A Plasma Pressure Plateau in the Night Sector of the Earth’s Magnetosphere and Its Stability
- Autores: Kirpichev I.P.1, Antonova E.E.2,1
-
Afiliações:
- Space Research Institute of the Russian Academy of Sciences (IKI)
- Lomonosov Moscow State University Skobeltsyn Institute of Nuclear Physics (MSU SINP)
- Edição: Volume 63, Nº 1 (2023)
- Páginas: 31-42
- Seção: Articles
- URL: https://journals.rcsi.science/0016-7940/article/view/134696
- DOI: https://doi.org/10.31857/S001679402260034X
- EDN: https://elibrary.ru/ADMOKV
- ID: 134696
Citar
Texto integral
Resumo
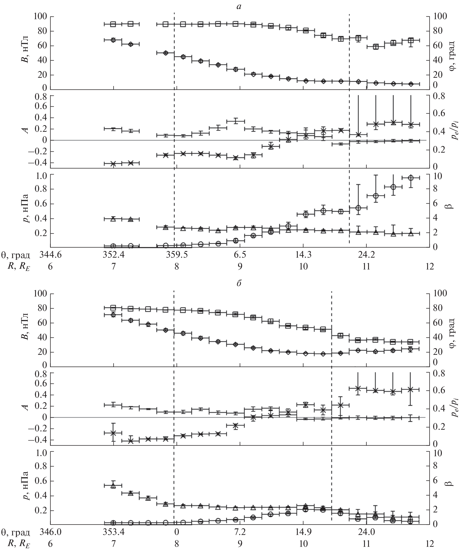
In this paper, we consider the behavior of the radial distribution of the plasma pressure, magnetic
field, and plasma parameter in the night sector of the Earth’s magnetosphere at geocentric distances from 7
to 12 RE that are obtained using the THEMIS mission measurements. The results of measurements on the
THEMIS-D and THEMIS-A satellites on February 2009 when the satellites were near the equatorial plane
were analyzed. Time intervals are identified when the plasma pressure actually did not change with a change
in the distance from the Earth. It is shown that profiles with a pressure plateau can exist stably during the day
are destroyed during the period of disturbance and are restored after destruction. The role of the pressure plateau
in the formation of the structure of magnetospheric current systems is discussed
Sobre autores
I. Kirpichev
Space Research Institute of the Russian Academy of Sciences (IKI)
Email: ikir@iki.rssi.ru
Moscow, 117997 Russia
E. Antonova
Lomonosov Moscow State University Skobeltsyn Institute of Nuclear Physics (MSU SINP); Space Research Institute of the Russian Academy of Sciences (IKI)
Autor responsável pela correspondência
Email: elizaveta.antonova@gmail.com
Moscow, 119991 Russia
Bibliografia
- – Антонова Е.Е., Воробьев В.Г., Кирпичев И.П., Ягодкина О.И. Сравнение распределения давления плазмы в экваториальной плоскости и на малых высотах в магнитоспокойных условиях // Геомагнетизм и аэрономия. Т. 54. № 3. С. 300–303. 2014. https://doi.org/10.7868/S001679401403002X
- – Воробьев В.Г., Ягодкина О.И., Антонова Е.Е., Зверев В.Л. Влияние скорости и плотности солнечного ветра на интенсивность изолированных магнитосферных суббурь // Геомагнетизм и аэрономия. Т. 58. № 3. С. 311–323. 2018. https://doi.org/10.7868/S001679401803001X
- – Знаткова С.С., Антонова Е.Е., Застенкер Г.Н., Кирпичев И.П. Баланс давлений на магнитопаузе вблизи подсолнечной точки по данным наблюдений спутников проекта THEMIS // Космич. исслед. Т. 49. № 1. С. 5–23. 2011.
- – Кадомцев Б.Б. Коллективные явления в плазме. М.: Наука, 304 с. 1988.
- – Кирпичев И.П. Распределение давления плазмы в геомагнитном хвосте в области перехода от дипольных к квазидипольным и вытянутым магнитным силовым линиям: событие 13 ноября 1995 г. // Космич. исслед. Т. 42. № 4. С. 352–362. 2002.
- – Кирпичев И.П., Антонова Е.Е. Распределение давления плазмы в экваториальной плоскости магнитосферы Земли на геоцентрических расстояниях от 6 до 10 RE по данным международного проекта THEMIS // Геомагнетизм и аэрономия. Т. 51. № 4. С. 456–461. 2011.
- – Кирпичев И.П., Ягодкина О.И., Воробьев В.Г., Антонова Е.Е. Положение проекций экваториальной и полярной кромок ночного аврорального овала в экваториальной плоскости магнитосферы // Геомагнетизм и аэрономия. Т. 56. № 4. С. 437–444. 2016. https://doi.org/10.7868/S0016794016040064
- – Кирпичев И.П., Антонова Е.Е. Профили давления плазмы в ночном секторе магнитосферы во время магнитной бури 29 мая 2010 г. // Геомагнетизм и аэрономия. Т. 58. № 6. С. 740–748. 2018. https://doi.org/10.1134/S001679401806007X
- – Овчинников И.Л., Антонова Е.Е. Турбулентный транспорт магнитосферы Земли: Обзор результатов наблюдений и моделирования // Геомагнетизм и аэрономия. Т. 57. № 6. С. 706–714. 2017. https://doi.org/10.7868/S0016794017060086
- – Писаренко Н.Ф., Кирпичев И.П., Луценко В.Н., Будник Е.Ю., Морозова Е.И., Антонова Е.Е. Структура спектров ионов во внешних областях кольцевого тока: Событие 13 ноября 1995 г. // Космич. исслед. Т. 40. С. 17–27. 2002.
- – Anderson B.J., Korth H., Waters C.L., Green D.L., Stauning P. Statistical Birkeland current distributions from magnetic field observations by the Iridium constellation // Ann. Geophysicae. V. 26. P. 671–687. 2008. https://doi.org/10.5194/angeo-26-671-2008
- – Angelopoulos V. The THEMIS mission // Space Sci. Rev. V. 141. № 1–4. P. 5–34. 2008. https://doi.org/10.1007/s11214-008-9336-1
- – Antonova E.E., Tverskoy B.A. On the nature of electric fields in the Earth’s inner magnetosphere (a review) // Geomagnetism and Aeronomy International. V. 1. № 1. P. 9–21. 1998.
- – Antonova E.E. Large scale magnetospheric turbulence and the topology of magnetospheric currents // Adv. Space Res. V. 25. № 7–8. P. 1567–1570. 2000. https://doi.org/10.1016/S0273-1177(99)00669-9
- – Antonova E.E. Investigations of the hot plasma pressure gradients and the configuration of magnetospheric currents from Interball //Adv. Space Res. T. 31. № 5. P. 1157–1166. 2003. https://doi.org/10.1016/S0273-1177(03)00077-2
- – Antonova E.E., Kirpichev I.P., Vovchenko V.V., Stepanova M.V., Riazantseva M.O., Pulinets M.S., Ovchinnikov I.L., Znatkova S.S. Characteristics of plasma ring, surrounding the Earth at geocentric distances ~7–10 RE, and magnetospheric current systems // J. Atmos. Solar-Terr. Phys. V. 99. № 7. P. 85–91. 2013. https://doi.org/10.1016/j.jastp.2012.08.013
- – Antonova E.E., Kirpichev I.P., Stepanova M.V. Plasma pressure distribution in the surrounding the Earth plasma ring and its role in the magnetospheric dynamics // J. Atmos. Solar-Terr. Phys. V. 115. P. 32–40. 2014. https://doi.org/10.1016/j.jastp.2013.12.005
- – Antonova E.E., Vorobjev V.G., Kirpichev I.P., Yagodkina O.I., Stepanova M.V. Problems with mapping the auroral oval and magnetospheric substorms // Earth Planets Space. 67. 166. 2015. https://doi.org/10.1186/s40623-015-0336-6
- – Antonova E.E., Stepanova M., Kirpichev I.P. et al. Structure of magnetospheric current systems and mapping of high latitude magnetospheric regions to the ionosphere // J. Atmos. Solar-Terr. Phys. V. 177. P. 103–114. 2018. https://doi.org/10.1016/j.jastp.2017.10.013
- – Antonova E.E., Stepanova M.V. The impact of turbulence on physics of the geomagnetic tail // Front. Astron. Space Sci. V. 8. Id:622570. 2021. https://doi.org/10.3389/fspas.2021.622570
- – Auster H.U., Glassmeier K.H., Magnes W. et al. The Themis fluxgate magnetometer // Space Sci. Rev. V. 141. № 1–4. P. 235–264. 2008. https://doi.org/10.1007/s11214-008-9365-9
- – Baumjohann W., Paschmann G., Lühr H. Pressure balance between lobe and plasma sheet // Geophys. Res. Lett. V. 17. № 1. P. 45–48. 1990. https://doi.org/10.1029/GL017i001p00045
- – Burton R.K., McPherron R.L., Russell C.T. An empirical relationship between interplanetary conditions and Dst // J. Geophys. Res. V. 80. № 31. P. 4204–4214. 1975. https://doi.org/10.1029/JA080i031p04204
- – Iijima T., Potemra T.A. The amplitude distribution of field-aligned currents at northern high latitudes observed by Triad // J. Geophys. Res. V. 81. P. 2165–2174. 1976. https://doi.org/10.1029/JA081i013p02165
- – Iijima T., Potemra T.A. Large-scale characteristics of field-aligned currents associated with substorms // J. Geophys. Res. V. 83. P. 599–615. 1978. https://doi.org/10.1029/JA083iA02p00599
- – Kirpichev I.P., Antonova E.E., Borodkova N.L., Budnik E.Yu., Lutsenko V.N., Pisarenko N.F., Morozova E.I., Yermolaev Yu.I. The features of the ion plasma pressure distributions in the near Earth plasma sheet // Planet. Space Sci. V. 53. № 1–3. P. 209–215. 2005. https://doi.org/10.1016/j.pss.2004.09.046
- – McFadden J.P., Carlson C.W., Larson D., Ludlam M., Abiad R., Elliott B., Turin P., Marckwordt M., Angelopoulos V. The THEMIS ESA plasma instrument and in-flight calibration // Space Sci. Rev. V. 141. № 1–4. P. 277–302. 2008. https://doi.org/10.1007/s11214-008-9440-2
- – Parker E. N. The alternative paradigm for magnetospheric physics // J. Geophys. Res. V. 101. № A5. P. 10 587–10 625. 1996. https://doi.org/10.1029/95JA02866
- – Petrukovich A.A., Mukai T., Kokubun S. et al. Substorm-associated pressure variations in the magnetotail plasma sheet and lobe // J. Geophys. Res. V. 104. № A3. P. 4501–4513. 1999. https://doi.org/10.1029/98JA02418
- – Petrukovich A.A., Artemyev A.V., Nakamura R., Panov E.V., Baumjohann W. Cluster observations of dBz/dx during growth phase magnetotail stretching intervals // J. Geophys. Res. – Space. V. 118. P. 5720–5730. 2013. https://doi.org/10.1002/jgra.50550
- – Pisarenko N.F., Budnik E.Yu., Yermolaev Yu.I., Kirpichev I.P., Lutsenko V.N., Morozova E.I., Antonova E.E. The main features of the ion spectra variations in the transition region from dipole to tailward stretched field lines // Adv. Space Res. V. 31. № 5. P. 1347–1352. 2003. https://doi.org/10.1016/S0273-1177(03)00018-8
- – Raeder J., Germaschewski K., Cramer W.D., Lyon J. Global Simulations // Magnetosphere in the solar system, Space Physics and Aeronomy Collection, Geophysical Monograph 259, AGU. V. 2. P. 595–606. 2021. https://doi.org/10.1002/9781119815624.ch37
- – Runov A., Angelopoulos V., Henderson M.G., Gabrielse C., Artemyev A. Magnetotail dipolarizations and ion flux variations during the main phase of magnetic storms // J. Geophys. Res. – Space. V. 126. CiteID e2020JA028470. 2021. https://doi.org/10.1029/2020JA028470
- – Sibeck D.G., Angelopoulos V. THEMIS Science Objectives and Mission Phases // Space Sci.-Rev. V. 141. № 1–4. P. 35–59. 2008. https://doi.org/10.1007/s11214-008-9393-5
- – Saito M.H., Hau L.-N., Hung C.-C., Lai Y.-T., Chou Y.-C. Spatial profile of magnetic field in the near-Earth plasma sheet prior to dipolarization by THEMIS: Feature of minimum B // Geophys. Res. Lett. V. 37. CiteID L08106. 2010. https://doi.org/10.1029/2010GL042813
- – Sergeev V.A., Gordeev E.I., Merkin V.G., Sitnov M.I. Does a local B-minimum appear in the tail current sheet during a substorm growth phase? // Geophys. Res. Lett. V. 45. № 6. P. 2566–2573. 2018. https://doi.org/10.1002/2018GL077183
- – Tsyganenko N.A., Mukai T. Tail plasma sheet models derived from Geotail data // J. Geophys. Res. V. 108. № A3. CiteID 1136. 2003. https://doi.org/10.1029/2002JA009707
- – Vovchenko V.V., Antonova E.E., Stepanova M. Magnetic holes observed in the ring current region near the equatorial plane // J. Atmos. Solar-Terr. Phys. V. 177. P. 141–147. 2018. https://doi.org/10.1016/j.jastp.2017.08.024
- – Wang C.-P., Gkioulidou M., Lyons L.R., Wolf R.A., Angelopoulos V., Nagai T., Weygand J.M., Lui A.T.Y. Spatial distributions of ions and electrons from the plasma sheet to the inner magnetosphere: comparisons between THEMIS-Geotail statistical results and the Rice convection model // J. Geophys. Res. V.116. CiteID A11216. 2011. https://doi.org/10.1029/2011JA016809
- – Wang C.-P., Yue C., Zaharia S., Xing X., Lyons L., Angelopoulos V., Nagai T., Lui T. Empirical modeling of plasma sheet pressure and three-dimensional force-balanced magnetospheric magnetic field structure: 1. Observation // J. Geophys. Res. – Space. V. 118. P. 6154–6165. 2013. https://doi.org/10.1002/jgra.50585
Arquivos suplementares








