Some features of interacting solar wind disturbances
- Authors: Shlyk N.S.1, Belov A.V.1, Abunina M.A.1, Belov S.M.1, Abunin A.A.1, Oleneva V.A.1, Yanke V.G.1
-
Affiliations:
- Pushkov Institute of Terrestrial Magnetism, Ionosphere and Radio Wave Propagation, Russian Academy of Sciences
- Issue: Vol 64, No 4 (2024)
- Pages: 465-478
- Section: Articles
- URL: https://journals.rcsi.science/0016-7940/article/view/277430
- DOI: https://doi.org/10.31857/S0016794024040027
- EDN: https://elibrary.ru/RTUWUR
- ID: 277430
Cite item
Full Text
Abstract
Using the updated Forbush Effects and Interplanetary Disturbances Database (https://tools.izmiran.ru/feid), an extensive analysis of the various characteristics of events caused by the influence of interacting solar wind disturbances on near-Earth space was carried out. In particular, the cases of different combinations of pair interaction of high-speed streams from coronal holes and coronal mass ejections over a long period from 1995 to 2022 are considered. Variations in the flux of galactic cosmic rays (with a rigidity of 10 GV), changes in the parameters of the interplanetary medium and geomagnetic activity are described. It is shown that the degree of mutual influence depends on the time between the registration of neighboring events, while the most pronounced changes in various parameters exist for events in which interaction occurred before reaching the Earth’s orbit. It has also been established that in interacting solar wind disturbances, not only the extrema of the parameters of cosmic rays, interplanetary medium and geomagnetic activity are subject to changes, but also their time profile.
Full Text
1. ВВЕДЕНИЕ
По мере распространения от Солнца к Земле высокоскоростные потоки плазмы из корональных дыр (КД) и корональные выбросы массы (КВМ) могут взаимодействовать между собой, что приводит к изменению ожидаемых величин параметров солнечного ветра (СВ) и межпланетного магнитного поля (ММП) у орбиты Земли. Существует ряд работ, посвященных исследованию различных характеристик подобных взаимодействий возмущений СВ. Например, источники взаимодействующих межпланетных возмущений и их возможная классификация обсуждаются в работах [Ivanov, 1982; Burlaga, Behannon, and Klein, 1987; Behannon et al., 1991; Burlaga et al., 2003; Wang, Wang, and Ye, 2002; Lugaz et al., 2017].
Взаимодействие КВМ может привести к изменениям скорости и направления распространения [Xiong, Zheng, and Wang, 2009; Lugaz et al., 2012, 2017; Shen et al., 2012; 2017; Mishra, Srivastava, and Singh, 2015], радиальному расширению, а также изменению внутренней структуры магнитного поля КВМ [Schmidt and Cargill, 2004; Xiong et al., 2006; Lugaz et al., 2005, 2012]. Некоторые авторы также отмечали изменение характеристик длинноволновых радиосигналов, сопутствующих КВМ [Gopalswamy et al., 2001; Temmer et al., 2014], или ионного состава СВ [Rodkin et al., 2016; 2018] во взаимодействующих межпланетных возмущениях.
Учитывая, что основная структура распространяющегося в межпланетном пространстве КВМ состоит из двух основных частей (ударная волна с областью взаимодействия + тело выброса), на данный момент считается, что взаимодействие КВМ между собой может быть представлено в четырех основных формах [Zhang et al., 2021 и ссылки там]:
(1) взаимодействие двух ударных волн между собой, без взаимодействия основных частей выбросов;
(2) взаимодействие более поздней ударной волны с телом предшествующего КВМ;
(3) прямое взаимодействие между телами двух выбросов;
(4) магнитное пересоединение между последовательными КВМ (слияние или “каннибализм”).
Последние три могут привести к образованию множества сложных структур у орбиты Земли, начиная от частичного взаимодействия предшествующего выброса с ударной волной от следующего выброса, которые были описаны в работах [Lugaz et al., 2015a, b; Wang, Ye, and Wang, 2003; Liu et al., 2018; Wang et al., 2018; Xu et al., 2019], до регистрации множественных магнитных облаков (МО) [см. Wang, Wang, and Ye, 2002; Wang, Ye, and Wang, 2003; Shen et al., 2011; Lugaz et al., 2013] или выброса со сложной структурой магнитного поля и/или большой длительности [Burlaga et al., 2003; Dasso et al., 2009; Lugaz et al., 2013].
Некоторые авторы также рассматривали различные аспекты взаимодействия КВМ с высокоскоростными потоками из КД, в зависимости, например, от их взаимного расположения на солнечном диске [Gopalswamy et al., 2009; Mäkelä et al., 2013; Rodkin et al., 2016; Heinemann et al., 2019]. Кроме того, проведенное численное моделирование в работах [Odstrčil, Dryer, and Smith, 1996; Odstrčil, Riley, and Zhao, 2004; Zhou and Feng, 2017; Liu, Shen, and Yang, 2019] показало, что коротирующие области взаимодействия (КОВ), возникающие при распространении высокоскоростных потоков из КД в межпланетном пространстве, могут не только играть существенную роль в процессе распространения КВМ, но и оказывать влияние на их геоэффективность.
Действительно, взаимодействующие возмущения СВ могут быть более геоэффективными, чем те, которые регистрируются на Земле по одиночке. Они вызывают значительные магнитные бури [Farrugia and Berdichevsky, 2004; Zhang et al., 2007, 2021; Zhang, Richardson, and Webb, 2008], влияют на распространение заряженных частиц в межпланетном пространстве [Gopalswamy et al., 2002; Kahler and Vourlidas, 2005; Lugaz et al., 2017] или приводят к образованию более сложных условий для возникновения и развития Форбуш-эффектов (ФЭ) [см. Шлык и др., 2021; Shlyk et al., 2022].
Целью настоящей работы является анализ, описание и уточнение наблюдаемых эффектов изменения параметров космических лучей (КЛ), межпланетной среды и геомагнитной активности (ГА) с использованием обширного статистического материала в период с 1995 по 2022 гг. для различных групп возмущений СВ: (1) изолированных событий, (2) событий, вступивших во взаимодействие еще до прибытия к орбите Земли и регистрируемых как одно целое, и (3) пар событий, наблюдавшихся в околоземном космическом пространстве с разницей менее 50 ч.
2. ДАННЫЕ И МЕТОДЫ
Анализ проводится с использованием усовершенствованной и расширенной базы данных FEID (Forbush Effects and Interplanetary Disturbances), доступной онлайн по ссылке (https://tools.izmiran.ru/feid). Помимо параметров галактических КЛ, рассчитанных методом глобальной съемки [Белов и др., 2018] по данным мировой сети нейтронных мониторов (http://www.nmdb.eu/) для частиц с жесткостью 10 ГВ, в этой базе данных также содержатся различные параметры межпланетной среды и ГА. В частности, параметры СВ и ММП взяты из базы данных OMNI (https://omniweb.gsfc.nasa.gov/), характеристики ГА (Dst-, Kp- и Ap-индексы) – (http://wdc.kugi.kyoto-u.ac.jp/dstdir/index.html, ftp://ftp.gfz-potsdam.de/pub/home/obs/kp-ap/wdc [Matzka et al., 2021]), список ударных волн – (http://isgi.unistra.fr/datadownload.php), параметры КВМ – (https://cdaw.gsfc.nasa.gov/CME_list/), рентгеновских вспышек – (http://www.swpc.noaa.gov/ftpdir/lists/xray, ftp://ftp.swpc.noaa.gov/pub/indices/events/), КД – (https://solen.info/solar/coronal_holes.html).
Для данного исследования было проанализировано 1231 межпланетное возмущение, поделенные на 6 групп в зависимости от типа солнечного источника и наличия взаимодействия между соответствующими возмущениями СВ. Более подробное описание условий определения каждой выборки и их характеристики приведены ниже. Полный список исследуемых событий и значений их основных параметров доступен по ссылке http://spaceweather.izmiran.ru/papers/2024/sw_dist.pdf.
3. ИСТОЧНИКИ И ВИДЫ ВЗАИМОДЕЙСТВУЮЩИХ МЕЖПЛАНЕТНЫХ ВОЗМУЩЕНИЙ
Существование большого количества следующих друг за другом и впоследствии накладывающихся событий не представляется удивительным. Это легко объяснить, например, тем фактом, что КД большой площади могут проходить центральный солнечный меридиан в течение нескольких дней, и эффекты от их высокоскоростных потоков затем могут регистрироваться на Земле в течение нескольких суток, а за это время на солнечном диске может случиться не один выброс корональной массы. Кроме того, в работах Moon et al. [2003] и Wang et al. [2013] было показано, что не все КВМ возникают независимо друг от друга. Были описаны как минимум два класса таких событий – симпатические и гомологичные КВМ (см. [Lugaz et al., 2017]). К симпатическим КВМ относятся выбросы, происходящие в разных областях солнечного диска, но почти “одновременно” (разница до нескольких часов, [Moon et al., 2003]). Гомологичными КВМ называют выбросы, возникающие последовательно из одного и того же региона (активной области (АО)) за относительно короткий интервал времени (опять же несколько часов), имеющие похожие морфологию и характеристики [Zhang and Wang, 2002; Chen et al., 2011; Wang et al., 2013]. Два типа взаимосвязанных КВМ являются потенциальными кандидатами на взаимодействие между собой. Такие взаимодействия могут происходить как на начальной стадии распространения в солнечной короне, так и позже, по мере распространения в межпланетном пространстве, в зависимости от разницы во времени и начальных скоростей.
Однако вопрос о том, где лежит граница между взаимодействующими и изолированными возмущениями СВ остается открытым. Шлык и др. [2021] на основе анализа большого количества межпланетных возмущений, собранных в базе данных FEID, установили, что в период с 1995 по 2019 гг. в общей сложности было зарегистрировано более 3 тысяч событий. Несложные расчеты (отношение количества дней к количеству событий) позволили сделать вывод, что, в среднем, каждые три дня у Земли регистрируется новое межпланетное возмущение, и, следовательно, новый ФЭ. Под ФЭ здесь и далее понимается изменение плотности и анизотропии КЛ под воздействием крупномасштабных возмущений СВ [Belov et al., 2001]. В той же работе [Шлык и др., 2021] путем экспериментального отбора, на основе подсчета времени между соседними событиями в базе данных и наблюдения изменения их характеристик, авторами было определено условное пороговое значение – 50 ч. Соответственно, события разделенные промежутком времени ≥ 50 ч, считаются не оказывающими друг на друга влияния, и наоборот, события, разделенные промежутком времени < 50 ч, были признаны взаимодействующими.
Выбор такого интервала времени подкрепляется также следующими рассуждениями. Рассмотрим только невзаимодействующие или изолированные события (т.е. те, после начала которых в течение 50 ч не зарегистрировано новых межпланетных возмущений), независимо от типа солнечного источника, но при условии >80% покрытия данными СВ и КЛ. Применение метода наложения эпох (рис. 1, левая панель) позволяет сделать несколько важных выводов. Во-первых, для изолированных событий (левая панель) самые резкие изменения величины ММП (черная кривая, правая шкала) однозначно происходят в первые 10 ч после начала события, а через 35–50 ч величина ММП возвращается к фоновым значениям. Во-вторых, в обозначенные выше 50 ч укладываются все основные изменения плотности потока КЛ (серая кривая, левая шкала): фаза спада длится около 20 ч, а в следующие 30 ч плотность КЛ возвращается к начальным значениям.
Рис. 1. Поведение плотности потока КЛ жесткостью 10 ГВ (А0, серая кривая, левая шкала) и величины ММП (B, черная кривая, правая шкала) в изолированных (левая панель, 2118 событий) и взаимодействующих событиях (правая панель, 1740 событий). Тонкими линиями соответствующих цветов показано отклонение ±σ.
Если же сравнить поведение этих же параметров для взаимодействующих событий (тех, в которых следующее межпланетное возмущение зарегистрировано менее чем через 50 ч после начала), также независимо от типа солнечного источника, и при условии >80% покрытия данными СВ и КЛ, картина будет совершенно другой (рис. 1, правая панель). Хорошо видно, что наличие взаимодействия выражается в повышенном ММП, которое не возвращается к фоновому уровню в течение нескольких десятков часов. Это оказывает влияние на профиль ФЭ: фаза спада более длительная и сам ФЭ более глубокий, чем для изолированных событий. Очевидно, что в данном случае присутствует влияние не одного, а как минимум двух следующих друг за другом межпланетных возмущений. Далее будет показано, что одним из важных факторов влияния следующего события на предыдущее является именно увеличение значений ММП и изменение как магнитуды, так и длительности фазы спада плотности КЛ.
Таким образом, можно считать выбранный временной интервал (50 ч) удовлетворительным порогом для разделения взаимодействующих и изолированных межпланетных возмущений. Анализ поведения параметров ММП, СВ, КЛ и ГА, а также солнечных источников позволил уточнить типы и количество групп взаимодействующих межпланетных возмущений в сравнении с предыдущими исследованиями [Шлык и др., 2021; Shlyk et al., 2022] для большего периода наблюдений с 1995 по 2022 гг. В частности, в настоящей работе будут рассмотрены следующие группы:
- вступившие во взаимодействие до прибытия к Земле КВМ (MIX CME) – 107 событий;
- вступившие во взаимодействие до прибытия к Земле КВМ и поток из КД (MIX HSS) – 187 событий;
- последовательно зарегистрированные на 1 а.е. пары КВМ (ICME1+ICME2) – 120 пар;
- последовательно зарегистрированные на 1 а.е. пары КВМ и потока из КД (ICME+HSS) – 176 пар.
Для создания контрольных групп также были выделены изолированные события (т.е. те, на развитие которых не оказывают влияния “соседние” возмущения СВ):
- Изолированные (“чистые”) КВМ (Pure ICMEs) – 153 события;
- Изолированные (“чистые”) потоки из КД (Pure HSSs) – 194 события.
Интересно отметить, что количество событий в различных группах подвержено зависимости от фазы цикла солнечной активности. На рис. 2 представлено изменение количества событий в различных группах за весь исследуемый период времени (верхняя панель – группы изолированных событий, средняя панель – группы MIX, нижняя панель – группы, включающие пары взаимодействующих событий). Вертикальными стрелками (max) на верхней панели отмечены годы максимумов солнечной активности.
Рис. 2. Изменение количества событий в разных группах за период с 1995 по 2022 гг.
Хорошо видна разница в поведении количества событий в группах, включающих КВМ и высокоскоростные потоки из КД. Большая часть “чистых” КД однозначно приходится на годы спада и минимума солнечной активности (2006–2009 и 2017–2019 гг.), когда количество событий с участием КВМ, наоборот, достигает минимальных значений. Максимальное количество взаимодействующих КВМ разных групп, наоборот, приходится на годы роста и максимума солнечной активности, что вполне ожидаемо. Интересно отметить, однако, что рост и максимум 23-го солнечного цикла характеризуется большим количеством КВМ, взаимодействующих еще до прихода к Земле, а в 24-м цикле “перевешивают” события, связанные с участием КД, количество, площади и частота воздействия потоков из которых действительно были более значимы, чем в 23-м цикле [Hajra et al., 2022; Yermolaev et al., 2022]. Также стоит отметить, что размах изменения количества изолированных событий больше, чем взаимодействующих, что еще раз доказывает существование большого числа влияющих друг на друг возмущений СВ, регистрируемых на разных фазах солнечных циклов.
4. ПАРАМЕТРЫ ВЗАИМОДЕЙСТВУЮЩИХ СОБЫТИЙ
В предыдущих работах [Шлык и др., 2021; Shlyk et al., 2022] уже приводились примеры как изолированных событий, так и различных пар взаимодействующих событий. Поэтому в данной работе будут более подробно описаны примеры событий из двух групп, которые ранее не были рассмотрены, а именно межпланетные возмущения, вступившие во взаимодействие еще до прибытия к Земле – группы MIX CME и MIX HSS.
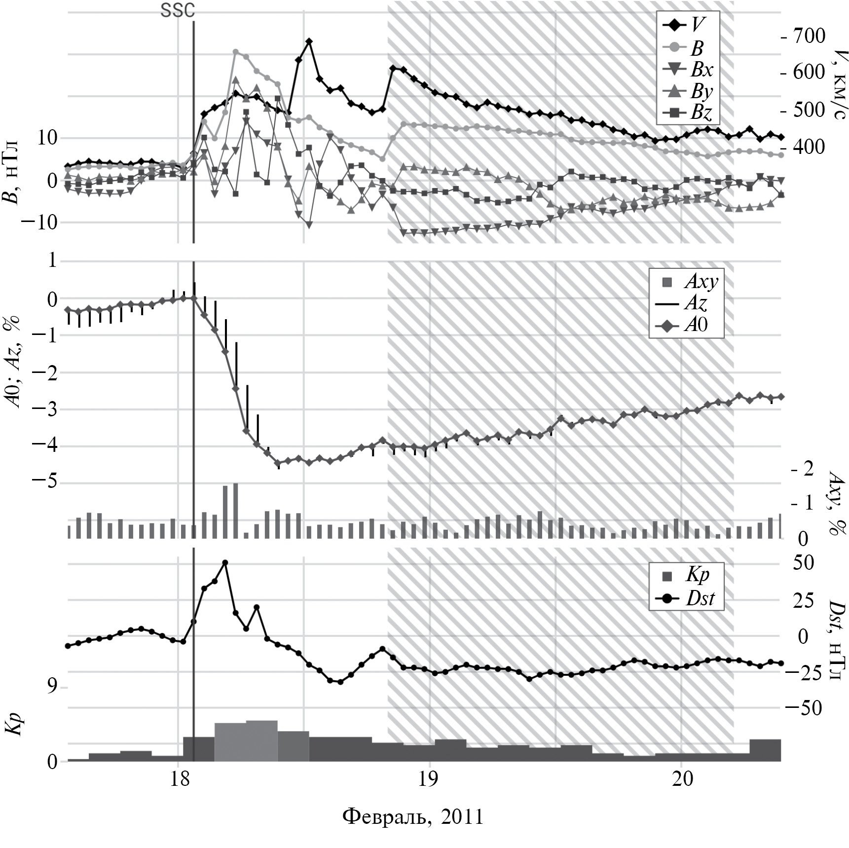
На рис. 3 приведено поведение основных параметров межпланетной среды, КЛ и ГА в событии 18–20 февраля 2011 г., вошедшем в группу MIX CME. Источником данного межпланетного возмущения стали несколько ассоциированных со вспышками КВМ, происходивших 14–15 февраля 2011 г. в АО 11158. Самыми значительными из них были два КВМ типа гало, зарегистрированных 14 февраля в 18:24 UT (ассоциирован со вспышкой класса M2.2 в 17:20 UT) и 15 февраля в 02:24 UT (ассоциирован со вспышкой класса X2.2 в 01:44 UT). Более поздний КВМ имел намного большую начальную скорость (669 км/с и 326 км/с соответственно), но произошел в той же АО и распространялся примерно в том же направлении. Это, по-видимому, привело к взаимодействию двух структур в межпланетном пространстве и регистрации у орбиты Земли одного, но сложного и длительного возмущения СВ. Ударная волна была зарегистрирована в 01:30 UT 18 февраля 2011 г., максимальное значение ММП составило Bmax = 30.6 нТл, скорости СВ Vmax = = 678 км/с (см. верхнюю панель рис. 3), наблюдалось МО длительностью 33 часа, начавшееся 18 февраля в 20:00 UT (заштрихованная область на рисунке, данные каталога WIND https://wind.nasa.gov/mfi/mag_cloud_S1.html). Магнитуда соответствующего ФЭ составила AF = 4.5%, максимальное значение экваториальной составляющей анизотропии КЛ Axymax = 1.55%, а максимальное изменение (размах) северо-южной составляющей анизотропии КЛ Azrange = 1.5% (см. среднюю панель рис. 3). В данном событии были зарегистрированы интервалы малой магнитной бури (нижняя панель рис. 3, Kpmax = 5–, Dstmin = –32 нТл).
Рис. 3. Поведение основных параметров ММП, СВ, КЛ и ГА в событии 18–20 февраля 2011 г. (группа MIX CME).
Рисунок 4 показывает поведение основных параметров ММП, СВ, КЛ и ГА в событии 23–27 октября 2020 г., вошедшем в группу MIX HSS. Источником этого межпланетного возмущения стало длительное совместное воздействие высокоскоростных потоков из КД CH976 и CH977 (https://solen.info/solar/coronal_holes.html), проходивших центральный солнечный меридиан в период с 19 по 24 октября, а также КВМ, связанного с эрупцией волокна над АО 12776, произошедшей около 12 UT 19 февраля (https://cdaw.gsfc.nasa.gov/movie/make_javamovie.php?img1=sdo_a193&img2=goesx&date=20201019). Данный КВМ не был зарегистрирован в коронографе, но, по-видимому, оказал влияние на околоземное космическое пространство, поскольку произошел в подходящее время, и в данных СВ и ММП в первые часы после регистрации ударной волны (23 октября в 13:20 UT) имеются признаки структуры КВМ (повышенное поле при небольшой скорости, вращение компонент ММП), а затем уже начинается сам высокоскоростной поток, однако четкой границы между этими возмущениями СВ нет. Кроме того, аналогичные признаки структуры КВМ обнаруживаются и позже, внутри высокоскоростного потока (25 октября). Максимальное значение ММП в этом событии составило Bmax = 13.3 нТл, скорости СВ Vmax = 619 км/с (верхняя панель рис. 4). В вариациях потока КЛ (средняя панель рис. 4) зарегистрированы следующие экстремальные значения: AF = 1.1%, Axymax = 0.82%, Azrange = 0.63%. В данном событии также были зарегистрированы интервалы малой магнитной бури (нижняя панель рис. 4, Kpmax = 5–, Dstmin = = –38 нТл).
Рис. 4. Поведение основных характеристик ММП, СВ, КЛ и ГА в событии 23–27 октября 2020 г. (группа MIX HSS).
В табл. 1 приведены средние значения различных параметров, характеризующих состояние межпланетной среды, потока КЛ (частиц жесткостью 10 ГВ) и уровня ГА для всех обсуждаемых групп событий. В данной таблице группы, содержащие пары КВМ и/или потока из КД, разбиты на подгруппы, соответственно первые и вторые события из этих пар анализируются по отдельности.
Таблица 1. Средние значения различных параметров СВ, ММП, КЛ и ГА для разных групп и подгрупп событий.
Параметр/ Тип межпланетного возмущения | ICME (+HSS) (176) | (ICME+) HSS (176) | ICME1 (+ICME2) (120) | (ICME1+) ICME2 (120) | MIX CME (107) | MIX HSS (186) | Pure ICMEs (153) | Pure HSSs (194) |
Vmax, км/с | 416 ±6.3 | 543 ±8.0 | 447 ±8.5 | 475 ±10.1 | 500 ±12.6 | 527 ±7.2 | 447 ±7.5 | 551 ±7.4 |
tVmax, ч | 9.7 ±0.67 | 23.9 ±0.96 | 8.5 ±0.77 | 14.2 ±1.26 | 13.4 ±1.30 | 25.2 ±1.09 | 12.5 ±1.02 | 26.3 ±1.04 |
Bmax, нТл | 9.5 ±0.34 | 11.4 ±0.27 | 8.9 ±0.35 | 12.0 ±0.55 | 13.9 ±0.77 | 11.3 ±0.34 | 10.0 ±0.37 | 10.7 ±0.25 |
tBmax, ч | 11.5 ±0.67 | 8.6 ±0.65 | 10.3 ±0.83 | 11.4 ±1.14 | 14.2 ±1.24 | 12.5 ±0.70 | 14.4 ±1.05 | 10.4 ±0.64 |
VmBm | 2.05 ±0.10 | 3.20 ±0.11 | 2.06 ±0.11 | 3.05 ±0.20 | 3.75 ±0.33 | 3.07 ±0.13 | 2.31 ±0.12 | 3.02 ±0.09 |
AF, % | 0.72 ±0.06 | 0.85 ±0.03 | 0.78 ±0.08 | 1.39 ±0.13 | 1.91 ±0.18 | 1.05 ±0.05 | 1.08 ±0.01 | 0.76 ±0.03 |
tmin, ч | 14.6 ±0.64 | 26.8 ±1.23 | 16.8 ±0.80 | 25.7 ±1.52 | 23.9 ±1.36 | 30.2 ±1.30 | 24.0 ±1.18 | 29.1 ±1.23 |
Kpmax | 3.09 ±0.11 | 4.01 ±0.09 | 3.13 ±0.12 | 3.93 ±0.16 | 4.36 ±0.15 | 3.97 ±0.08 | 3.45 ±0.12 | 3.89 ±0.08 |
tKpmax, ч | 9.4 ±0.63 | 13.0 ±0.98 | 8.9 ±0.82 | 11.0 ±1.01 | 14.4 ±1.37 | 16.2 ±0.97 | 14.3 ±1.18 | 14.7 ±0.95 |
Dstmin, нТл | –22.9 ±2.09 | –34.3 ±1.64 | –26.1 ±2.04 | –41.7 ±3.39 | –50.2 ±5.45 | –33.2 ±1.60 | –30.8 ±2.01 | –26.0 ±1.20 |
tDstmin, ч | 12.4 ±0.67 | 19.0 ±1.05 | 11.2 ±0.79 | 15.8 ±1.08 | 22.7 ±1.37 | 23.5 ±1.17 | 18.1 ±1.19 | 22.1 ±1.05 |
Чтобы описать поведение характеристик СВ и ММП в разных группах событий, рассмотрим более подробно поведение нормированного параметра возмущенности межпланетной среды, рассчитываемого как , где = 400 км/с и = 5 нТл – параметры невозмущенного СВ [Belov et al., 2001]. На рис. 5 приведены гистограммы, отражающие распределение значений этого параметра в группах событий, связанных с КВМ (левая панель) и потоками плазмы из КД (правая панель). Вертикальные линии, обозначенные буквой a, показывают средние значения соответствующих групп, сбоку в прямоугольнике показано количество событий, не отображенных на рисунке в силу выбранного масштаба.
Рис. 5. Распределение значений параметра VmBm для разных групп событий.
Анализ распределений показывает, что наибольшие значения параметра возмущенности межпланетной среды наблюдаются в группе MIX CME (среднее значение составляет 3.75 ± 0.33). Именно в этой группе зарегистрированы самые большие значения ММП (13.9 ±0 .77 нТл) и скорости СВ (500 ± 12.6 км/с) из всех групп, содержащих КВМ (см. табл. 1). Для подгруппы первых ICME1(+ICME2) и вторых из пары КВМ (ICME1+)ICME2 средние значения составили 2.06 ± 0.11 и 3.05 ± 0.20 соответственно, что позволяет сделать вывод о том, что вторые события из пары КВМ оказываются мощнее, чем первые. Почти в половине событий подгруппы ICME1(+ICME2) значения параметра близки к 1, т.е. фактически к спокойному СВ, по-видимому, это медленные волоконные КВМ, движущиеся по фоновому ветру, которые впоследствии “догоняют” более быстрые выбросы, попавшие во вторую подгруппу (ICME1+)ICME2. Разница средних значений Vmax для первых и вторых КВМ из пары (447 и 475 км/с соответственно) подтверждает это предположение.
Средние значения параметра во всех группах, включающих высокоскоростные потоки из КД, оказались довольно близки (~3), что уже является признаком возмущенного СВ. По-видимому, ключевым моментом здесь является именно скорость СВ, которая оказывается высокой (>500 км/с) в любом событии, включающем потоки плазмы из КД. Однако стоит отметить, что большие средние Bmax все же наблюдаются в событиях, к которым хотя бы на каком-то этапе распространения “примешиваются” КВМ, поскольку средние максимальные значения ММП в группе Pure HSSs немного меньше, чем в двух других (10.7 нТл против 11.3 и 11.4 нТл, см. табл. 1).
Ранее уже было показано [см. Belov et al., 2001 и ссылки в нем], что обсуждаемый выше параметр хорошо коррелирует с величиной ФЭ и уровнем ГА. И, действительно, наибольшие средние значения магнитуды ФЭ (1.91%), а также экстремальные значения Kp- и Dst-индексов ГА (4.36 и –50.2 нТл) наблюдаются в группе MIX CME, где и параметр VmBm принимает максимальные значения (см. табл. 1). Также увеличение средних значений параметров КЛ и ГА (по сравнению с изолированными событиями) наблюдается для вторых КВМ из группы ICME1+ICME2 (что подтверждает результаты, полученные ранее в Шлык и др. [2021]). Эти же выводы применимы и к событиям, связанным с потоками из КД, перед или внутри которых наблюдалось воздействие КВМ (например, средняя магнитуда ФЭ для группы чистых потоков из КД AF = 0.76%, а для группы MIX HSS возрастает до 1.05%; среднее значение параметра Dstmin для группы Pure HSSs составляет всего –26 нТл, а для (ICME+)HSS уже –34.3 нТл).
Анализ данных, приведенных в табл. 1, позволяет заметить изменение средних значений времен регистрации экстремумов различных параметров СВ, ММП, КЛ и ГА. В предыдущей работе [Shlyk et al., 2022] уже обсуждалось сокращение времени регистрации минимума плотности КЛ и максимумов скорости СВ и величины ММП в первых событиях из любой пары. Для исследуемой выборки эти выводы также верны, в частности, время регистрации минимума ФЭ оказывается на 10−12 ч меньше для первых событий в группах ICME+HSS и ICME1+ICME2, чем в изолированных событиях группы Pure ICMEs. В обоих группах MIX (взаимодействие в которых произошло еще до орбиты Земли), явного изменения временных параметров, наоборот, не наблюдается: все значения близки к соответствующим значениям в группах “чистых” событий, что еще раз подтверждает предположение о том, что на Земле такие события выглядят как единое межпланетное возмущение, но обладающее повышенной геоэффективностью из-за увеличенных значений скорости СВ и модуля ММП.
Чтобы более наглядно продемонстрировать временное развитие событий разных групп, обратимся к методу наложения эпох. На рис. 6 приведены результаты применения метода наложения эпох для плотности КЛ (A0, верхняя панель) и Ap-индекса ГА (нижняя панель) для трех групп событий с участием КВМ.
Рис. 6. Изменения плотности КЛ (A0, верхняя панель) и Ap-индекса ГА (нижняя панель) в группах с участием КВМ, полученные с использованием метода наложения эпох. Тонкими линиями соответствующих цветов показано отклонение ±σ.
Хорошо заметны отличия как в экстремальных значениях, так и во временных профилях. Для групп Pure ICMEs и MIX CME времена достижения минимума плотности КЛ близки и составляют ~18 ч, но магнитуды понижения отличаются почти в 2 раза (см. верхнюю панель). При этом группа событий ICME1+ICME2 имеет четко выраженный двухступенчатый профиль понижения, первое из которых меньше по амплитуде, чем для “чистых” КВМ, а второе, наоборот, больше и значительно сдвинуто по времени вправо.
Самые большие значения Ap-индекса (нижняя панель) регистрируются в группе MIX CME, и максимум приходится на первые часы от начала события, значения которого соответствуют возмущенной геомагнитной обстановке, хотя следует учитывать, что метод наложения эпох сглаживает и занижает значения. В группе следующих друг за другом КВМ значения Ap-индекса сравнимы с группой “чистых” КВМ в течение первых суток. Затем в группе ICME1+ICME2 Ap-индекс остается повышенным (от 10 до 15) еще на протяжении почти двух суток, что соответствует слабовозмущенной геомагнитной обстановке. Это свидетельствует о большей геоэффективности парных событий в отношении длительности геомагнитных возмущений.
5. ЗАКЛЮЧЕНИЕ
В рамках данной работы был проведен анализ различных характеристик событий, вызванных влиянием на околоземное космическое пространство взаимодействующих возмущений СВ. Обсуждаются критерии и условия отнесения того или иного события к категории взаимодействующих или изолированных. Также описаны конкретные типы и условия возникновения взаимодействия КВМ и высокоскоростных потоков из КД, проанализировано изменение количества различных типов событий с циклами солнечной активности. С использованием базы данных FEID (https://tools.izmiran.ru/feid) за длительный период с 1995 по 2022 гг. рассмотрены 6 групп межпланетных возмущений: 1 – вступившие во взаимодействие до прибытия к Земле КВМ (MIX CME); 2 – вступившие во взаимодействие до прибытия к Земле КВМ и поток из КД (MIX HSS); 3 – последовательно зарегистрированные на 1 а.е. пары КВМ (ICME1+ICME2); 4 – последовательно зарегистрированные на 1 а.е. пары КВМ и потока из КД (ICME+HSS); 5 – изолированные КВМ – Pure ICMEs; 6 – изолированные потоки плазмы из КД – Pure HSSs.
Описаны вариации потока галактических КЛ (жесткостью 10 ГВ), изменение параметров межпланетной среды и ГА. В частности, было показано, что степень взаимного влияния зависит от времени между “соседними” событиями, и наиболее выраженные изменения различных параметров существуют для событий, взаимодействие которых произошло еще до достижения орбиты Земли. Именно в группе MIX CME зарегистрированы максимальные среди всех групп средние значения модуля ММП, величины ФЭ и уровня геомагнитных возмущений.
Также установлено, что для большинства взаимодействующих возмущений СВ изменениям подвержены не только экстремумы параметров КЛ, межпланетной среды и ГА, но и их временной профиль. Исключением является группа MIX HSS, временные параметры которой оказались близки к значениям контрольной группы Pure HSSs, однако изменениям в амплитудных значениях оказались подвержены величины ФЭ и уровень ГА.
Кроме того, были подтверждены предыдущие выводы [Шлык и др., 2021; Shlyk et al., 2022] об уменьшении величин экстремумов и времени их регистрации для всех первых событий из взаимодействующих пар ICME1+ICME2 и ICME+HSS, а также усилении геоэффективности вторых событий из пары по сравнению с соответствующими изолированными событиями.
БЛАГОДАРНОСТИ
Авторы благодарны коллективам мировой сети станций космических лучей, обеспечивающим данные непрерывной регистрации нейтронной компоненты: http://cr0.izmiran.ru/ThankYou/Our_Acknowledgment.pdf; благодарим базу данных NMDB (Neutron Monitor Database) (www.nmdb.eu). Работа базируется на экспериментальных данных уникальной научной установки “Российская национальная сеть станций космических лучей”.
ФИНАНСИРОВАНИЕ РАБОТЫ
Данное исследование поддержано текущим финансированием института, дополнительные гранты не привлекались.
About the authors
N. S. Shlyk
Pushkov Institute of Terrestrial Magnetism, Ionosphere and Radio Wave Propagation, Russian Academy of Sciences
Author for correspondence.
Email: nshlyk@izmiran.ru
Russian Federation, Moscow, Troitsk
A. V. Belov
Pushkov Institute of Terrestrial Magnetism, Ionosphere and Radio Wave Propagation, Russian Academy of Sciences
Email: nshlyk@izmiran.ru
Russian Federation, Moscow, Troitsk
M. A. Abunina
Pushkov Institute of Terrestrial Magnetism, Ionosphere and Radio Wave Propagation, Russian Academy of Sciences
Email: nshlyk@izmiran.ru
Russian Federation, Moscow, Troitsk
S. M. Belov
Pushkov Institute of Terrestrial Magnetism, Ionosphere and Radio Wave Propagation, Russian Academy of Sciences
Email: nshlyk@izmiran.ru
Russian Federation, Moscow, Troitsk
A. A. Abunin
Pushkov Institute of Terrestrial Magnetism, Ionosphere and Radio Wave Propagation, Russian Academy of Sciences
Email: nshlyk@izmiran.ru
Russian Federation, Moscow, Troitsk
V. A. Oleneva
Pushkov Institute of Terrestrial Magnetism, Ionosphere and Radio Wave Propagation, Russian Academy of Sciences
Email: nshlyk@izmiran.ru
Russian Federation, Moscow, Troitsk
V. G. Yanke
Pushkov Institute of Terrestrial Magnetism, Ionosphere and Radio Wave Propagation, Russian Academy of Sciences
Email: nshlyk@izmiran.ru
Russian Federation, Moscow, Troitsk
References
- Белов А.В., Ерошенко Е.А., Янке Г.В., Оленева В.А., Абунина М.А., Абунин А.А. Метод глобальной съемки для мировой сети нейтронных мониторов // Геомагнетизм и аэрономия. Т. 58. № 3. С. 374–389. 2018. https://doi.org/10.7868/S0016794018030082
- Шлык Н.С., Белов А.В., Абунина М.А., Ерошенко Е.А., Абунин А.А., Оленева В.А., Янке В.Г. Влияние взаимодействующих возмущений солнечного ветра на вариации галактических космических лучей // Геомагнетизм и аэрономия. Т. 61. № 6. С. 694–703. 2021. https://doi.org/10.31857/S0016794021060134
- Behannon K.W., Burlaga L.F., Hewish A. Structure and evolution of compound streams at ≤1 AU // J. Geophys. Res. V. 96. P. 21213–21225. 1991. https://doi.org/10.1029/91JA02267
- Belov A.V., Eroshenko E.A., Oleneva V.A., Struminsky A.B., Yanke V.G. What determines the magnitude of Forbush decreases? // Adv. Space Res. V. 27. № 3. P. 625–630. 2001. https://doi.org/10.1016/S0273-1177(01)00095-3
- Burlaga L.F., Behannon K.W., Klein L.W. Compound streams, magnetic clouds, and major geomagnetic storms // J. Geophys. Res. V. 92. № A6. P. 5725–5734. 1987. https://doi.org/10.1029/JA092iA06p05725
- Burlaga L.F., Plunkett S.P., St. Cyr O.C. Successive CMEs and complex ejecta // J. Geophys. Res. V. 107. № A10. ID 1266. 2002. https://doi.org/10.1029/2001JA000255
- Burlaga L., Berdichevsky D., Gopalswamy N., Lepping R., Zurbuchen T. Merged interaction regions at 1 AU // J. Geophys. Res. V. 108. № A12. ID 1425. 2003. https://doi.org/10.1029/2003JA010088
- Chen C., Wang Y., Shen C., Ye P., Zhang J., Wang S. Statistical study of coronal mass ejection source locations: 2. Role of active regions in CME production // J. Geophys. Res. – Space. V. 116. № A12. ID A12108. 2011. https://doi.org/10.1029/2011JA016844
- Dasso S., Mandrini C.H., Schmieder B., et al. Linking two consecutive nonmerging magnetic clouds with their solar sources: tracking two consecutive magnetic clouds // J. Geophys. Res. – Space. V. 114. № A2. ID A02109. 2009. https://doi.org/10.1029/2008JA013102
- Farrugia C.J., Berdichevsky D.B. Evolutionary signatures in complex ejecta and their driven shocks // Ann. Geophysicae. V. 22. № 10. P. 3679–3698. 2004. https://doi.org/10.5194/angeo-22-3679-2004
- Gopalswamy N., Yashiro S., Kaiser M.L., Howard R.A., Bougeret J.L. Radio Signatures of Coronal Mass Ejection Interaction: Coronal Mass Ejection Cannibalism? // Astrophys. J. V. 548. P. L91–L94. 2001. https://doi.org/10.1086/318939
- Gopalswamy N., Yashiro S., Michałek G., Kaiser M.L., Howard R.A., Reames D.V., Leske R., von Rosenvinge T. Interacting Coronal Mass Ejections and Solar Energetic Particles // Astrophys. J. V. 572. № 1. P. L103–L107. 2002. https://doi.org/10.1086/341601
- Gopalswamy N., Mäkelä P., Xie H., Akiyama S., Yashiro S. CME interactions with coronal holes and their interplanetary consequences // J. Geophys. Res. V. 114. P. A00–A22. 2009. https://doi.org/10.1029/2008JA013686
- Hajra R., Sunny J.V., Babu M., Nair A.G. Interplanetary sheaths and corotating interaction regions: A comparative statistical study on their characteristics and geoeffectiveness // Solar Phys. V. 297. ID 97. 2022. https://doi.org/10.1007/s11207-022-02020-6
- Heinemann S.G., Temmer M., Farrugia C.J. et al. CME–HSS Interaction and Characteristics Tracked from Sun to Earth // Solar Phys. V. 294. ID 121. 2019. https://doi.org/10.1007/s11207-019-1515-6
- Ivanov K.G. A study of some interplanetary shock wave tendencies // Space Sci. Rev. V. 32. P. 49–63. 1982. https://doi.org/10.1007/BF00225176
- Kahler S.W., Vourlidas A. Fast coronal mass ejection environments and the production of solar energetic particle events // J. Geophys. Res. – Space. V. 110. № A12. ID A12S01. 2005. https://doi.org/10.1029/2005JA011073
- Liu M., Liu Y.D., Yang Z., Wilson III L.B., Hu H. Kinetic properties of an interplanetary shock propagating inside a coronal mass ejection // Astrophys. J. V. 859. № 1. ID L4. 2018. https://doi.org/10.3847/2041-8213/aac269
- Liu Y., Shen F., Yang Y. Numerical Simulation on the propagation and deflection of fast coronal mass ejections (CMEs) Interacting with a corotating interaction region in interplanetary space // Astrophys. J. V. 887. № 2. ID 150. 2019. https://doi.org/10.3847/1538-4357/ab543e
- Lugaz N., Manchester IV W.B., Gombosi T.I. Numerical simulation of the interaction of two coronal mass ejections from Sun to Earth // Astrophys. J. V. 634. № 1. P. 651–662. 2005. https://doi.org/10.1086/491782
- Lugaz N., Farrugia C.J., Davies J.A., Möstl C., Davis C.J., Roussev I.I., Temmer M. The deflection of the two interacting coronal mass ejections of 2010 May 23–24 as revealed by combined in situ measurements and heliospheric imaging // Astrophys. J. V. 759. № 1. ID 68. 2012. https://doi.org/10.1088/0004-637X/759/1/68
- Lugaz N., Farrugia C.J., Manchester IV W.B., Schwadron N. The interaction of two coronal mass ejections: influence of relative orientation // Astrophys. J. V. 778. № 1. ID 20. 2013. https://doi.org/10.1088/0004-637X/778/1/20
- Lugaz N., Farrugia C.J., Huang C.-L., Spence H.E. Extreme geomagnetic disturbances due to shocks within CMEs: geomagnetic effects of shocks inside CME // Geophys. Res. Lett. V. 42. № 12. P. 4694–4701. 2015a. https://doi.org/10.1002/2015GL064530
- Lugaz N., Farrugia C.J., Smith C.W., Paulson K. Shocks inside CMEs: a survey of properties from 1997 to 2006 // J. Geophys. Res. – Space. V. 120. № 4. P. 2409–2427. 2015b. https://doi.org/10.1002/2014JA020848
- Lugaz N., Temmer M., Wang Y., Farrugia C.J. The Interaction of Successive Coronal Mass Ejections: A Review // Solar Phys. V. 292. ID 64. 2017. https://doi.org/10.1007/s11207-017-1091-6
- Mäkelä P., Gopalswamy N., Xie H., Mohamed A.A., Akiyama S., Yashiro S. Coronal hole influence on the observed structure of interplanetary CMEs // Solar Phys. V. 284. P. 59–75. 2013. https://doi.org/10.1007/s11207-012-0211-6
- Matzka J., Stolle C., Yamazaki Y., Bronkalla O., Morschhauser A. The geomagnetic Kp index and derived indices of geomagnetic activity // Space Weather. V. 19. № 5. ID e2020SW002641. 2021. https://doi.org/10.1029/2020SW002641
- Mishra W., Srivastava N., Singh T. Kinematics of interacting CMEs of 25 and 28 September 2012: interacting CMEs // J. Geophys. Res. – Space. V. 120. № 12. P. 10221–10236. 2015. https://doi.org/10.1002/2015JA021415
- Moon Y.J., Choe G.S., Wang H., Park Y.D. Sympathetic Coronal Mass Ejections // Astrophys. J. V. 588. № 2. P. 1176–1182. 2003. https://doi.org/10.1086/374270
- Odstrčil D., Dryer M., Smith Z. Propagation of an interplanetary shock along the heliospheric plasma sheet // J. Geophys. Res. V. 101. № A9. P.19973–19986. 1996. https://doi.org/10.1029/96JA00479
- Odstrčil D., Riley P., Zhao X.P. Numerical simulation of the 12 May 1997 interplanetary CME event // J. Geophys. Res. – Space. V. 109. № A2. ID A02116. 2004. https://doi.org/10.1029/2003JA010135
- Rodkin D.G., Shugay Y.S., Slemzin I.S., Veselovsky V. A. Interaction of high-speed and transient fluxes of solar wind at the maximum of solar cycle 24 // Bull. Lebedev Phys. Inst. V. 43. P. 287–290. 2016. https://doi.org/10.3103/S1068335616090062
- Rodkin D., Slemzin V., Zhukov A.N., Goryaev F., Shugay Y., Veselovsky I. Single ICMEs and Complex Transient Structures in the Solar Wind in 2010 – 2011 // Solar Phys. V. 293. ID 78. 2018. https://doi.org/10.1007/s11207-018-1295-4
- Schmidt J.M., Cargill P.J. A numerical study of two interacting coronal mass ejections // Ann. Geophys. V. 22. № 6. P. 2245–2254. 2004. https://doi.org/10.5194/angeo-22-2245-2004
- Shen F., Feng X.S., Wang Y., Wu S.T., Song W.B., Guo J.P., Zhou Y.F. Three-dimensional MHD simulation of two coronal mass ejections’ propagation and interaction using a successive magnetized plasma blobs model // J. Geophys. Res. – Space. V. 116. № A9. ID A09103. 2011. https://doi.org/10.1029/2011JA016584
- Shen F., Wu S.T., Feng X., Wu C.-C. Acceleration and deceleration of coronal mass ejections during propagation and interaction: acceleration and deceleration of CME // J. Geophys. Res. – Space. V. 117. № A11. ID A11101. 2012. https://doi.org/10.1029/2012JA017776
- Shen F., Wang Y., Shen C., Feng X. On the collision nature of two coronal mass ejections: A Review // Solar Phys. V. 292. ID 104. 2017. https://doi.org/10.1007/s11207-017-1129-9
- Shlyk N.S, Belov A.V., Abunina M.A., Abunin A.A., Oleneva V.A., Yanke V.G. Forbush decreases caused by paired interacting solar wind disturbances // Monthly Notices of the Royal Astronomical Society. V. 511. № 4. P. 5897–5908. 2022. https://doi.org/10.1093/mnras/stac478
- Temmer M., Veronig A.M., Peinhart V., Vršnak B. Asymmetry in the CME-CME interaction process for the events from 2011 February 14-15 // Astrophys. J. V. 785. № 2. ID 85. 2014. https://doi.org/10.1088/0004-637X/785/2/85
- Wang Y., Wang S., Ye P. Multiple magnetic clouds in interplanetary space // Solar Phys. V. 211. P. 333–344. 2002. https://doi.org/10.1023/A:1022404425398
- Wang Y.M., Ye P.Z., Wang S. Multiple magnetic clouds: several examples during March–April 2001 // J. Geophys. Res. V. 108. № A10. ID 1370. 2003. https://doi.org/10.1029/2003JA009850
- Wang Y., Liu L., Shen C., Liu R., Ye P., Wang S. Waiting times of quasi-homologous Coronal Mass Ejections from super active regions // Astrophys. J. Lett. V. 763. № 2. ID L43. 2013. https://doi.org/10.1088/2041-8205/763/2/L43
- Wang Y., Shen C., Liu R., Liu J., Guo J., Li X., Xu M., Hu Q., Zhang T. Understanding the twist distribution inside magnetic flux ropes by anatomizing an interplanetary magnetic cloud: twist distribution in an interplanetary MC // J. Geophys. Res. – Space. V. 123. № 5. P. 3238–3261. 2018. https://doi.org/10.1002/2017JA024971
- Xiong M., Zheng H., Wang S. Magnetohydrodynamic simulation of the interaction between two interplanetary magnetic clouds and its consequent geoeffectiveness: 2. Oblique collision // J. Geophys. Res. – Space. V. 114. № A11. ID A11101. 2009. https://doi.org/10.1029/2009JA014079
- Xiong M., Zheng H., Wang Y., Wang S. Magnetohydrodynamic simulation of the interaction between interplanetary strong shock and magnetic cloud and its consequent geoeffectiveness: 2. Oblique collision // J. Geophys. Res. – Space. V. 111. № A11. ID A11102. 2006. https://doi.org/10.1029/2006JA011901
- Xu M., Shen C., Wang Y., Luo B., Chi Y. Importance of shock compression in enhancing ICME’s geoeffectiveness // Astrophys. J. V. 884. № 2. ID L30. 2019. https://doi.org/10.3847/2041-8213/ab4717
- Yermolaev Y.I., Lodkina I.G., Khokhlachev A.A., Yermolaev M.Y. Peculiarities of the heliospheric state and the solar-wind/magnetosphere coupling in the era of weakened solar activity // Universe. V. 8. № 10. ID 495. 2022. https://doi.org/10.3390/universe8100495
- Zhang J., Wang J. Are Homologous Flare-Coronal Mass Ejection Events Triggered by Moving Magnetic Features? // Astrophys. J. V. 566. № 2. ID L117. 2002. https://doi.org/10.1086/339660
- Zhang J., Richardson I.G., Webb D.F. et al. Solar and interplanetary sources of major geomagnetic storms (Dst ≤ −100 nT) during 1996–2005 // J. Geophys. Res. – Space. V. 112. № A10. ID A10102. 2007. https://doi.org/10.1029/2007JA012321
- Zhang J., Richardson I.G., Webb D.F. Interplanetary origin of multiple-dip geomagnetic storms // J. Geophys. Res. – Space. V. 113. № A3. ID A00A12. 2008. https://doi.org/10.1029/2008JA013228
- Zhang J., Temmer M., Gopalswamy N. et al. Earth-affecting solar transients: a review of progresses in solar cycle 24 // Prog. Earth Planet Sci. V. 8. ID 56. 2021. https://doi.org/10.1186/s40645-021-00426-7
- Zhou Y., Feng X. Numerical study of the propagation characteristics of coronal mass ejections in a structured ambient solar wind // J. Geophys. Res. – Space. V. 122. № 2. P. 1451–1462. 2017. https://doi.org/10.1002/2016JA023053
Supplementary files








