Оценка ионизации нижней ионосферы во время солнечных вспышек X класса по данным ОНЧ-наблюдений
- Авторы: Ряховский И.А.1, Поклад Ю.В.1, Гаврилов Б.Г.1
-
Учреждения:
- Института динамики геосфер им. акад. М.А. Садовского РАН (ИДГ РАН)
- Выпуск: Том 63, № 4 (2023)
- Страницы: 422-428
- Раздел: Статьи
- URL: https://journals.rcsi.science/0016-7940/article/view/134732
- DOI: https://doi.org/10.31857/S0016794022600648
- EDN: https://elibrary.ru/PLAMRF
- ID: 134732
Цитировать
Полный текст
Аннотация
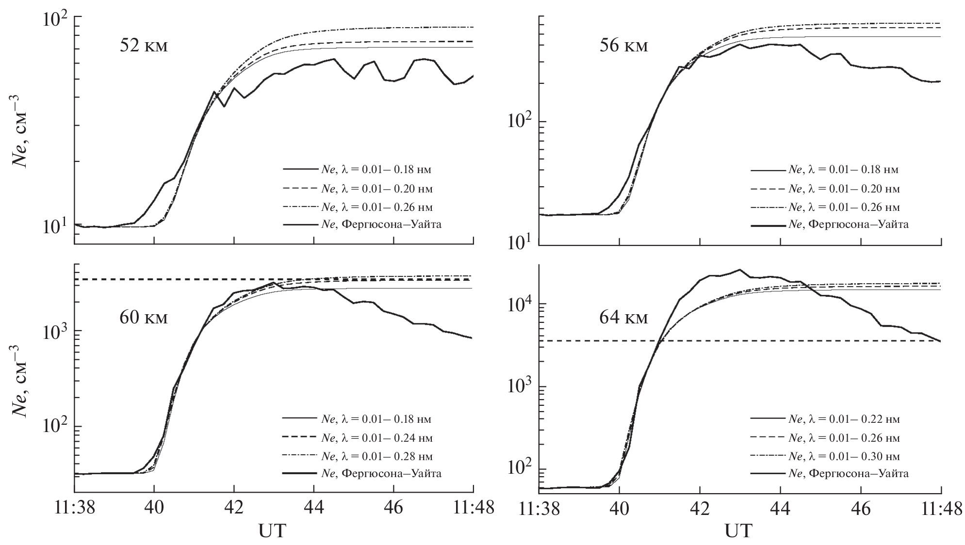
Представлены результаты анализа данных измерений амплитуд и фаз сигналов СДВ-передатчиков GQD (19.6 кГц) и GBZ (22.1 кГц) в обс. ИДГ РАН Михнево с целью оценки воздействия солнечных вспышек X 2.2 и X 1.5 10.06.2014 г. на электронную концентрацию в нижней ионосфере. По данным измерения потока рентгеновского излучения спутником GOES на длинах волн 0.05–0.4 нм и 0.1–0.8 нм был рассчитан поток излучения в более жестких спектральных диапазонах 0.01‒0.3, 0.01‒0.26 и 0.01‒0.22 нм. Это позволило определить скорости ионизации и спектральные диапазоны излучения, оказавшие наибольшее влияние на динамику электронной концентрации. Показано, что, если длительность переднего фронта существенно меньше характерного времени рекомбинации, изменение профиля электронной концентрации в нижней ионосфере на фронте вспышки линейно связано с изменением потока рентгеновского излучения.
Об авторах
И. А. Ряховский
Института динамики геосфер им. акад. М.А. Садовского РАН (ИДГ РАН)
Email: ryakhovskiy88@yandex.ru
Россия, Москва
Ю. В. Поклад
Института динамики геосфер им. акад. М.А. Садовского РАН (ИДГ РАН)
Email: poklad@mail.ru
Россия, Москва
Б. Г. Гаврилов
Института динамики геосфер им. акад. М.А. Садовского РАН (ИДГ РАН)
Автор, ответственный за переписку.
Email: boris.gavrilov34@gmail.com
Россия, Москва
Список литературы
- – Bekker S.Z., Ryakhovsky I.A., Korsunskaya J.A. Modeling of the lower ionosphere during solar X-ray flares of different classes // J. Geophys. Res. ‒ Space. V. 126. № 2. e2020JA028767. 2021. https://doi.org/10.1029/2020JA028767
- – Bekker S.Z., Kozlov S.I., Kudryavcev V.P. Comparison and verification of the different schemes for the ionization-recombination cycle of the ionospheric D-region // J. Geophys. Res. ‒ Space. V. 127. N 10. e2022JA030579. 2022. https://doi.org/10.1029/2022JA030579
- – Ferguson J.A. Ionospheric model validation at VLF and LF // Radio Sci. V. 30. № 3. P. 775‒782. 1995. https://doi.org/10.1029/94RS03190
- – Gavrilov B.G., Ermak V.M., Lyakhov A.N., Poklad Y.V., Rybakov V.A., Ryakhovsky I.A Reconstruction of the parameters of the lower midlatitude ionosphere in M- and X-class solar flares // Geomagn. Aeronomy. V. 60. № 6. P. 747‒ 753. 2020. https://doi.org/10.1134/S0016793220060043
- – Gavrilov B.G., Poklad Y.V., Ryakhovsky I.A., Ermak V.M. Dependence of D-region perturbations of the midlatitude ionosphere on the spectral composition of the X-ray radiation of solar flares according to experimental data // Geomagn. Aeronomy. V. 62. № 1‒2. P. 98‒103. 2022. https://doi.org/10.1134/S0016793222020086
- – Kumar A., Kumar S. Solar flare effects on D-region ionosphere using VLF measurements during low- and high-solar activity phases of solar cycle 24 // Earth Planets Space. V. 70. № 1. Art. № 29. 2018. https://doi.org/10.1186/s40623-018-0794-8
- – Levine E.V., Sultan P.J., Teig L.J. A parameterized model of X-ray solar flare effects on the lower ionosphere and HF propagation // Radio Sci. V. 54. № 2. P. 168‒180. 2019. https://doi.org/10.1029/2018RS006666
- – Mitra A.P. Ionospheric effects of solar flares. Dordrecht: D. Reidel Publishing Company, 307 p. 1974. https://doi.org/10.1007/978-94-010-2231-6
- – Nina A., Čadež V.M., Bajčetić J., Mitrović S.T., Popović L.Č. Analysis of the relationship between the Solar X-ray radiation intensity and the D-region electron density using satellite and ground-based radio data // Sol. Phys. V. 293. № 4. Art. № 64. 2018. https://doi.org/10.1007/s11207-018-1279-4
- – Ryakhovskii I.A., Gavrilov B.G., Poklad Y.V., Bekker S.Z., Ermak V.M. The state and dynamics of the ionosphere from synchronous records of ULF/VLF and HF/VHF radio signals at geophysical observatory ”Mikhnevo” // Izv., Phys. Solid Earth. V. 57. № 5. P. 718‒730. 2021. https://doi.org/10.1134/S1069351321050177
- – Thomson N.R. Daytime tropical D region parameters from short path VLF phase and amplitude // J. Geophys. Res. ‒ Space. V. 115. A09313. 2010. https://doi.org/10.1029/2010JA015355
- – Thomson N.R., Rodger C.J., Clilverd M.A. Daytime D region parameters from long-path VLF phase and amplitude // J. Geophys. Res. ‒ Space. V. 116. A11305. 2011. https://doi.org/10.1029/2011JA016910
Дополнительные файлы









