Assessment of the amplitude of variations in total solar irradiance in the past
- Authors: Ogurtdov М.G.1,2
-
Affiliations:
- Ioffe institute
- Central Astronomical Observatory of the Russian Academy of Sciences at Pulkovo
- Issue: Vol 65, No 2 (2025)
- Pages: 294-304
- Section: Articles
- URL: https://journals.rcsi.science/0016-7940/article/view/292599
- DOI: https://doi.org/10.7868/S3034502225020124
- EDN: https://elibrary.ru/CYQRMY
- ID: 292599
Cite item
Abstract
An assessment was made of how reliably various modern reconstructions of total solar irradiance reconstruct long-term changes in this value in the past. To solve this problem, a forecast of long-term changes in total solar radiation in 1978−2017 was made using seven reconstructions covering the last 12−13 centuries. The paleoreconstructions used describe long-term variations with average amplitudes from 0.22 W m–2 (series with low amplitude) to 2.36 W m–2 (series with high amplitude). A nonlinear analog prediction method was applied, and the prediction results were compared with the actually measured values. It turned out that the experimentally measured variations in total solar radiation are better predicted by the low-amplitude reconstructions. However, the possibility that solar radiation in the past experienced more significant variations and the increase in total solar radiation after the Maunder Minimum reached 2.5 W m–2 cannot be completely excluded yet. Possible climatic consequences of such solar radiation variations are discussed.
Full Text
1. ВВЕДЕНИЕ
Полная солнечная радиация (total solar irradiance, TSI) представляет собой значение интегрального по всему спектру потока солнечной энергии, приходящего в верхнюю часть земной атмосферы при среднем расстоянии между Солнцем и Землей. Вариации этой величины тесно связаны с изменениями магнитной активности Солнца. Поэтому сведения о временных вариациях TSI представляют собой значительный интерес для солнечной астрофизики. Однако на сегодня эти сведения весьма ограничены. Какова амплитуда долговременных вариаций этой величины? Всегда ли TSI изменяется синхронно с основными солнечными циклами? Полностью ли определяются вариации TSI соответствующими изменениями числа солнечных пятен и факелов? Ответы на эти вопросы до конца неясны, в первую очередь, по причине краткости экспериментальных данных о полной солнечной радиации – систематические и надежные инструментальные измерения TSI начались лишь в 1978 г.
Помимо чисто научного интереса данные о вариациях TSI имеют и практическое значение, поскольку приходящая от Солнца радиация является одним из климатобразующих факторов. Климат оказывает сильное влияние на многие аспекты социальной и экономической деятельности человечества, вследствие чего известная проблема глобального потепления (ГП) уже перешла из области чисто научных интересов в глобальную политическую повестку. Однако физические механизмы, обеспечивающие ГП содержат неопределенности, и их обсуждение продолжается. Недостаток знаний о долговременных вариациях TSI порождает одну из этих неопределенностей. На сегодняшний день при помощи методов солнечной палеоастрофизики получен ряд реконструкций TSI, охватывающих промежутки времени значительно более длительные, чем последние 40 лет. Однако, эти палеореконструкции сильно различаются и демонстрируют большую разницу в амплитудах вековых вариаций [Solanki et al., 2013; Kopp, 2016; Chatzistergos et al., 2023]. Эти реконструкции можно разделить на два класса: ряды с малой амплитудой долговременных изменений (МА-серии) и ряды с большой амплитудой подобных колебаний (БА-серии) [Connolly et al., 2021]. В последних докладах МГЭИК преобладает мнение о том, что ГП в основном являются результатом увеличения концентрации парниковых газов и других видов антропогенной деятельности, в то время как вклад других природных явлений, включая солнечную активность, незначителен (см. [IPCC 2014, 2021]). Например, в отчете AR5 [IPCC, 2014] фактически учитываются только МА реконструкции и утверждается, что радиационный форсинг, вызванный изменениями TSI за период 1750–2011 гг., составляет 0.05 Вт м-2 со средней степенью достоверности. В докладе AR6 [IPCC, 2021] принимается более широкий диапазон оценок изменений TSI за последние несколько столетий и делается вывод о том, что TSI между минимумом Маундера (1645–1715 гг.) и второй половиной XX века могла увеличиться на 0.7–2.7 Вт м-2. В последнем докладе МГЭИК [Gulev et al., 2021] упоминается одна из реконструкций БА [Egorova et al., 2018] среди новейших достижений, но предпочтение, по-прежнему, отдается реконструкциям типа МА [Lean, 2000; Matthes et al., 2017; Jungclaus et al., 2017]. Это предполагает незначительный вклад солнечной активности в долгосрочные изменения климата. Очевидно, что вопрос о том, какова была реальная амплитуда вариаций TSI в прошлом, является важным не только для солнечной астрофизики, но и для современной климатологии. Ответить на этот вопрос достаточно непросто, так как нам неизвестно, насколько точно палеореконструкции TSI описывают реальные изменения этой величины в далеком прошлом. Основным недостатком всех реконструкций TSI является то, что их качество вряд ли можно оценить путем прямого сравнения с результатами наблюдений. Во-первых, часть реконструкций обрывается в 1978−2000 гг. и не может быть сопоставлена со значительной частью экспериментально измеренного ряда. Во-вторых, при нормализации реконструкций TSI на инструментально измеренные значения авторам, как правило, удается достаточно хорошо подогнать восстановленные значения к экспериментальным для любых типов реконструкций – см., например, серии МА рис. 2 из работы [Dewitte et al., 2022] и БА (верхняя панель рис. 1 из работы [Shapiro et al., 2011]). Поэтому точность совпадения полученной реконструкции с реально измеренной величиной TSI вряд ли может служить убедительным критерием ее достоверности.
Рис. 1. (a) – усредненные за год композитные ряды данных по инструментально измеренной TSI. Черная линия с полными квадратами – нескорректированная серия TSIDU; серая линия с полными квадратами – скорректированная серия TSIDC; штриховая линия с пустыми квадратами – скорректированная серия TSIPMOD. (б) – усредненные по десятилетиям данные по инструментально измеренной TSI. Черная линия с полными квадратами – TSIDU, серая линия с полными квадратами – TSIDC, штриховая линия с пустыми квадратами – TSIPMOD.
Рис. 2. Реконструкции TSI нормированные на экспериментально измеренный ряд TSIDC. (a) – Delaygue and Bard [2011]; (б) – Roth and Joos [2013]; (в) – Wu et al. [2018]; (г) – Steinhilber et al. [2012]; (д) – Bard et al. [2000]; (е) – Egorova et al. [2018], PHI-MC17; (ж) – Shapiro et al. [2011].
Данная работа посвящена выяснению того, какой тип реконструкций TSI – серии МА или БА – лучше описывают ее вариации в прошлом. Для решения этой задачи был применен следующий алгоритм: (а) прогнозы изменения TSI в 1978−2017 гг. производились с использованием различных типов реконструкций солнечной радиации в качестве банка информации см. Ogurtsov [2009]; (б) результаты прогнозов сравнивались с реальными, инструментально измеренными значениями TSI; (в) производилась оценка того, какой тип реконструкций точнее и достовернее предсказывает реальные изменения TSI.
Следует отметить, что на сегодня имеются разные версии инструментально измеренной TSI, основанные на различных интерпретациях спутниковых наблюдений. Две экспериментальные серии PMOD и ACRIM демонстрируют разные долговременные тренды. Серия PMOD показывает непрерывную тенденцию к снижению TSI на протяжении всего интервала измерений. Серия ACRIM обнаруживает увеличение TSI между минимумами 1986 и 1996 гг. В данной работе были использованы наиболее современные обобщенные, или композитные, ряды TSI (TSI composites), полученные в следующих работах.
- Dudok de Wit et al. [2017], авторы которой произвели статистическое взвешивание всех доступных данных измерений с использованием их индивидуальных неопределенностей. Этот ряд охватывает период 1978–2015 гг. и имеет две версии: первая версия основана на исходных данных о TSI, а вторая включает некоторые инструментальные коррекции (https://www.issibern.ch/teams/солнечноеизлучение/TSI_composite_DeWit.txt).
- Montillet et al. [2022], авторы который получили композитный ряд, применив трехступенчатый метод объединения к данным PMOD (ftp://ftp.pmodwrc.ch/pub/data/irradiance/virgo/TSI/TSIcomposite/MergedPMOD_NobaselineScaleCycle23_JPM_Apriltxt). В данной работе была использована версия этого ряда CPMDF1, охватывающая 1980−2023 гг.
В данной работе были использованы три этих серии данных по TSI. Производился прогноз долговременных изменений инструментально измеренных значений этой величины с использованием в качестве источника (банка) информации реконструкций TSI различных типов (МА и БА), охватывающих последние 970−1130 лет. Целью проведенной работы было выяснить, какие типы реконструкций лучше предсказывают долговременные изменения реальной TSI. В рамках применявшегося алгоритма все реконструкции (как МА, так и БА) считались одинаково надежными и точными источниками информации. Была произведена проверка того, насколько это предположение соответствует действительности.
2. ДАННЫЕ И МЕТОДЫ
В работе были использованы семь реконструкций TSI – временные серии, полученные в работах Bard et al. [2000], Delaygue and Bard [2011], Shapiro et al. [2011], Steinhilber et al. [2012], Roth and Joos [2013], Wu et al. [2018], Egorova et al. [2018]. Все эти временные ряды были получены при помощи данных о концентрации космогенных изотопов в земных архивах и охватывают временные интервалы в 12 столетий и более. Реконструкции TSI, основанные на данных по числам солнечных пятен, в данной работе не использовались, поскольку они значительно короче (не более 4 столетий) и поэтому менее пригодны для прогнозирования долговременных изменений TSI. Использованные в работе временные ряды описаны в табл. 1. В табл. 1 показаны стандартные отклонения (STD) этих рядов и рост реконструированной TSI с конца 17-го века, т.е. начиная с самой глубокой части Маундеровского минимума. Стандартное отклонение рассматривалось как характеристика амплитуды долговременных колебаний ΔTSI и служило основанием для разделения реконструкций на серии МА и БА. Реконструкции с STDI < 1.0 Вт м-2 считали серией МА, а записи с STD > 10 Вт м-2 считали серией БА. Временные ряды Wu et al. [2018], Shapiro et al. [2011] были отсканированы и оцифрованы электронным способом.
Таблица 1. Реконструкции солнечной активности, использованные в работе
Источник | Использованные индикаторы TSI | Охватываемый период | Временное разрешение (годы) | STD (Вт× м-2) | ΔTSI (1680-конец 20го века) (W×m-2) | Тип реконструкции |
Delaygue and Bard [2011] | 10Be во льдах Южного полюса и купола Фудзи | 695−1982 | 6−15 | 0.22 | 0.9 | МА |
Roth and Joos [2013] | 14C в кольцах деревьев (IntCal09) | 0 – 10000 BP | 1 | 0.23 | 0.75 | МА |
Wu et al. [2018] | 10Be во льдах Гренландии и Антарктиды, 14C в кольцах деревьев | последние 9000 лет | 10 | 0.29 | 1.0 | МА |
Steinhilber et al. [2012] | 10Be во льдах Гренландии и Антарктиды, 14C в кольцах деревьев | 9362 до н.э. – 1978 | 22 | 0.32 | 1.15 | МА |
Bard et al. [2000] | 10Be во льдах Южного полюса | 843–1961 | 1−22 | 1.21 | 3.4 | БА |
Egorova et al. [2018] (PHI-MC17) | 10Be во льдах Гренландии и Антарктиды, 14C в кольцах деревьев | 6000 до н. э. – 2015 | 1 | 1.31 | 4.9 | БА |
Shapiro et al. [2011] | 10Be во льдах Гренландии и Антарктиды, инструментальные данные | 500 до н. э. – 2000 | 1 | 2.36 | 6.4 | БА |
Три усредненные за год композитных ряда TSI – скорректированная и нескорректированная серии TSIDC and TSIDU, полученные в работе Dudok de Wit et al. [2017], и скорректированная серия TSIPMOD, полученная в работе Montillet et al. [2022], показаны на рис. 1.
На рис. 1а показаны средние годовые значения, а на рис. 1б показаны средние значения за десять лет (средние за 1978–1987 (1980–1987 для TSIPMOD), 1988–1997, 1997–2007, 2008–2017 (2008–2015 для TSID)). Погрешности значений TSI, усредненных за десять лет, оценивались посредством статистического эксперимента с использованием погрешностей TSI, приведенных авторами для каждого дня измерений. Производилось несколько тысяч монте-карловских розыгрышей, в каждом из которых суррогатный ряд строился путем добавления случайной величины к каждой точке экспериментального ряда TSI на всем интервале измерений. Значение случайной величины генерировалось гауссовским белым шумом со стандартным отклонением, равным соответствующему значению погрешности ряда TSI (эти значения были приведены самими экспериментаторами). Таким образом, были оценены как среднее значение, так и стандартное отклонение (погрешность) TSI, усредненной за десятилетие. Для всех трех композитных рядов во всех четырех точках погрешность составила менее 0.01 Вт м-2.
Как видно из рис. 1б, долговременный тренд в рядах TSIDU и TSIDC имеет максимум в 2003 г. и описывается последовательностью значений: TSI(1983)<TSI(1993)<TSI(2003)>TSI(2013). Серия TSIPMOD имеет спадающий тренд на всем промежутке: TSI(1983)>TSI(1993)>TSI(2003)>TSI(2013). Все реконструкции TSI, использованные для предсказания TSIDU и TSIDC, обрывались в 1978 г. и были нормированы так, чтобы их значение в этом году совпадало со средним значением усредненных по 10 годам серий TSIDU и TSIDC (1361.25 Вт м-2 в 1978 г. в обоих случаях). Все реконструкции TSI, использованные для предсказания TSIPMOD, обрывались в 1980 г. и были нормированы так, чтобы их значение в этом году совпадало со средним значением усредненного по 10 годам ряда TSIPMOD (1361.42 Вт м-2 in 1980).
В исследовании были использованы данные из работы Bard et al. [2000] начиная с 844 и данные других авторов начиная с 700. Серия из работы Bard et al. [2000] была экстраполирована до 1982 г. при помощи регрессии TSI на концентрацию 10Be. Все использованные данные как инструментальные, так и реконструкции для последующего анализа были гомогенизированы следующим образом: (а) сначала они были интерполированы погодично и при необходимости сглажены по 11 годам; (б) затем, полученные в предыдущем пункте серии, были интерполированы по десятилетиям. Ряды данных, преобразованных таким способом к однородному виду, показаны на рис. 2. Полученные реконструкции TSI, состоящие из 115−129 точек с шагом в 10 лет, и инструментальные ряды, состоящие из четырех точек (1983, 1993, 2003, 2013), были использованы в последующем анализе.
Нелинейные прогнозы делались с использованием аналогового метода, предложенного в работе Farmer and Sidorowich [1987], а затем развитого и обобщенного в работе Sugihara and May [1990]. Этот метод основан на реконструкции траектории динамической системы прогнозируемого ряда в псевдофазовом пространстве. Он является непараметрическим, т.е. учитывает только информацию, содержащуюся в самом анализируемом ряде, и не использует никакой априорной информации о модели, сгенерировавшей его. Тестирование этого метода на ряде сигналов, включая хаотические серии, коррелированные шумы и естественно-природные сигналы, показало, что он способен предсказывать их вполне удовлетворительно [Sugihara and May, 1990; Sugihara, 1994; Ogurtsov, 2009, 2022; Sarp et al., 2018]. Оценка прогностического потенциала реконструкций TSI и предсказательной способности используемой методики нелинейного прогноза проводилась путем предсказания 35 точек каждой серии с использованием предыдущих 80−94 точек в качестве банка информации. Все прогнозы были сделаны с использованием размерности аттрактора d = 3 и семи ближайших соседей. Зависимость коэффициента корреляции между прогнозируемым и фактическим значением от времени прогнозирования Tp (числа временных шагов Tp в будущее) для некоторых реконструкций TSI показана на рис. 3а вместе с ошибками прогноза (рис. 3б).
Рис. 3. (a) – коэффициент корреляции между реально наблюдаемым и прогнозируемым значением, рассчитанный для четырех солнечных реконструкций, использованных в работе; (б) – ошибка предсказания для этих четырех реконструкций. Расчеты проведены с использованием реконструкций: Steinhilber et al. [2012] (тонкая черная линия с полными квадратами); Delaygue and Bard et al. [2011] (жирная черная линия с пустыми кружками); Roth and Joos [2013] (штриховая черная линия с пустыми квадратами), Egorova et al. [2018] (штриховая серая линия с пустыми кружками). Ошибки предсказания были оценены с использованием неопределенностей реконструкций TSI.
Для оценки реальной ошибки предсказания, производящегося с помощью палеореконструкций TSI, следует учитывать неопределенности этих временных серий. Эти неопределенности были оценены с использованием данных, предоставленных авторами: ca 0.25 Вт м-2 для ряда Delaygue and Bard [2011], ca 0.12 Вт м-2 для ряда Roth and Joos [2013]; ca 0.1 Вт м-2 для ряда Wu et al. [2018], 0.38−0.53 Вт м-2 для ряда Steinhiliber et al. [2011], 0.1−0.5 Вт м-2 для ряда Bard et al. [2000], 1.0 Вт м-2 для рядов Egorova et al. [2018] и Shapiro et al. [2011]. С учетом этих неопределенностей, ошибка прогноза была оценена с помощью статистического эксперимента, описанного в работе Ogurtsov [2022].
3. РЕЗУЛЬТАТЫ И ОБСУЖДЕНИЕ
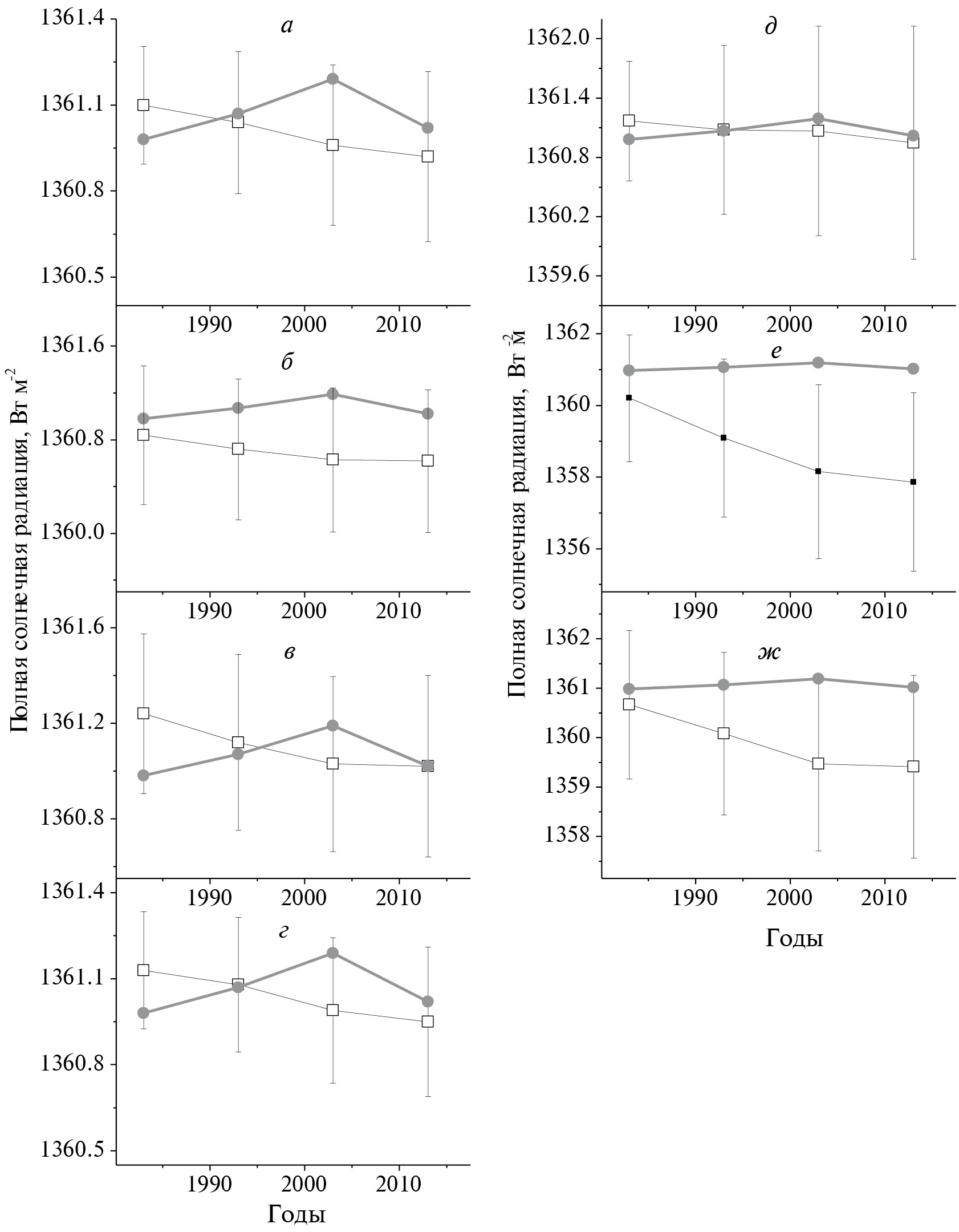
Средние за десятилетие значения TSIDC на интервале 1978−2015 гг. (четыре точки) показаны на рис. 4 вместе с прогнозами, сделанными с помощью семи палеореконструкций. Все предсказания были произведены с использованием размерности аттрактора d = 3 и семи ближайших соседей. На практике это означает, что для предсказания конкретного значения Yn+1 (а) − брался отрезок из трех предыдущих точек [Yn-2, Yn-1, Yn], (б) − в прошлом выбирались семь наиболее похожих на него отрезков типа [Yn-m-2, Yn-m-1, Yn-m], (в) − для каждого отрезка определялось значение Yn-m+1, (г) − все семь таких предсказаний усреднялись. Для каждого полученного таким образом прогноза ошибка предсказания оценивалась как среднеквадратичная ошибка – стандартное отклонение между значениями предсказанными и реально наблюдавшимися:
(1)
где N = 4. Размерность аттрактора (длина отрезка) и число ближайших соседей выбирались из условия минимизации величины . Затем вероятность того, что предсказанный ряд действительно описывает наблюдаемые изменения TSI оценивалась с помощью статистического эксперимента. Была произведена серия монте-карловских розыгрышей, в каждом из которых суррогатный ряд строился путем добавления случайной величины к каждой из четырех точек предсказанного ряда (1983–2013 гг.). Каждое случайное значение генерировалось гауссовским белым шумом со стандартным отклонением, равным соответствующему значению ошибки предсказания.
Рис. 4. Реально наблюдавшаяся величина TSIDC (серая линия с полными кружками) и ее предсказания (черные линии с пустыми кружками), сделанные на основе палеореконструкций: (a) Wu et al. [2018]; (б) Steinhilber et al. [2012]; (в) Delaygue and Bard et al. [2011]; (г) Roth and Joos [2013]; (д) Bard et al. [2000]; (е) Shapiro et al. [2011]; (ж) Egorova et al. [2018].
Затем величина P – вероятность того, что эти суррогатные ряды действительно описывают экспериментальную запись, оценивалась двумя способами:
(а) была оценена величина P1 – вероятность того, что среднее значение предсказанного ряда в течение 1978–2015 или 1980–2023 гг. будет иметь отклонение от среднего значения реального экспериментального ряда не более чем на 1.0 Вт м-2;
(б) к первому условию добавлялось второе – помимо среднего отклонения менее 1.0 Вт м-2 требовалось, чтобы прогнозируемый ряд описывал еще и вариацию, аналогичную наблюдаемой, т.е. TSIforc(1983)<TSIforc(1993)<TSIforc(2003)> >TSIforc(2013) в случае TSIDU и TSIforc(1983)> >TSIforc(1993)>TSIforc(2003)>TSIforc(2013) в случае TSIPMOD.
Таким образом была оценена вероятность P2.
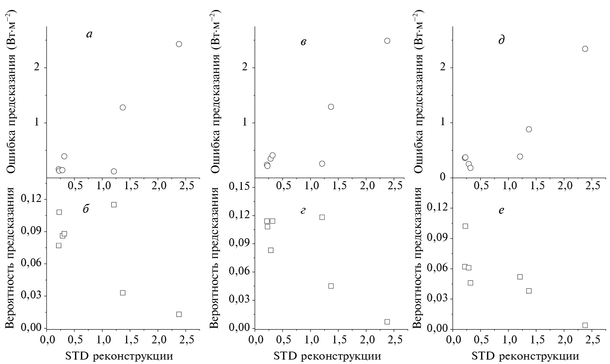
Вероятности обоих исходов (а) и (б) были определены с использованием 10 000 розыгрышей и рассматривались как мера качества прогноза. Они показаны в табл. 2 вместе с ошибками предсказания . Зависимость качества нелинейных прогнозов от стандартных отклонений, используемых реконструкций TSI, проиллюстрирована на рис. 5.
Рис. 5. Зависимость качества нелинейного предсказания от STD для различных палеореконструкций. (a) – ошибка предсказания, сделанного для TSIDС; (б) – вероятность предсказания P2, сделанного для TSIDС; (в) – ошибка предсказания, сделанного для TSIDU; (г) – вероятность предсказания P2, сделанного для TSIDU; (д) – ошибка предсказания сделанного для TSIPMOD; (е) – вероятность предсказания P2, сделанного для TSIPMOD.
Таблица 2. Оценка качества нелинейного предсказания реально наблюдавшейся полной солнечной радиации, выполненная с использованием семи палеореконструкций этой величины
Источник | STD (W×m-2) | Прогноз TSIDC | Прогноз TSIDU | Прогноз TSIPMOD | ||||||
(Вт×м-2) | P1 | P2 | (Вт×м-2) | P1 | P2 | (Вт×м-2) | P1 | P2 | ||
Delaygue and Bard [2011] | 0.22 | 0.155 | 1.000 | 0.077 | 0.238 | 1.000 | 0.114 | 0.361 | 1.000 | 0.062 |
Roth and Joos [2013] | 0.23 | 0.130 | 1.000 | 0.108 | 0.216 | 1.000 | 0.127 | 0.371 | 1.000 | 0.102 |
Wu et al. [2018] | 0.29 | 0.140 | 1.000 | 0.086 | 0.349 | 1.000 | 0.083 | 0.250 | 1.000 | 0.061 |
Steinhilber et al. [2012] | 0.32 | 0.392 | 0.976 | 0.088 | 0.409 | 0.973 | 0.114 | 0.181 | 1.000 | 0.046 |
Bard et al. [2000] | 1.21 | 0.118 | 0.912 | 0.115 | 0.259 | 0.905 | 0.118 | 0.309 | 0.904 | 0.052 |
Egorova et al. [2018] (PHI-MC17) | 1.37 | 1.277 | 0.431 | 0.033 | 1.291 | 0.412 | 0.0450 | 0.892 | 0.584 | 0.038 |
Shapiro et al. [2011] | 2.38 | 2.428 | 0.101 | 0.013 | 2.487 | 0.097 | 0.007 | 2.341 | 0.120 | 0.004 |
4. ВЫВОДЫ
Проведенный анализ, основанный на нелинейном прогнозировании, показал следующее.
В целом наблюдавшиеся значения TSI лучше предсказываются с помощью реконструкций с малой амплитудой долговременных вариаций. “Экстремальные” реконструкции TSI [Shapiro et al., 2011; Egorova et al., 2018] представляются менее реалистичными. Линейные прогнозы, сделанные с помощью авторегрессионной модели второго порядка, привели к аналогичным результатам. Наихудший прогноз был получен с использованием реконструкции Shapiro et al. [2011], что согласуется с результатами Judge et al. [2012], которые пришли к выводу, что амплитуды долговременных изменений TSI в этой реконструкции, вероятно, были завышены. В целом, полученные результаты согласуются с выводами Yeo et al. [2020], которые заключили, что TSI после Маундеровского минимума выросла не более чем 2.0±0.7 Вт м-2. Можно отметить, что еще меньший предел для роста после Маундеровского минимума – 1.25 Вт м-2 – был получен в работе Lockwood and Ball [2020]. С другой стороны, достаточно точные прогнозы были получены и с использованием реконструкции из работы Bard et al. [2000], в которой увеличение TSI после Маундеровского минимума достигло 2.5 Вт м-2. Их качество оказалось не худшим, чем качество прогнозов, полученных с помощью МА реконструкций.
Большинство полученных предсказаний дают спадающий тренд на протяжении всех 40 лет, что согласуется с экспериментальным рядом PMOD, а также полуэмпирическими моделями SATIRE-S, NRLTSI2 and NRLTSI3 [Dudok de Wit et al., 2017; Lean et al., 2020].
С одной стороны, тот факт, что реконструкции МА лучше предсказывают наблюдаемые изменения TSI, неудивителен. Результаты измерений полной солнечной радиации с 1978 г. свидетельствуют о том, что долговременные изменения ее среднего значения незначительны. Их амплитуда, вероятно, не более 0.2 Вт м-2 (см. рис. 1б), так что эта величина недаром называется солнечной постоянной. Такое поведение лучше согласуется с реконструкциями МА, амплитуда вековых колебаний которых обычно не превышает 0.5–1.0 Вт м-2. С другой стороны, возможность того, что TSI в прошлом испытывала более мощные колебания с амплитудой до 2.5 Вт м-2 также нельзя полностью исключать. Полученные результаты свидетельствуют о том, что при проведении климатического моделирования необходимо тщательно обосновывать выбор реконструкций TSI именно с очень низкой амплитудой долговременных вариаций. Например, если прирост TSI после Маундеровского минимума действительно составляет 2.5 Вт м-2, что наблюдается не только в серии Bard et al. [2000], но и в более короткой (пять столетий) реконструкции Penza et al. [2022], тогда соответствующий радиационный форсинг достигнет 0.43 Вт м-2. Это может вызвать повышение глобальной температуры на 0.3°C. Для выяснения вопроса о том, какова была амплитуда вековых изменений TSI в прошлом, необходимы дальнейшие исследования, включающие: (а) − получение новых длительных реконструкций вариаций TSI в прошлом и (б) − уточнение данных о долговременных вариациях экспериментально измеряемой TSI. Дальнейший тщательный фотометрический мониторинг солнцеподобных звезд также может помочь решить эту проблему.
About the authors
М. G. Ogurtdov
Ioffe institute; Central Astronomical Observatory of the Russian Academy of Sciences at Pulkovo
Author for correspondence.
Email: maxim.ogurtsov@mail.ioffe.ru
Russian Federation, St. Petersburg; St. Petersburg
References
- Bard E., Raisbeck G., Yiou F., Jouzel J. Solar irradiance during the last 1200 years based on cosmogenic nuclides // Tellus B. V. 52. № 3. P. 985−992. 2000. https://doi.org/10.1034/j.1600-0889.2000.d01-7.x
- Chatzistergos T., Krivova N.A., Yeo K.L. Long-term changes in solar activity and irradiance // J. Atmos. Sol.-Terr. Phy. V. 252. ID 106150. 2023. https://doi.org/10.1016/j.jastp.2023.106150
- Connolly R., Soon W., Connolly M. et al. How much has the Sun influenced Northern Hemisphere temperature trends? An ongoing debate // Res. Astron. Astrophys. V. 21. № 6. ID 131. 2021. https://doi.org/10.1088/1674-4527/21/6/131
- Delaygue G., Bard E. An Antarctic view of Beryllium-10 and solar activity for the past millennium // Clim. Dynam. V. 36. № 11. P. 2201−2218. 2011. https://doi.org/10.1007/s00382-010-0795-1
- Dewitte S., Cornelis J., Meftah M. Centennial total solar irradiance variation // Remote Sensing. V. 14. № 5. ID 1072. https://doi.org/10.3390/rs14051072.2022
- Dudok de Wit T., Kopp G., Fröhlich C., Schöll M. Methodology to create a new total solar irradiance record: making a composite out of multiple data records // Geophys. Res. Lett. V. 44. № 3. P. 1196−1203. 2017. https://doi.org/10.1002/2016GL071866
- Egorova T., Schmutz W., Rozanov E., Shapiro A.I., Usoskin I., Beer J., Tagirov R.V., Peter T. Revised historical solar irradiance forcing // Astron. Astrophys. V. 615. ID A85. 2018. https://doi.org/10.1051/0004-6361/201731199
- Farmer J.D., Sidorowich J. Predicting chaotic time series // Phys. Rev. Lett. V. 59. № 8. P. 845−848. 1987. https://doi.org/10.1103/PhysRevLett.59.845
- Gulev S.K., Thorne P.W., Ahn J. et al. Changing state of the climate system / Climate Change 2021: The Physical Science Basis. Contribution of Working Group I to the Sixth Assessment Report of the Intergovernmental Panel on Climate Change. Eds. P. Masson-Delmotte, V. Zhai, A. Pirani et al. Cambridge, UK and New York, NY, USA: Cambridge University Press. P. 287–422. 2021. https://doi.org/10.1017/9781009157896.004
- IPCC. 2014 / Climate Change 2014: Synthesis Report. Contribution of Working Groups I. II and III to the Fifth Assessment Report of the Intergovernmental Panel on Climate Change (Core Writing Team). Eds. R.K. Pachauri, L.A. Meyer. Geneva, Switzerland: IPCC, 151 p. 2014.
- IPCC. 2021- Summary for Policymakers / Climate Change 2021: The Physical Science Basis. Contribution of Working Group I to the Sixth Assessment Report of the Intergovernmental Panel on Climate Change. Eds. P. Masson-Delmotte, V. Zhai, A. Pirani et al. Cambridge, UK and New York, NY, USA: Cambridge University Press. P. 3−32. 2021. 10.1017/9781009157896.001' target='_blank'>https://doi: 10.1017/9781009157896.001
- Judge P.G., Lockwood G.W., Radick R.R., Henry G.W., Shapiro A.I., Schmutz W., Lindsey C. Confronting a solar irradiance reconstruction with solar and stellar data // Astron. Astrophys. V. 544. ID A88. 2012. https://doi.org/10.1051/0004-6361/201218903
- Jungclaus J.H., Bard E., Baroni M. et al. The PMIP4 contribution to CMIP6 – Part 3: The last millennium, scientific objective, and experimental design for the PMIP4 past1000 simulations // Geosci. Model Dev. V.10. № 11. P. 4005–4033. 2017. https://doi.org/10.5194/gmd-10-4005-2017
- Kopp G. Magnitudes and timescales of total solar irradiance variability // J. Space Weather Spac. V. 6. ID A30. 2016. https://doi.org/10.1051/swsc/2016025
- Lean J. Evolution of the Sun’s spectral irradiance Since the Maunder Minimum // Geophys. Res. Lett. V. 27. № 16. P. 2425−2428. 2000. https://doi.org/10.1029/2000GL000043
- Lean J.L., Coddington O., Marchenko S.V., Machol J., DeLand M.T., Kopp G. Solar irradiance variability: Modeling the measurements // Earth and Space Science. V. 7. № 8. ID e2019EA000645. 2020. https://doi.org/10.1029/2019EA000645
- Lockwood M., Ball W.T. Placing limits on long-term variations in quiet-Sun irradiance and their contribution to total solar irradiance and solar radiative forcing of climate // P. Roy. Soc. A. –Mat. Phy. V. 476. № 2238. ID 20200077. 2020. https://doi.org/10.1098/rspa.2020.0077
- Matthes K., Funke B., Anderson M. et al. Solar Forcing for CMIP6 (v3.2) // Geosci. Model Dev. V. 10. № 6. P. 2247−2302. 2017. https://doi.org/10.5194/gmd-10-2247-2017
- Montillet J.-P., Finsterle W., Kermarrec G., Sikonja R., Haberreiter M., Schmutz W., Dudok de Wit T. Data fusion of total solar irradiance composite time series using 41 years of satellite measurements // J. Geophys. Res. – Atmos. V. 127. № 13. ID e2021JD036146. 2022. https://doi.org/10.1029/2021JD036146
- Ogurtsov M. Prediction of cycle 24 based on information about solar activity during the last 10000 years // Geomagn. Aeronomy. V. 49. № 3. P. 408−411. 2009. https://doi.org/10.1134/S0016793209030165
- Ogurtsov M. New paleoclimatic evidence of an extraordinary rise in temperature in the Northern Hemisphere in the last 3−4 decades // Geogr. Ann. A. V. 104. № 4. P. 288−297. 2022. https://doi.org/10.1080/04353676.2022.2136454
- Penza V., Berrilli F., Bertello L., Cantoresi M., Criscuoli S., Giobbi P. Total solar irradiance during the last five centuries // Astrophys. J. V. 937. № 2. ID 84. 2022. https://doi.org/10.3847/1538-4357/ac8a4b
- Roth R., Joos F. A reconstruction of radiocarbon production and total solar irradiance from the Holocene 14C and CO2 records: Implications of data and model uncertainties // Clim. Past. V. 9. № 4. P. 1879−1909. 2013. https://doi.org/10.5194/cp-9-1879-2013
- Sarp V., Kilcik A., Yurchyshyn V., Rozelot J.P., Ozguc A. Prediction of solar cycle 25: A non-linear approach // Mon. Not. R. Astron. Soc. V. 481. № 3. P. 2981−2985. 2018. https://doi.org/10.1093/mnras/sty2470
- Shapiro A.I., Schmutz W., Rozanov E., Schoell M., Haberreiter M., Shapiro A.V., Nyeki S. A new approach to the long-term reconstruction of the solar irradiance leads to large historical solar forcing // Astron. Astrophys. V. 529. ID A67. 2011. https://doi.org/10.1051/0004-6361/201016173.
- Solanki S.K., Krivova N.A., Haigh J.D. Solar irradiance variability and climate // Annu. Rev. Astron. Astr. V. 51. № 1. P. 311−351. 2013. https://doi.org/10.1146/annurev-astro-082812-141007
- Steinhilber F., Abreu J.A., Beer J. et al. 9.400 years of cosmic radiation and solar activity from ice cores and tree rings // P. Natl. Acad. Sci. USA. V. 109. № 16. P. 5967−5971. 2012. https://doi.org/10.1073/pnas.1118965109
- Sugihara G., May R.M. Nonlinear forecasting as a way of distinguishing chaos from measurement error in time series // Nature. V. 344. № 6268. P. 734−741. 1990. https://doi.org/10.1038/344734a0
- Sugihara G. Nonlinear forecasting for the classification of natural time series // Phil. T. Roy. Soc. A. V. 348. № 1688. P. 477−495. 1994. https://doi.org/10.1098/rsta.1994.0106
- Wu C.-J., Krivova N.A., Solanki S.K., Usoskin I.G. Solar total and spectral irradiance reconstruction over the last 9000 year // Astron. Astrophys. V. 620. ID A120. 2018. https://doi.org/10.1051/0004-6361/201832956
- Yeo K.L., Solanki S.K., Krivova N.A., Rempel M., Anusha L.S., Shapiro A.I., Tagirov R.V., Witzke V. The dimmest state of the Sun // Geophys. Res. Lett. V. 47. № 19. ID e2020GL090243. 2020. https://doi.org/10.1029/2020GL090243
Supplementary files
Note
In the print version, the article was published under the DOI: 10.31857/S0016794025020124







