The Aerosol Layer of the Lower Thermosphere: II. Observation Under the Full Moon
- Authors: Belyaev A.N.1, Nikolaishvili S.S.1, Omel’chenko A.N.1, Repin A.Y.1, Poluarshinov M.A.2, Smirnov Y.V.2, Strakhov A.V.3, Batishchev A.G.4, Stasevich V.I.3, Platov Y.V.5
-
Affiliations:
- Fedorov Institute of Applied Geophysics (IPG)
- S.P. Korolev Rocket and Space Corporation Energia (RKK Energia)
- Scientific Production Enterprise Robis (NPP Robis)
- National Research Nuclear University Moscow Engineering Physical Institute (MEPhI)
- Pushkov Institute of Terrestrial Magnetism, Ionosphere and Radio Wave Propagation (IZMIRAN), Russian Academy of Sciences
- Issue: Vol 64, No 5 (2024)
- Pages: 688-700
- Section: Articles
- URL: https://journals.rcsi.science/0016-7940/article/view/283440
- DOI: https://doi.org/10.31857/S0016794024050097
- EDN: https://elibrary.ru/QQAGOK
- ID: 283440
Cite item
Full Text
Abstract
The results of the “Terminator” space experiment on board the International Space Station are given. Images of the Earth atmosphere are obtained in the near IR spectral range at limb-geometry of observations under the full Moon. The calculated vertical profiles of volume emission/scattering rate point that the aerosol layer occurs within the height region of 80 – 100 km in the Earth atmosphere. It is proposed that this layer is of meteoric origin. Estimations show that the size spectrum of aerosol particles lies within the region of 1 – 100 nm.
Keywords
Full Text
ВВЕДЕНИЕ
В статье [Беляев и др., 2023] были изложены аргументы, позволяющие считать, что слоистая структура, зарегистрированная на фоне лимба Земли в ходе проведения космического эксперимента (КЭ) “Терминатор” на Российском сегменте Международной космической станции (РС МКС), представляет собой аэрозольный слой. Была выдвинута гипотеза, что аэрозольные частицы, входящие в его состав, образуются в нижней термосфере в результате абляции метеороидов при их входе в атмосферу Земли.
Скорость притока метеорного вещества в атмосферу Земли оценивается в диапазоне значений 24 – 60 т/сут. Так, Gardner et al. [2014], использовав результаты лидарных измерений натрия в окрестности мезопаузы в модельных расчетах, получили величину 60 ± 16 т/сут, а Carrillo-Sanchez et al. [2016] обосновали величину 43 ± 14 т/сут. Позже оценка значения этого параметра была понижена до 28 ± 16 т/сут, при этом доля абляции была увеличена до 30%, из которых 18% составляет газообразная фаза [Carrillo-Sánchez, 2020]. Hervig et al. [2021], использовав результаты SOFIE-эксперимента, пришли к значению 24.7 ± 7.3 т/сут, из которых 7.3 ± 2.2 т/сут попадают в атмосферу в виде газо-паровой смеси. Оставшаяся часть метеорного вещества в результате гравитационного осаждения довольно быстро уходит в нижележащие слои атмосферы и, в конечном итоге, выпадает на поверхность Земли.
В процессе метеорной абляции в атмосферу в основном попадают Fe, Mg и Si в виде парогазовой смеси. Выше 100 км атомы металлов легко превращаются в ионы. Однако при этом из-за малой плотности воздуха образования ионных кластеров не происходит, а малая концентрация озона ограничивает образование ионов окислов металлов. А в силу того, что скорость рекомбинации металлических ионов со свободными электронами мала, их время жизни составляет величину порядка 10 дней, что вполне достаточно для образования слоев металлических ионов [Plane et al., 2023]. Ниже 100 км попавшие в атмосферу в виде паро-газовой смеси Fe, Mg и Si окисляются с образованием FeOH, Mg(OH)2 и SiO2, после чего из этих окислов и гидроокислов происходит образование компаундов с последующей полимеризацией, приводящей к образованию зачаточных аэрозольных частиц, размеры которых не превышают 10 нм [Plane et al., 2014].
Несмотря нa очевидную важность метеорного аэрозоля, задача его регистрации непосредственно в атмосфере [Plane et al., 2023] до сих пор не решенa. К примеру, в проекте MAGIC (Mesospheric Aerosol – Genesis, Interaction and Composition) был разработан прибор для геофизической ракеты, предназначенный для сбора частиц мезосферного аэрозоля и доставки их на землю для последующего лабораторного анализа. Принцип работы данного прибора заключался в последовательной кратковременной экспозиции сеток от электронного микроскопа для улавливания пролетающих мимо ракеты аэрозольных частиц по мере того, как ракета поднималась/спускалась в атмосфере. В период с 2005 г. по 2011 г. было проведено несколько пусков, результаты которых, к сожалению, не принесли ожидаемых результатов [Hedin et al., 2014].
В настоящее время уверенно регистрируется на высотах мезосферы – нижней термосферы только заряженная фракция метеорного аэрозоля. Первое бесспорное доказательство существования заряженных аэрозольных частиц было получено с помощью квадрупольного масс-спектрометра, установленного на геофизической ракете [Schulte and Arnold, 1992]. С его помощью на высотах более 80 км были зарегистрированы значимые величины объемной концентрации (>10 см-3) отрицательно заряженных аэрозольных частиц, массы которых лежали в диапазоне от 473 до 1000 а.е.м. Schulte и Arnold допустили метеорное происхождение этого аэрозоля. В дальнейшем, для регистрации мезосферного заряженного аэрозоля использовались детекторы, представляющие собой чашку/цилиндр Фарадея, снабженный набором наклонных экранов для исключения регистрации свободных электронов и ионов D-области ионосферы. С помощью этой технологии в диапазоне высот 80–100 км были зарегистрированы слои как положительно, так и отрицательно заряженных аэрозольных частиц [Gelinas et al.,1998; Lynch et al., 2005; Rapp et al., 2005]. В 2008 г. в обсерватории ALOMAR был проведен комплексный лидарно-ракетный эксперимент [Plane et al., 2014], в котором среди прочих атмосферных параметров был зарегистрирован слой отрицательно заряженного аэрозоля в интервале высот 80–100 км.
Первая попытка идентификации стратосферного и мезосферного аэрозоля из космоса была осуществлена в рамках космического эксперимента SOFIE (Solar Occultation For Ice Experiment), проведенного на борту космического аппарата AIM (Aeronomy of Ice in the Mesosphere) [Hervig et al., 2009; 2021] в 2007–2021 гг. Измерялся коэффициент экстинкции прямого солнечного излучения на 16 длинах волн в диапазоне от 0.292 до 5.316 мкм при заходе или восходе Солнца. Полученные результаты свидетельствуют о присутствии в диапазоне высот 30–75 км значимого количества аэрозольных частиц, концентрация которых на всех высотах, помимо хорошо выраженного сезонного хода с минимумом в летние месяцы, имеет существенные полушарные различия в зимние месяцы, с максимумом в Северном полушарии.
С 2020 г. по настоящее время на РС МКС проводится КЭ “Терминатор”. Его первые результаты опубликованы в статье [Беляев и др., 2023], где были представлены и проанализированы фотографии некоторого атмосферного аэрозольного слоя (предположительно, метеорного происхождения), расположенного в диапазоне высот 80–100 км на фоне лимба Земли в видимом и ближнем ИК-диапазоне солнечного спектра. В настоящей статье анализируются фотографии слоистой атмосферной структуры (САС), аналогичные тем, что были рассмотрены в предыдущей статье [Беляев и др., 2023] в рамках того же эксперимента (КЭ “Терминатор”), полученные с помощью той же аппаратуры, приблизительно на тех же высотах (верхняя мезосфера – нижняя термосфера), но не на фоне лимба Земли, а при подсветке полной Луны. В следующем разделе дается описание условий, при которых были получены изображения САС. Третий раздел посвящен подбору параметров перспективной проекции, используя которую в разделе 4 построены осредненные вертикальные профили яркости атмосферы и соответствующие им профили объемной светимости. В заключительном разделе обсуждаются полученные результаты. Описание используемой аппаратуры можно найти в статье [Беляев и др., 2023].
УСЛОВИЯ И ПАРАМЕТРЫ СЪЕМКИ
В ходе наблюдательного сеанса 07.03.2023 г. были сделаны три серии фотографий атмосферы, когда МКС находилась в широтном поясе от 35° N до 51° N на трех соседних витках в ближнем ИК-диапазоне спектра (λ=700 нм и λ=830 нм) при лимбовой геометрии визирования камер. Всего было получено несколько сотен изображений САС, расположенной в высотном интервале 80–100 км. Время съемки первой серии 10:43:46–10:54:36 UTC, второй − 13:49:26–14:05:46 UTC, третьей −15:22:26–15:22:36 UTC. Оптические оси фотокамер, закрепленных на иллюминаторе, были перпендикулярны оси Х связанной системы координат (ССК) станции и составляли углы ≈107° и ≈163° с осями Y и Z этой системы координат (СК). Съемка производилась в полнолуние, при отсутствии подсветки со стороны солнечного терминатора.
О географическом положении зарегистрированных в этом сеансе САС можно судить по рис. 1, на котором видно, что САС была зарегистрирована в широтном поясе от 15° N до 32° N, при этом ее долготная протяженность составила 160° (от 110° E до 90° W).
Рис. 1. Траектория МКС (пунктир) и положение зарегистрированной САС (непрерывная толстая линия) в ходе сеанса 07.03.2023 г.
Типичные изображения атмосферы, полученные в ходе данного наблюдательного сеанса, представлены на рис. 2. Верхний снимок сделан в диапазоне длин волн 700 ± 5 нм, нижний – в интервале 830 ± 5 нм. Съемка производилась с экспозицией 1 с через иллюминатор станции в направлении горизонта Земли. На снимках различимы: панель солнечной батареи МКС, регистрируемая САС и поверхность Земли с тропосферной облачностью. На снимках, полученных фотокамерой с фильтром (540 ± 5 нм) в видимом диапазоне спектра, изображение регистрируемой САС также присутствует, но значительно менее контрастно и потому в статье не приводится.
Рис. 2. (а) Фотография атмосферы в диапазоне длин волн 700 ± 5 нм, сделанная с РС МКС 07.03.2023 г. в 13:49:26 UTC. (б) Фотография атмосферы в диапазоне длин волн 830 ± 5 нм, сделанная с РС МКС 07.03.2023 г. в 13:49:26 UTC.
Ориентация МКС в момент съемки кадров, представленных на рис. 2, соответствует кватерниону q=[q1,q2,q3,q4], задающему ориентацию ССК в орбитальной системе координат (ОСК). В момент съемки, компоненты кватерниона имели следующие значения: q1=−0.033953328, q2=0.047074705, q3=0.99830276, q4=0.004798323, исходя из которых был определен вектор, задающий направление визирования блока фотокамер в ОСК. При этом его азимутальное направление составило ≈127°. Зенитный и азимутальный углы Солнца на момент съемки были равны 144° и −40° соответственно, т.е. Солнце находилось глубоко под горизонтом Земли в направлении, противоположном полю зрения фотокамер. Основной вклад в подсветку атмосферы и поверхности Земли давала Луна, находившаяся в фазе полнолуния. Ее зенитный и азимутальный углы равнялись 34° и 135° соответственно, т.е. Луна находилась высоко над горизонтом справа по ходу орбитального движения МКС.
НАСТРОЙКА ПРОЕКЦИОННОЙ МОДЕЛИ
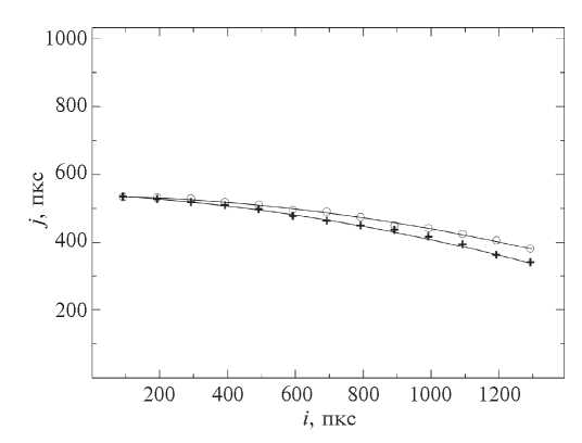
Положение изображения САС на матрице фотокамеры можно определить через матричные координаты ее центральной, наиболее яркой сферической области. Для этого в ПРИЛОЖЕНИИ А построена математическая модель, позволяющая рассчитать положение проекции линии видимого горизонта сферы радиуса R на плоскости матрицы фотокамеры, расположенной вне данной сферы. Параметрами модели являются: угол α между плоскостью матрицы фотоприемника и местной вертикалью (т.е. радиус-вектором, проведенным из центра сферы в центр матрицы), угол β между одной из сторон матрицы и местной горизонталью (т.е. угол поворота матрицы вокруг оси визирования фотокамеры) и расстояние r между матрицей и центром сферы. На момент съемки фотографий, представленных на рис. 2, длина радиус-вектора МКС в СК J2000 r=6787 км. Допустив, что радиус области максимальной яркости светящегося слоя и подобрав значения параметров α, β (см. табл. 1), мы рассчитали положения проекции видимого горизонта сферы радиуса на светочувствительных матрицах. Здесь км – радиус Земли на географической широте 20° и h=87 км – предполагаемая высота наблюдаемого слоя над поверхностью Земли. Рассчитанные в соответствии с ПРИЛОЖЕНИЕМ А проекции САС на плоскости матриц фотокамер представляют собой ветви гипербол с эксцентриситетами ε, равными 3.13 и 3.12 соответственно. На рис. 3 эти модельные проекции сопоставлены с положением пикселей с максимальными значениями яркости САС на рис. 2а и рис. 2б, сведенными в табл. 2. Проекционные модели с таким набором параметров были использованы при обработке снимков наблюдательного сеанса 07.03.2023 г.
Рис. 3. Действительное и расчетное положение САС на матрицах фотокамер. Крестиками (камера № 4) и кружками (камера № 3) отмечено положение наиболее ярких пикселей центральной части наблюдаемого слоя (см. табл. 2). Тонкая линия соответствует проекции с α=17.3°+0.0°, β=5.66°+1.64°=7.3°, θ=72.0°. Толстая линия – проекция с α=17.3°-0.63°=16.67°, β=5.66°+3.34°=9.0°, θ=72.0°.
Таблица 1. Значения параметров модели, выбранные для фотографий на рис. 2а и рис. 2б
Фотокамера (длина волны регистрируемого излучения) | α, градус | β, градус |
700 ± 5 нм (рис. 2а) | 16.7 | 9.0 |
830 ± 5 нм (рис. 2б) | 17.3 | 7.3 |
Таблица 2. Положение пикселей с максимальными значениями яркости слоя
Камера № 3 (λ=٧00 ± 5 нм) | |||||||||||||
i | 92 | 192 | 292 | 392 | 492 | 592 | 692 | 792 | 892 | 992 | 1092 | 1192 | 1292 |
j | 536 | 528 | 519 | 510 | 498 | 478 | 464 | 450 | 437 | 417 | 394 | 362 | 340 |
Камера № 4 (λ=830 ± 5 нм) | |||||||||||||
i | 92 | 192 | 292 | 392 | 492 | 592 | 692 | 792 | 892 | 992 | 1092 | 1192 | 1292 |
j | 534 | 533 | 530 | 519 | 511 | 496 | 491 | 475 | 450 | 442 | 425 | 406 | 381 |
ОБРАБОТКА ПОЛУЧЕННЫХ ДАННЫХ
Так как все изображения САС были получены на пределе чувствительности используемых фотокамер, то величина отношения сигнал/шум на этих кадрах не превосходит или порядка единицы. Естественным способом получить статистически значимые данные о вертикальном ходе яркости атмосферы является осреднение по всему ансамблю вертикальных фотометрических профилей, присутствующих на снимке. Эта процедура проводится следующим образом. (а) Область атмосферы, верхняя граница которой выше середины наблюдаемого слоя на 30 км, а нижняя – ниже на 90 км, мысленно разбивается на сферические слои толщиной 1 км; (б) плоскость матрицы делится на отдельные области ветвями гипербол, представляющие собой проекции границ между мысленно выделенными сферическими атмосферными слоями; (в) показания пикселей, попавших в одну и ту же область матрицы, усредняются, и полученное среднее значение ставится в соответствие радиусу соответствующего атмосферного сферического слоя. Примеры полученных таким образом осредненных вертикальных профилей интенсивности свечения атмосферы приведены на рис. 4. На этом рисунке величина светимости атмосферы представлена как в относительных, так и в абсолютных единицах измерения яркости. Верхние горизонтальные оси графиков задают величину яркости атмосферы в относительных единицах отсчетов аналого-цифровых преобразователей (АЦП) фотокамер. В то время как единицы измерения нижних горизонтальных осей этих графиков определены в единицах абсолютной величины яркости атмосферы – кРл. Переход от относительных величин яркости к абсолютным осуществлен в результате фотометрической калибровки цифровых изображений, при которой излучение звезды αLup (созвездие Волка), изображение которой присутствует на ряде снимков данного наблюдательного сеанса, было использовано в качестве калибровочного источника (см. ПРИЛОЖЕНИЕ Б).
Рис. 4. Усредненные вертикальные профили яркости атмосферы. Толстой линией обозначены вертикальные профили яркости атмосферы в интервале длин волн 700 ± 5 нм, тонкой – в интервале 830 ± 5 нм. Профили яркости построены по снимкам, сделанным 07.03.2023 г. в моменты времени: 10:43:46 UTC (а), 13:49:26 UTC (б), 15:22:26 UTC (в).
Усредненные вертикальные профили яркости атмосферы, представленные на рис. 4, рассчитаны исходя из снимков, сделанных в начале каждой из трех наблюдательных серий, в моменты, когда МКС находилась на 35° севернее экватора, и условия съемки примерно соответствовали ранее описанным в разделе 2. Эти профили демонстрируют ряд общих характерных особенностей высотного хода яркости атмосферы. (а) Имеют фоновую составляющую, величина которой определяет постоянное значение профиля на его верхнем конце. (б) Обладают хорошо выраженным пиком в своей верхней половине, высота и форма которого меняется от витка к витку. (в) В своей нижней трети растут по мере приближения к поверхности Земли. (г) Яркость атмосферы в диапазоне длин волн 700 ± 5 нм на всех высотах превосходит ее яркость в диапазоне 830 ± 5 нм, причем эта разница растет с падением высоты.
Величина фоновой компоненты вертикальных профилей яркости атмосферы, на наш взгляд, складывается из двух составляющих. Первая, это вклад от зодиакального света и света малых звезд, а также солнечного света, многократно рассеянного атмосферой. Вторая составляющая представляет собой шум ПЗС-матрицы фотоприемника.
После вычитания фоновой компоненты из вертикальных профилей яркости атмосферы (см. рис. 5), последние могут быть использованы для вычисления вертикальных профилей осредненной объемной светимости атмосферы E(z) [Гурвич и др., 2003]. Так как осредненная яркость атмосферы зависит только от вертикальной координаты z, то исходя из вертикального профиля B(z) можно вычислить осредненное высотное распределение E(z), в силу того что яркость свечения атмосферы связана с объемной светимостью, регистрируемой фотометром, соотношением [Гурвич и др., 2003; Yee et al., 1987]
Рис. 5. Те же профили яркости атмосферы, что на рис. 4, но после вычета фоновой составляющей.
. (1)
Здесь и далее B(z) выражено в кРл. Интегрирование в (1) ведется вдоль луча зрения, минимальное расстояние от которого до сферы радиуса равно z, при этом расстояние x отсчитывается по лучу зрения от точки с минимальным расстоянием до этой сферы. В этом случае , где – расстояние до сферы от точки с координатой x. Так как радиус Земли много больше толщины атмосферы H, то . Соответственно, . В этом случае соотношение (1) преобразуется в
. (2)
Последнее уравнение является интегральным уравнением Абеля первого рода и имеет аналитическое решение [Килбас, 2005]
. (3)
На рис. 6 изображены вертикальные профили объемной светимости атмосферы, рассчитанные в соответствии с решением (3), исходя из профилей яркости, представленных на рис. 5.
Рис. 6. Вертикальные профили объемной светимости атмосферы в результате рассеяния лунного света, рассчитанные исходя из соответствующих профилей яркости, приведенных на рис. 5.
Следует отметить, что высотная привязка вертикальных профилей как яркости, так и объемной светимости атмосферы на рис. 4–рис. 6, является весьма условной, так как определить по имеющимся у нас изображениям положение на них земного горизонта можно с точностью, не превышающей 5–7 км. Поэтому мы произвольно предположили, что максимум свечения САС на рис. 2а располагается на высоте 87 км, и вся последующая настройка и использование проекционной модели для обработки снимков были проведены с учетом этого обстоятельства. В силу этого, о высотном ходе яркости атмосферы на рис. 4а и рис. 4в, строго говоря, можно судить только относительно положения максимума яркости слоя, приведенного на рис. 4б. Тем не менее, можно с уверенностью утверждать, что на измеренных нами профилях яркости атмосферы присутствуют две сравнимые по интенсивности области рассеяния лунного света: в тропосфере – нижней стратосфере и в верхней мезосфере – нижней термосфере. При этом характерным отличием их друг от друга является величина отношения светимости атмосферы в интервале длин волн 700 ± 5 нм к яркости диапазона 830 ± 5 нм. В верхнем рассеивающем слое это отношение лежит в диапазоне 1.1–1.2, а в нижнем 1.8–2.0.
ОБСУЖДЕНИЕ РЕЗУЛЬТАТОВ
Полученные в предыдущих разделах результаты указывают на то, что в ближнем ИК-диапазоне спектра рассеяние отраженного от Луны солнечного света, происходит в основном в двух атмосферных слоях: в окрестности мезопаузы и в тропосфере.
Очевидно, что основным механизмом рассеяния света в нижнем слое является его рассеяние на флуктуациях плотности воздуха, предполагающим обратно пропорциональную зависимость его сечения от четвертой степени длины падающей электромагнитной волны. Это означает, что в этом случае объемная светимость атмосферы в интервале длин волн 700 ± 5 нм должна превосходить светимость атмосферы в интервале длин волн 830 ± 5 нм в (830/700)4≈1.97 раз. Примерно такое соотношение объемных светимостей можно отметить на рис. 6 для нижнего (тропосферного) рассеивающего слоя. В силу этого, можно допустить, что в этом диапазоне длин волн, рассеяние “лунного” света на тропосферном и стратосферном аэрозоле играет второстепенную роль, либо размер частиц этого аэрозоля не должен превышать 10 нм.
Очевидно, что с ростом высоты, в силу падения плотности воздуха, роль рэлеевского рассеяния света на молекулах воздуха падает. Действительно, рис. 6 показывает, что выше некоторого высотного уровня (на рис. 6 это условная высота 30 км) чувствительность нашей аппаратуры не позволяет регистрировать рэлеевское рассеяние “лунного” света в диапазоне длин волн 700–830 нм на молекулах воздуха. Поэтому зарегистрированный нами (на высотах мезопаузы) рассеивающий слой обязан своим существованием некоторому аэрозольному слою, расположенному в том же высотном интервале. Величина отношения объемных светимостей этого слоя на длинах волн 700 и 830 нм (≈ 1.1 – 1.2, см. предыдущий раздел) предполагает присутствие механизма рассеяния “лунного” света на аэрозольных частицах, размер которых сопоставим с длиной этой волны (рассеяние Ми). Именно таких размеров частицы были зарегистрированы в лабораторных экспериментах по имитации процессов абляции метеороидов в атмосфере Земли [Saunders and Plane, 2006]. В этой же статье было показано, что в интервале длин волн 400–650 нм рассеяние света на этих частицах хорошо описывается теорией Ми.
Имея это в виду, можно предположить, что верхняя граница спектра размеров частиц зарегистрированного аэрозольного слоя сравнима с длинами рассеянных им электромагнитных волн, а спектр размеров его частиц лежит в диапазоне от одного до нескольких сотен нанометров. Соответственно, свет, рассеянный этим слоем, состоит из фотонов, претерпевших или рассеяние Рэлея на мелких (порядка нескольких нанометров), или рассеяние Ми на крупных (несколько сот нанометров) частицах.
Сравнение вертикальных профилей яркости атмосферы, полученных при лунной подсветке (см. рис. 4 настоящей статьи) с профилем на фоне лимба Земли (см. рис. 5 предшествующей статьи [Беляев и др., 2023]), показывает, что в последнем случае наблюдаемая САС была подсвечена значительно лучше. Действительно, яркость САС на фоне земного лимба (измеренная в относительных единицах АЦП фотоприемника с фильтром на полосу 700 ± 5 нм) примерно в два раза превосходит яркость САС, обсуждаемых в настоящей статье, несмотря на то, что коэффициент усиления фотоприемника при их регистрации был в два раза выше. Тем не менее, вертикальные профили яркости САС при лунной подсветке прописаны более четко благодаря значительно меньшей интенсивности рассеянного солнечного света в нижележащем слое атмосферы.
Интенсивность подсветки атмосферы рассеянным солнечным излучением (т.е. лимбом Земли) напрямую зависит от глубины погружения Солнца за земной горизонт. Исследованию этой зависимости будет посвящена наша следующая статья, где также будет рассмотрен вопрос о вкладе в яркость наблюдаемых САС собственного излучения атмосферы.
ЗАКЛЮЧЕНИЕ
В ходе КЭ “Терминатор” САС, подобные тем, что были описаны в настоящей и предшествующей [Беляев и др., 2023] статьях, неоднократно регистрировались на высотах верхней мезосфере – нижней термосфере в субтропиках и средних широтах обоих полушарий. Учитывая то, что метеороиды, входящие в атмосферу, разрушаются именно в этом диапазоне высот, можно с большой долей уверенности утверждать, что зарегистрированная САС представляет собой аэрозольный слой метеорного происхождения, который постоянно присутствует в атмосфере Земли и покрывает всю площадь земного шара. Метеорный аэрозоль играет важную роль в физико-химических процессах средней атмосферы, выступая в роли ядер конденсации для СО и H2O в стратосфере и мезосфере, влияя посредством процессов гетерогенной химии на баланс соединений нечетного кислорода (О и О3) и водорода (ОН и НО2), играя важную роль в установлении зарядового равновесия в мезосфере и выступая в качестве важного компонента в формировании стратосферного сульфатного аэрозоля и полярных стратосферных облаков, влияющих на озоновый слой Земли. Локальные значения объемной концентрации метеорных аэрозольных частиц, спектр их размеров могут меняться в зависимости от характеристик метеорного потока, плотности атмосферы, наличия восходящих или нисходящих воздушных потоков, времени года и местоположения. Зависимость от этих параметров еще предстоит исследовать, чтобы получить параметризации, необходимые для глобальных климатических моделей.
ПРИЛОЖЕНИЕ А
Рассмотрим задачу о проекции горизонта сферы радиуса R на плоскость матрицы, отстоящей от центра проекции S на расстояние f, равное фокусному расстоянию объeктива фотокамеры. При проведении расчетов будем использовать перспективную центральную проекцию, используемую в фотограмметрии, схема которой приведена на рис. 7А1.
Рис. 7А1. Перспективная проекция на плоскость матрицы. T – плоскость матрицы фотокамеры; S – центр проекции; SM – оптическая ось объектива фотокамеры; длина отрезка SM равна его фокусному расстоянию f, М – главная точка матрицы, т.е. точка пересечения оптической оси O с плоскостью матрицы T.
Введем правую прямоугольную СК с началом в центре проекции, точке S, так чтобы оптическая ось фотокамеры лежала в плоскости , ось была вертикальной, а ось x’ дополняла эту СК до правой (см. рис. 8А2).
Тогда конус, образующие которого представляют собой лучи зрения, направленные от наблюдателя, находящегося в центре проекции S, к видимому им горизонту сферы, задается в этой СК уравнением:
, (А1)
где угол раствора конуса θ определяется как
. (А2)
Здесь r – расстояние от центра сферы до центра проекции S, R – радиус наблюдаемой сферы. В дальнейшем будем называть этот конус – конусом видимого горизонта. Положение матрицы в этой СК показано на рис. 8А2.
Рис. 8А2. Положение матрицы фотоприемника (М) относительно конуса видимого горизонта.
Без ограничения общности можно считать, что плоскость матрицы T параллельна оси и составляет угол α с осью (см. рис. 8А2). При этом она является плоскостью, секущей конус видимого горизонта (см. рис. 8А2). В силу этого, проекция линии горизонта на плоскость матрицы представляет собой коническое сечение, эксцентриситет которого определяется углом наклона α секущей плоскости к оси конуса (ось ) и углом раствора конуса θ. Величина ε определяет тип этой кривой второго порядка (эллипс, парабола или гипербола), зависящий от ориентации плоскости матрицы фотокамеры относительно направляющих конуса видимого горизонта.
Для того чтобы определить конкретный вид этой проекции, введем еще одну ортогональную правую СК, оси x и y которой лежат в плоскости матрицы, а ось z совпадает с оптической осью фотокамеры. При этом ось x параллельна оси . Данную СК будем называть главной матричной СК. В этой СК уравнение конуса (А1) примет следующий вид
(А3)
где α – угол между плоскостью матрицы и осью . Связь между координатами точки в новой и старой системах координат запишется следующим образом:
(А4)
Полагая в уравнении (А3) , получим уравнение проекции видимого горизонта сферы,
(А5)
Так как матрица, в общем случае, может быть повернута на некоторый угол β относительно главной матричной СК (x,y), то вид уравнения конического сечения в матричной СК (i,j), начало которой сдвинуто из главной точки матрицы (i0,j0) в ее угол, может быть получен с помощью преобразования поворота и сдвига:
(А6)
где i и j – номера строки и столбца соответственно.
ПРИЛОЖЕНИЕ Б
Фотометрические характеристики звезды αLup (альфа созвездия Волка) следующие: видимая звездная величина 2.28; абсолютная звездная величина −4.3; спектральный класс В1.5III; показатели цветности B-V=−0.16, U-B=−0.91; температура 23100 К. Исходя из этих данных, воспользовавшись методикой, изложенной в статье [Аванесов и др., 2019], были рассчитаны внеатмосферные световые потоки от данной звезды для двух длин волн, соответствующих используемым в наших фотокамерах фильтрам (700 ± 5 нм и 830 ± 5 нм): 2.24 10-10 эрг/(см2с Å) и 1.32 10-10 эрг/(см2с Å).
Количество отсчетов I на пикселях ПЗС-матрицы, порождаемых АЦП-фотоприемника, пропорционально потоку падающего излучения. В апертурной фотометрии звезд определение количества “звездных” отсчетов проводится в пределах апертуры, покрывающей изображение звезды на фоточувствительной матрице. В нашем случае 594 и 467 единиц АЦП. Сопоставив величины световых потоков P на входе в оптическую систему “фотоприемник + иллюминатор” с выходным сигналом I, вычислим цену деления единицы АЦП для каждого фотоприемника: эрг/(см2с Å)/ед. АЦП и эрг/(см2с Å)/ед. АЦП.
По определению, световой поток , где В – яркость свечения атмосферы, осредненная по телесному углу . Для пикселя размером d матрицы фотоприемника с фокусным расстоянием f можно записать
, (Б1)
где – телесный угол, в пределах которого собирается световой поток, падающий на отдельный пиксель. Полагая, что величина светового потока падающего на каждый пиксель ПЗС-матрицы будет пропорциональна АЦП-показанию I данного пикселя, определим связь яркости B атмосферной области, попадающей в телесный угол , с величиной I
, кРл (Б2)
где d =6.4 мкм – размер пикселя ПЗС матрицы, f =12.5 мм – фокусное расстояние объектива, 5 нм – эффективное спектральное окно используемого оптического фильтра, 1 c – время экспозиции. Для длины волны 700 нм энергия фотона равна 2.83 10-12 эрг, а для фотонов с длиной волны 830 нм 2.4 10-12 эрг. Подставив эти значения в (Б2), придем к выражениям, позволяющим градуировать полученные изображения атмосферы в единицах яркости кРл. Для камеры с фильтром 700 ± 5 нм формула пересчета выглядит следующим образом: кРл, а для камеры с фильтром 830 ± 5 нм кРл.
About the authors
A. N. Belyaev
Fedorov Institute of Applied Geophysics (IPG)
Author for correspondence.
Email: anb52@mail.ru
Russian Federation, Moscow
S. Sh. Nikolaishvili
Fedorov Institute of Applied Geophysics (IPG)
Email: ser58ge@gmail.ru
Russian Federation, Moscow
A. N. Omel’chenko
Fedorov Institute of Applied Geophysics (IPG)
Email: alexom@mail.ru
Russian Federation, Moscow
A. Yu. Repin
Fedorov Institute of Applied Geophysics (IPG)
Email: repin_a_yu@mail.ru
Russian Federation, Moscow
M. A. Poluarshinov
S.P. Korolev Rocket and Space Corporation Energia (RKK Energia)
Email: mikhail.poluarshinov@rsce.ru
Russian Federation, Korolev, Moscow oblast
Yu. V. Smirnov
S.P. Korolev Rocket and Space Corporation Energia (RKK Energia)
Email: yury.v.smirnov@rsce.ru
Russian Federation, Korolev, Moscow oblast
A. V. Strakhov
Scientific Production Enterprise Robis (NPP Robis)
Email: lexand@robis.ru
Russian Federation, Moscow
A. G. Batishchev
National Research Nuclear University Moscow Engineering Physical Institute (MEPhI)
Email: alexey-batschev@mail.ru
Russian Federation, Moscow
V. I. Stasevich
Scientific Production Enterprise Robis (NPP Robis)
Email: walter@robis.ru
Russian Federation, Moscow
Yu. V. Platov
Pushkov Institute of Terrestrial Magnetism, Ionosphere and Radio Wave Propagation (IZMIRAN), Russian Academy of Sciences
Email: yplatov@mail.ru
Russian Federation, Moscow, Troitsk
References
- Аванесов Г.А., Строилов Н.А., Филиппова О.В., Шамис В.А., Эльяшев Я.Д. Фотометрическая модель звездного датчика ориентации // Современные проблемы дистанционного зондирования Земли из космоса. Т. 16. № 5. С. 75–84. 2019. https://doi.org/10.21046/2070-7401-2019-16-5-75-84
- Беляев А.Н., Николайшвили С.Ш., Омельченко А.Н., Репин А.Ю., Полуаршинов М.А., Смирнов Ю.В., Страхов А.В., Батищев А.Г., Стасевич В.И., Платов Ю.В. Аэрозольный слой нижней термосферы: I. наблюдение на фоне лимба Земли // Геомагнетизм и аэрономия. Т. 63. № 4. C. 455–466. 2023. https://doi.org/10.31857/S0016794023600400
- Гурвич А.С., Воробьёв В.В., Савченко С.А., Пахомов А.И., Падалка Г.И., Шефов Н.Н., Семёнов А.И. Ночное свечение верхней атмосферы в диапазоне 420 – 530 нм по измерениям на орбитальной станции “Мир” в 1999 г. // Геомагнетизм и аэрономия. Т. 42. № 4. С. 541–546. 2002.
- Килбас А.А. Интегральные уравнения: курс лекций. Мн.: БГУ, 143 с. 2005.
- Carrillo-Sánchez J.D., Nesvorný D., Pokorný P., Janches D., Plane J.M.C. Sources of cosmic dust in the Earth’s atmosphere // Geophys. Res. Lett. V. 43. № 23. P. 11979–11986. 2016. https://doi.org/10.1002/2016GL071697
- Carrillo-Sánchez J.D., Gómez-Martin J.C., Bones D.L., Nesvorný D., Pokorný P., Benna M., Flynn G.F., Plane J.M.C. Cosmic dust fluxes in the atmospheres of Earth, Mars and Venus // Icarus. V. 335. ID 113395. 2020. https://doi.org/10.1016/j.icarus.2019.113395
- Gardner C.S., Liu A.Z., Marsh D.R., Wuhu Feng, Plane J.M.C. Inferring the global cosmic dust influx to the Earth’s atmosphere from lidar observations of the vertical flux of mesospheric Na // J. Geophys. Res. – Space. V.119. № 9. P. 7870–7879. 2014. https://doi.org/10.1002/2014JA020383
- Gelinas L.J., Lynch K.A., Kelley M.C., Collins R.L., Baker S., Zhou Q., Friedman J.C. First observation of meteoritic charged dust in the tropical mesosphere // Geophys. Res. Lett. V. 25. № 21. P. 4047–4050. 1998. https://doi.org/10.1029/1998GL900089
- Hedin J., Giovane F., Waldemarsson T., Gumbel J., Blum J., Stroud R.M., Marlin L., Moser J., Siskind D.E., Jansson K., Saunders R.W., Summers M.E., Reissaus P., Stegman J., Plane J.M.C., Horanyi M. The MAGIC meteoric smoke particle sampler // J. Atmos. Sol.-Terr. Phy. V. 118. P. 127–144. 2014. https://doi.org/10.1016/j.jastp.2014.03.003
- Hervig M.E., Gordley L.L., Deaver L.E., Siskind D.E., Stevens M.H., Russell J.M., Bailey S.M., Megner L., Bardeen C.G. First satellite observations of meteoric smoke in the middle atmosphere // Geophys. Res. Lett. V. 36. № 18. ID L18805. 2009. https://doi.org/10.1029/2009GL039737
- Hervig M.E., Plane J.M.C., Siskind D.E., Wuhu Feng, Bardeen C.G., Bailey S.M. New global meteoric smoke observations from SOFIE: Insight regarding chemical composition, meteoric influx, and hemispheric asymmetry // J. Geophys. Res. – Atmos. V. 126. № 13. ID e2021JD035007. 2021. https://doi.org/10.1029/2021JD035007
- Lynch K.A., Gelinas L.J., Kelley M.C., Collins R.L., Widholm M., Rau D., MacDonald E., Liu Y., Ulwick J., Mace P. Multiple sounding rocket observations of charged dust in the polar winter mesosphere // J. Geophys. Res. – Space. V.110. № 3. ID A03302. 2005. https://doi.org/10.1029/2004JA010502
- Plane J.M.C., Feng W., Dawkins E.C.M. The mesosphere and metals: Chemistry and changes // Chem. Rev. V. 115. № 10. P. 4497–4541. 2023. https://doi.org/10.1021/cr500501m
- Plane J.M.C., Saunders R.W., Hedin J., Stegman J., Khaplanov M., Gumbel J., Lynch K.A., Bracikowski P.J., Gelinas L.J., Friedrich M., Blindheim S., Gausa M., Williams B.P. A combined rocket-borne and ground-based of the sodium layer and charged dust in the upper mesosphere // J. Atmos. Sol.-Terr. Phy. V. 118. P. 151–160. 2014. https://doi.org/10.1016/j.jastp.2013.11.008
- Rapp M., Hedin J., Strelnikova I., Friedrich M., Gumbel J., Lübken F.-J. Observations of positively charged nanoparticles in the nighttime polar mesosphere // Geophys. Res. Lett. V. 32. № 23. ID L23821. 2005. https://doi.org/10.1029/2005GL024676
- Saunders R.W., Plane J.M.C. A laboratory study of meteor smoke analogues: composition, optical properties and growth kinetics // J. Atmos. Sol.-Terr. Phy. V. 68. № 18. P. 2182–2202. 2006. https://doi.org/10.1016/j.jastp.2006.09.006
- Schulte P., Arnold F. Detection of upper atmospheric negatively charged microclusters by a rocket borne mass spectrometer // Geophys. Res. Lett. V.19. № 23. P. 2297–2300. 1992. https://doi.org/10.1029/92GL02631
- Yee J.H., Abreu V.J. Mesospheric 5577 Å green line and atmospheric motions – Atmospheric Explorer satellite observations // Planet. Space Sci. V. 35. № 11. P. 1389–1395. 1987. https://doi.org/10.1016/0032-0633(87)90051-1
Supplementary files











