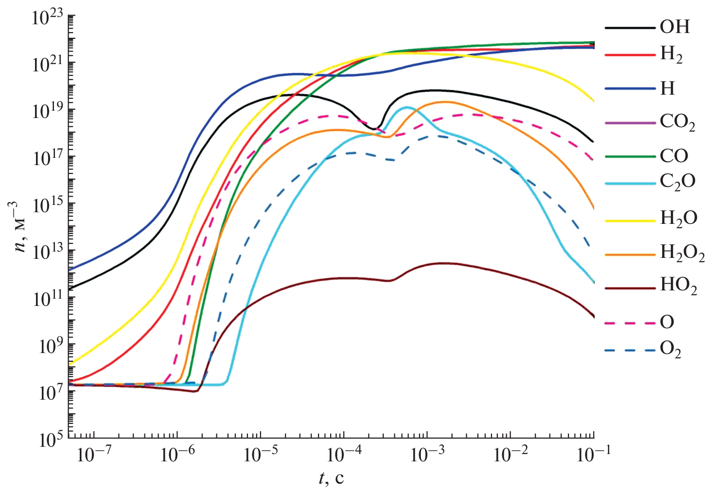
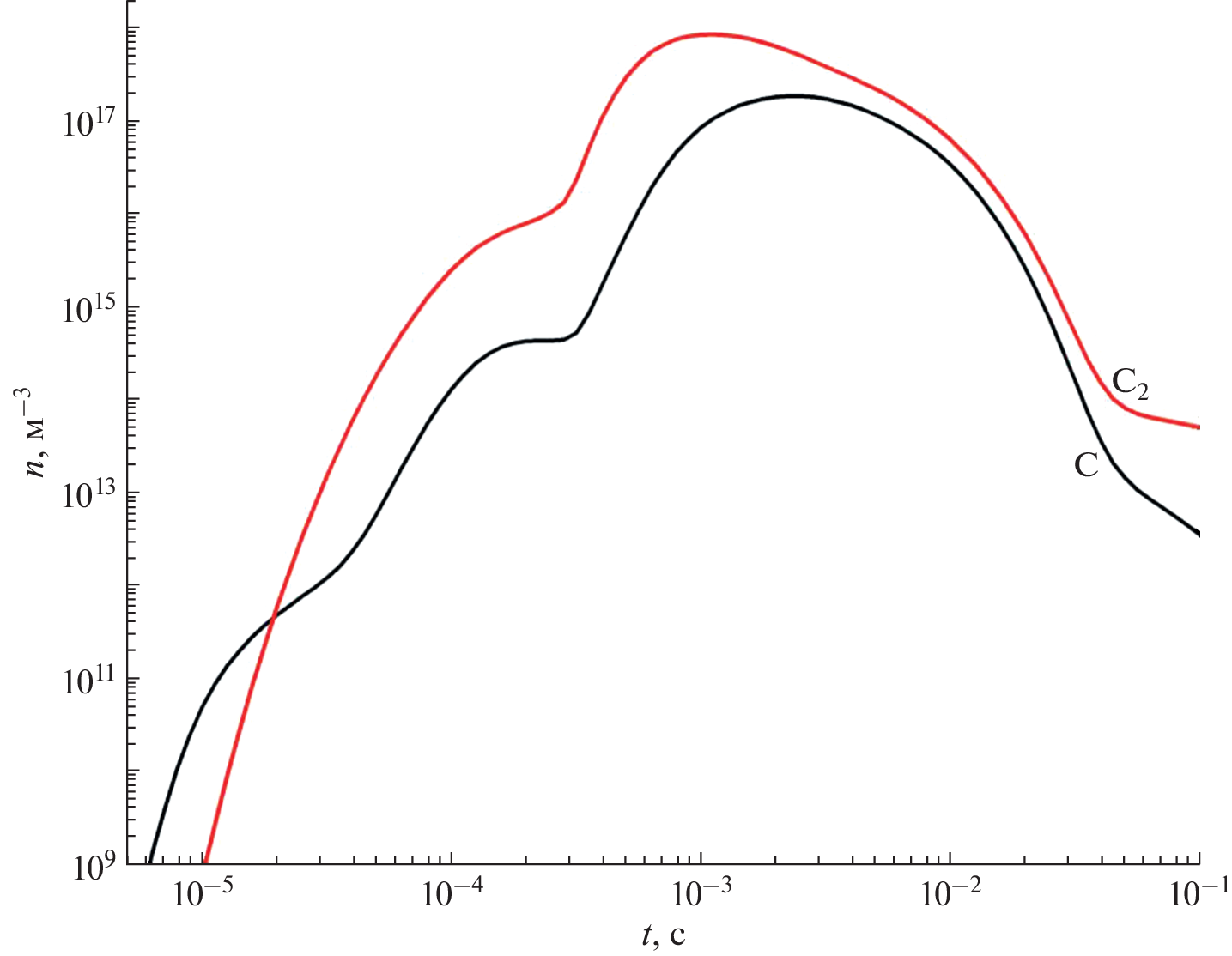
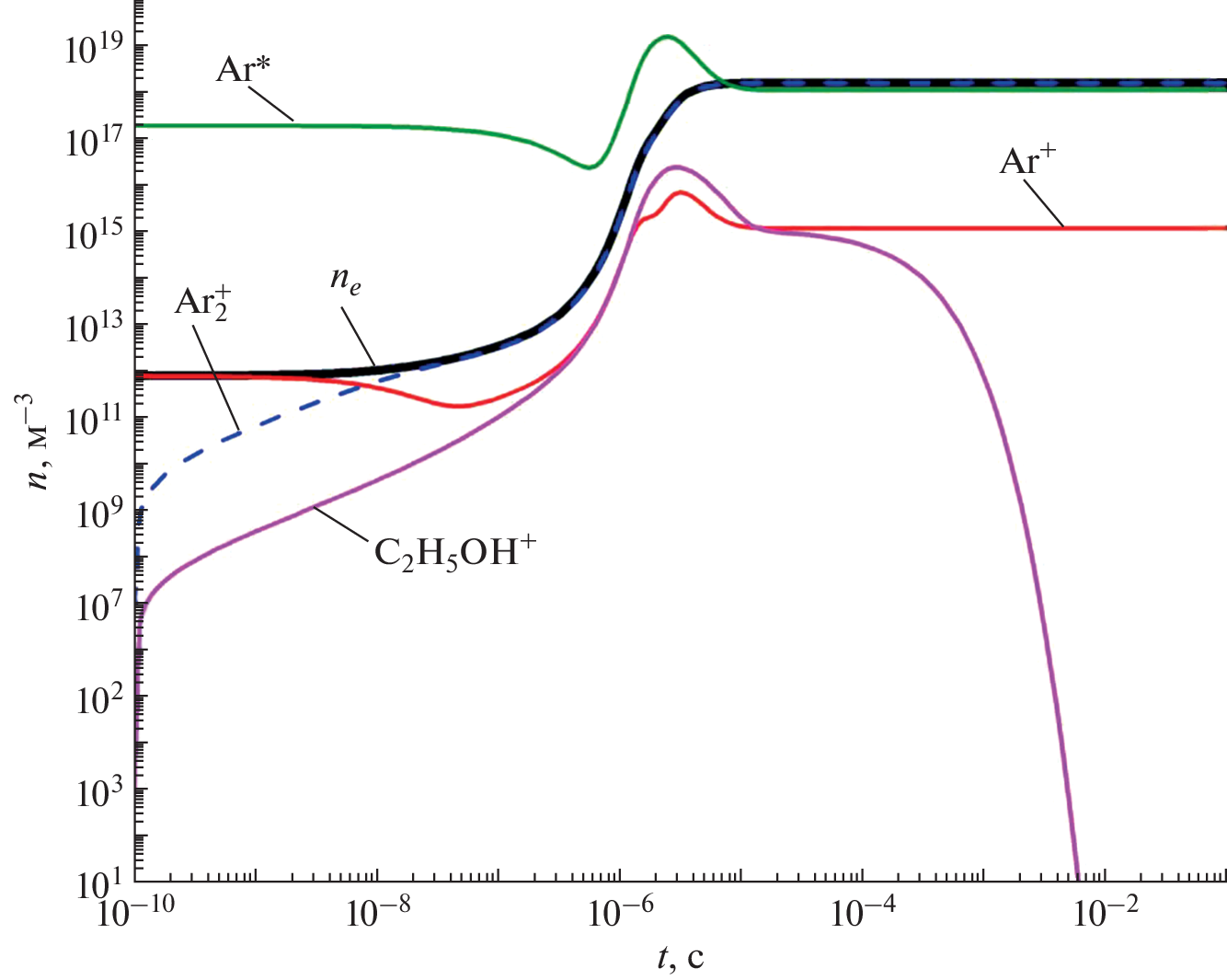
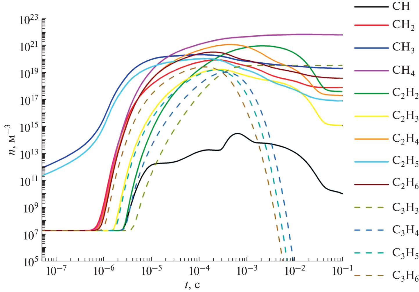
В работе проведены исследования плазмохимической конверсии малых примесей этанола в аргоне в неравновесном тлеющем разряде атмосферного давления. Результаты моделирования показали, что доминирующими частицами в результате конверсии этанола являются СO, H2 и H, CH4, C3H3, С2H2, C2H4, C2H5. Кроме того, показано формирование молекулярных частиц углерода, и значительные значения концентраций радикалов CH3 и CH2, которые являются прекурсорами наноалмазов.
About the authors
Казанский национальный исследовательский технический университет им. А.Н. Туполева-КАИ
Author for correspondence.
Email: as.uav@bk.ru
Россия, Казань
Казанский национальный исследовательский технический университет им. А.Н. Туполева-КАИ
Email: as.uav@bk.ru
Россия, Казань
Казанский национальный исследовательский технический университет им. А.Н. Туполева-КАИ
Email: as.uav@bk.ru
Россия, Казань
Казанский национальный исследовательский технический университет им. А.Н. Туполева-КАИ
Email: as.uav@bk.ru
Россия, Казань
References
- Ariyarathna I.R., Rajakaruna R.M.P.I., Karunaratne D. Nedra // Food Control. 2017. V. 77. P. 251–259.
- Dastjerd R., Montazer M. // Colloids Surf. B. 2010. V. 79. P. 5–18.
- Chu H., Wei L., Cui R., Wang J., Li Y. // Coord. Chem. Rev. 2010. V. 254. P. 1117–1134.
- Lohse S.E. and Murphy C.J. // J. Am. Chem. Soc. 2012. V. 134. P. 15607–15620.
- Kim T. and Hyeon T. // Nanotechnology. 2014. V. 25. P. 012001–012015.
- Porto C.Lo., Palumbo F., Palazzoa G., and Favia P. // Polym. Chem. 2017. V. 8. P. 1746–1749.
- Heyse P., Hoeck A.V., Roeffaers M.B.J., et al. // Plasma Process. Polym. 2011. V. 8. P. 965–974 (2011).
- Koga K., Dong X., Iwashita S., Czarnetzki U., Shiratani M. // J. Phys Conf. Ser. 2014. V. 518. P. 012020–012026.
- Kortshagen U., Sankaran R.M., Pereira R., Girshick S., Wu J., and Aydil E. // Chem. Rev. 2016. V. 116. P. 11061–11127.
- Vekselman V., Raitses Y., Shneider M.N. Growth of nanoparticles in dynamic plasma PHYSICAL REVIEW E. 2019. V. 99. № 063205. P. 1–5.
- Timerkaev B.A., Kaleeva A.A., Timerkaeva D.B., Saifutdinov A.I. // High Energy Chemistry. 2019. V. 53. № 5. P. 390–395.
- Timerkaev B.A., Shakirov B.R., Kaleeva A.A., Saifutdinov A.I. // High Energy Chemistry. 2021. V. 55. № 5. P. 402–406
- Lebedev Y.A., Averin K.A., Borisov R.S. et al. // High Energy Chem. 2018. V. 52. № 324. P. 324–329.
- Averin K.A., Lebedev Yu.A., Tatarinov A.V. // High Energy Chem. 2019. V. 53. № 4. P. 331–335.
- Saifutdinova A.A., Sofronitskiy A.O., Timerkaev B.A., Saifutdinov A.I. // Russian Physics Journal. 2020. V. 62. № 11. P. 2132–2136.
- Kumar A., Lin P.A., Xue A., Hao B., Yap Y.Kh., Sankaran R. // Nature Communications. 2013. V. 4. № 2618. P. 1–8.
- Dresselhaus M.S., Dresselhaus G., Saito R., and Jorio A. // Phys. Rep. 409, 47–49 (2005).
- Peña-Álvarez M., Corro E., Langua F., Baonza V.G., Taravillo M. // RSC Adv. 2016. V. 6. P. 49543–49550.
- Ferrari A.C. and Robertson J. // Philos. Trans. R. Soc. Lond. A. 2004. V. 362. P. 2477–2512.
- Saito Y., Okuda M., and Koyama T. // Surf. Rev. Lett. 1996. V. 3. P. 863–867.
- Williams K., Tachibana M., Allen J., et al. // Chem. Phys. Lett. 1999. V. 310. P. 31–37.
- Farhat S., Chapelle M. L., Loiseau A., et al. // J. Chem. Phys. 2001. V. 115. P. 6752–6759.
- Grebenyukov V.V., Obraztsova E.D., Pozharov A.S., Arutyunyan N.R., Romeikov A.A., Kozyrev I.A. // Fullerenes Nanotubes Carbon Nanostruct. 2008. V. 16. P. 330–334.
- Das R., Shahnavaz Z., Md Eaqub Ali, Moinul Islam M., Bee Abd Hamid S. // Nanoscale Res. Lett. 2016. V. 11. P. 510–533.
- Райзер Ю.П. Физика газового разряда, 3-е изд., перераб. и доп., Долгопрудный: Интеллект, 2009. 734 с.
- Thorsteinsson E.G., Gudmundsson J.T. // J. Phys. D A-ppl. Phys. 2010. V. 43 № 115201. P. 1–12.
- Tsyganov D., Bundaleska N., Tatarova E., Dias A., Henriques J., Rego A., Ferraria A., Abrashev M.V., Dias F.M., Luhrs C.C., Phillips J. // Plasma Sources Science and Technology. 2015. V. 25. № 015013. P. 1–22.
- Marinov N.M. // Int. J. Chem. Kinet. 1999. V. 31. P. 183–220.
- Napalkov O.G., Saifutdinov A.I., Saifutdinova A.A. et al. // High Energy Chem. 2021. V. 55. P. 525–530.
- Levko D.S., Tsymbalyuk A.N., Shchedrin A.I. // Plasma Phys. Rep. 2012. V. 38. P. 913–921.
Supplementary files








