Chemical Composition, Mineralogy and Physical Properties of the Mantle of the Moon: a Review
- Authors: Kuskov O.L.1, Kronrod E.V.1, Kronrod V.A.1
-
Affiliations:
- Vernadsky Institute of Geochemistry and Analytical Chemistry of the Russian Academу of Sciences
- Issue: Vol 69, No 12 (2024)
- Pages: 1070-1138
- Section: Articles
- URL: https://journals.rcsi.science/0016-7525/article/view/277654
- DOI: https://doi.org/10.31857/S0016752524120013
- EDN: https://elibrary.ru/IECAKT
- ID: 277654
Cite item
Full Text
Abstract
The problem of the internal structure plays a special role in the geochemistry and geophysics of the Moon. The main sources of information about the chemical composition and physical state of the deep interior are seismic experiments of the Apollo expeditions, gravity data from the GRAIL mission, geochemical and isotopic studies of lunar samples. Despite the high degree of similarity of terrestrial and lunar matter in the isotopic composition of a number of elements, the question of the similarity and/or difference in the composition of the silicate shells of the Earth and its satellite in relation to the main elements remains unresolved. The review article summarizes and critically analyzes information on the composition and structure of the Moon, examines the main contradictions between geochemical and geophysical classes of mantle structure models both within each class and between the classes, related to the estimation of the abundance of the major element oxides Fe, Mg, Si, Al, Ca, and analyzes bulk silicate Moon (BSM) models. The principles of the approach to modeling the internal structure of a planetary body, based on the joint inversion of an integrated set of selenophysical, seismic, and geochemical parameters combined with calculations of phase equilibria and physical properties, are presented. Two new classes of the chemical composition of the Moon, enriched in silica (~50% SiO2) and ferrous iron (11-13% FeO, Mg# 79–81) in relation to the bulk composition of the silicate component of the Earth (BSE) are discussed — models E with terrestrial concentrations of CaO and Al2O3 (Earth-like models) and models M with higher refractory oxide content (Moon-like models), which determine the features of the mineralogical and seismic structure of the lunar interior. The probabilistic distribution of geochemical (oxide concentrations) and geophysical (P-, S-wave velocities and density) parameters in the four-layer lunar mantle within the range of permissible selenotherms was obtained. Systematic differences in the content of rock-forming oxides in the silicate shells of the Earth and the Moon have been revealed. Calculations of the mineral composition, P-, S-wave velocities, and density of the E/M models and two classes of conceptual geochemical models LPUM (Lunar Primitive Upper Mantle) and TWM (Taylor Whole Moon) with Earth’s silica content (~45 wt.% SiO2) and different FeO and Al2O3 contents were carried out. The justification of the SiO2-FeO-enriched (olivine-pyroxenite) lunar mantle, which has no genetic similarity with Earth’s pyrolitic mantle, is provided as a geochemical consequence of the inversion of geophysical parameters and determined by cosmochemical conditions and the Moon’s formation mechanism. The major mineral of the lunar upper mantle is high-magnesium orthopyroxene with low calcium content rather than olivine, as confirmed by Apollo seismic data and supported by spacecraft analysis of spectral data from a number of impact basin rocks. In contrast, the P- and S-wave velocities of the TWM and LPUM geochemical models, in which olivine is the major mineral of the lunar mantle, do not match the Apollo seismic data. The geochemical constraints in the scenarios for the formation of the Moon are considered. The simultaneous enrichment of the Moon in SiO2 and FeO relative to pyrolitic mantle of the Earth is incompatible with the formation of the Moon as a result of a giant impact from terrestrial matter or an impact body (bodies) of chondritic composition and becomes the same obstacle in modern scenarios of the formation of the Moon as the similarity in the isotopic compositions of lunar and terrestrial samples. The problem of how to fit these different geochemical factors into the Procrustean bed of cosmogonic models for the Earth-Moon system formation is discussed.
Full Text
ВВЕДЕНИЕ
Геохимические и геофизические исследования Луны, начатые более 60 лет назад в XX веке космическими аппаратами Luna, Apollo, Clementine, Lunar Prospector, и, продолженные в XXI веке зондами LRO (Lunar Reconnaissance Orbiter), GRAIL (Gravity Recovery and Interior Laboratory), Kaguya / SELENE, Chang’ E, Chandrayaan, позволили получить первые сведения о термическом состоянии, химическом составе и внутреннем строении Луны. Высококачественные исследования гравитационного поля, данные лазерной локации и альтиметрии, радиолокационной интерферометрии, сейсмологии, топографии и электромагнитного зондирования дали значительные ограничения на существование и размеры металлического ядра, строение мантии, оценку толщины, плотности, пористости и химического состава коры и ее латеральной изменчивости.
На основе материалов лунных экспедиций в ранних обзорах (Андерсон, 1975; BVSP, 1981; Taylor, 1982, 1987; Ringwood, 1979; Solomon, 1986; Wanke, Dreibus, 1986; Hood, 1986; Очерки сравнительной планетологии, 1981; Барсуков, 1985; Виноградов, 1975) были просуммированы впервые полученные сведения по геохимии и геофизике Луны. В более поздних работах опубликованы междисциплинарные исследования динамики и внутреннего строения многослойной Луны на основе современных наблюдений и их теоретической интерпретации методами селенодезии, планетарной геофизики и сравнительной планетологии (Williams et al., 2001; Gudkova, Zharkov, 2002; Gusev et al., 2003; Lognonné, 2005; Lognonné, Johnson, 2007; Wieczorek et al., 2006; Ризванов и др., 2007; Petrova et al., 2018; Kuskov, 1997; Kuskov, Kronrod, 1998a, 1998b; Khan, Mosegaard, 2000, 2002; Khan et al., 2006a, 2006b; Гудкова, Раевский, 2013). В последующих публикациях рассмотрены некоторые нерешенные вопросы и разногласия между сейсмическими, композиционными и термальными моделями мантии Луны (Khan et al., 2013, 2014; Кусков, Кронрод, 2009; Kronrod, Kuskov, 2011; Grimm, 2013; Karato, 2013; Laneuville et al., 2013; Zhang et al., 2013). Огромный прогресс, достигнутый в результате дистанционных исследований, равно как и применения новых методологий и инструментальных методов анализа лунных образцов и лунных метеоритов, привел к исключительно важным выводам для геологии, геохимии и геофизики Луны (Neal, Taylor, 1992; Ruzicka et al., 2001; Hiesinger, Head, 2006; Wieczorek et al., 2006, 2013; Shearer et al., 2006; Lognonné, 2005; Demidova, 2007; Neal, 2001, 2009; Khan et al., 2013, 2014; Williams et al., 2001, 2014; Armytage et al., 2012; Dauphas et al., 2014; Nielsen et al., 2021; Yang, Zhao, 2015; Xiao, Head, 2020; Jolliff, 2021; Garcia et al., 2011, 2019; Weber et al., 2011; Robinson, Taylor, 2014; Taylor, 2016; Hauri et al., 2015; Matsumoto et al., 2015; Ivanov et al., 2018; Kuskov et al., 2019a, 2019b, 2023; Li et al., 2019; Lemelin et al., 2019; Nunn et al., 2020; Moriarty et al., 2021a, 2021b; Haviland et al., 2022; Kronrod et al., 2022; Yamamoto et al., 2023; Andrews-Hanna et al., 2023; Gaffney et al., 2023; Маров, 2023; Pommier et al., 2024).
Однако принципиально важный для геохимии Луны и мантии Земли вопрос о сходстве и/или различии их состава до сих пор остается предметом острой дискуссии. Различия в модельных составах приводят к разным выводам не только о процессах, происходящих во время аккумуляции планет земной группы, но и гипотезах формирования системы Земля-Луна, в том числе широко распространенной, хотя и не общепринятой ударной модели происхождения Луны в результате катастрофического столкновения растущей Земли с телом размером порядка Марса, получившем название Theia. Эта гипотеза гигантского удара предполагает, что Луна образовалась из обломков в результате коллизии молодой Земли с небесным телом примерно 4.5 млрд лет назад, в результате чего была сформирована асимметрия ближней и дальней сторон Луны (Hartmann, Davis, 1975; Harris, Kaula, 1975; Stevenson, 1987; Cameron, Benz, 1991; Ida et al., 1997; Melosh, 2014; Hartmann, 2014; Asphaug, 2014; Canup et al., 2023; Zhu et al., 2019).
Проблема происхождения Луны оказывается тесно связанной с историей ранней эволюции Солнечной системы (Альвен, Аррениус, 1979; Grossman, Larimer, 1974; Lewis, 1997; Витязев и др., 1990) — одной из фундаментальных проблем естествознания, играющей центральную роль в современных сценариях формирования планет и спутников (Urey, 1951; Левин, Маева, 1975; Виноградов, 1975; Энеев, 1979; Галимов, 1995, 2011, 2013, 2019; Galimov, Krivtsov, 2012; Рускол, 1975, 1997; Боярчук и др., 1998; Кусков и др., 2009; Newsom, Taylor, 1989; O’Neill, 1991; Discussion Meeting Issue, 2014; Canup, 2004, 2012; Маров, 2023; Маров, Ипатов, 2023; Витязев, Печерникова, 1996; Ringwood, 1979; Горькавый, 2007; Svetsov et al., 2012; Reufer et al., 2012; Barr, 2016; Rufu et al., 2017; Hosono et al., 2019; Ćuk, Stewart, 2012; Сергеев, Печерникова, 2020). В прагматическом отношении Луна представляет интерес как промежуточная база для полетов к дальним объектам Солнечной системы и как перспективный в будущем источник минерального сырья; одним из удивительных результатов стало получение методом нейтронной спектроскопии с борта Lunar Prospector свидетельств о возможности существования водяного льда (или водород-содержащих соединений) на лунных полюсах — потенциального источника кислородно-водородного топлива для обеспечения жизнедеятельности последующих экспедиций (Duke et al., 2006; Луна — шаг к технологиям освоения Солнечной системы, 2011; Зеленый и др., 2012; Маров, 2016, 2023; Иванов и др., 2017; Feldman et al., 1998; Marov, Slyuta, 2021; Andreev et al., 2023).
Одним из критериев достоверности существующих гипотез может быть химический состав силикатной порции Луны, выполняющий роль ключевого геохимического ограничения, поскольку данные по элементному и изотопному составу становятся решающими в системе существующих доказательств любой концепции происхождения Луны. Часто предполагается, что планеты земной группы имеют в целом хондритовый состав (Ganapathy, Anders, 1974; Jones, Palme, 2000), поскольку примитивным веществом, сохранившимся с доаккреционной стадии эволюции Солнечной системы, считаются хондриты, сформировавшиеся в разных геохимических и изотопных резервуарах, которые рассматриваются как строительные блоки при аккреции планет. Центральное предположение этой модели состоит в том, что тугоплавкие элементы соответствуют их относительной распространенности в CI хондритах. Это полезное ограничение, хотя нет уверенности в том, что существует группа хондритов, которая могла бы рассматриваться в качестве единственных строительных блоков Земли, равно как и в том, что планеты земной группы были сформированы из вещества известных хондритов или их компонентов (McDonough, Sun, 1995; Campbell, O’Neill, 2012). Другие примитивные материалы из ранней Солнечной системы, вероятно, также сыграли свою роль.
Несмотря на то, что измерения показывают высокую степень изотопной идентичности между лунными и земными породами, вопрос о сходстве и/или различии состава силикатных оболочек Земли (BSE) и ее спутника (BSM) на протяжении многих лет остается нерешенным, порождая острую дискуссию в необозримой геохимической литературе (Галимов, 1995, 2011; Lognonné et al., 2003; Warren, 2005; Taylor et al., 2006; Longhi, 2006; Khan et al., 2006a, 2006b; Kronrod, Kuskov, 2011; Taylor, Wieczorek, 2014; Dauphas et al., 2014; Sossi, Moynier, 2017; Wade, Wood, 2016; Dauphas, 2017; Kuskov et al., 2019a, 2019b, 2023; Kronrod et al., 2022; Hartmann, 2014; Asphaug, 2014; Canup et al., 2023). Проблемы химического состава, минералогии, термической и магматической эволюции, сейсмической структуры, теплового потока и внутреннего строения Луны обсуждаются в обзорах, которые являются не только наиболее полными из доступных на данный момент, но и направлены на перспективы будущих исследований Луны (Shearer et al., 2006; Wieczorek et al., 2006; Lognonné, Johnson, 2007; Barnes et al., 2012; Khan et al., 2013; Garcia et al., 2019; Jolliff, 2021; Haviland et al., 2022; Yang, Wang, 2023; Andrews-Hanna et al., 2023; Gaffney et al., 2023). Тем не менее многие актуальные геохимические проблемы остаются нерешенными. Важнейшей среди них является химический состав Луны и в особенности ее мантии.
В оценках химического состава Луны используются разные подходы и методы: космохимические, основанные на равновесной конденсации солнечной небулы (Morgan et al., 1978) и семикомпонентной хондритовой модели (Ganapathy, Anders, 1974), в предположении, что планеты земной группы образовались в результате процессов, зафиксированных в хондритах, геохимические (анализ лунных образцов, ограничения на элементные отношения и корреляции между содержанием Th, U и тугоплавких оксидов (Wanke, Dreibus, 1986; Jones, Delano, 1989; O’Neill, 1991), петрологические эксперименты (Ringwood, Essene, 1970; Elardo et al., 2011; Charlier et al., 2018; Longhi, 2006) и совокупность геофизических данных (Hood, Jones, 1987; Mueller et al., 1988; Kuskov, 1997; Kronrod, Kuskov, 2011; Lognonné et al., 2003; Gagnepain-Beyneix et al., 2006; Khan et al., 2007, 2014).
Существует два основных источника информации, позволяющих оценить физико-химическое состояние недр Луны: петролого-геохимические и изотопные исследования образцов лунных пород и метеоритов, и интерпретация геофизических наблюдений (гравитационные данные, поверхностный тепловой поток, сейсмическое и электромагнитное зондирование недр). Несмотря на то, что каждый из них имеет свои собственные методические преимущества и ограничения, оба источника целесообразно использовать вместе при их конверсии в термины состава и температуры для более полного представления о термохимическом состоянии лунных недр.
Петролого-геохимические и геофизические модели Луны имеют противоречия как между собой, так и внутри обоих классов и, кроме того, зависят от комплекса используемых данных и методологического подхода. Первые, включающие ограничения на содержания главных элементов, являются модельно-зависимыми в геохимическом отношении, поскольку основаны на предположениях о хондритовых межэлементных отношениях Si/Mg, Ca/Mg, Al/Mg, заметно различающихся среди метеоритов, что может быть связано с интенсивной ударной переработкой, которую претерпели их родительские тела (Виноградов, 1965; Вуд, 1971; Додд, 1986), степени частичного плавления, оценках содержания Al2O3, оливина и пироксена в морских базальтах (Ringwood, Essene, 1970; Jones, Delano, 1989; Snyder et al., 1992; Warren, 2005; Jones, Palme, 2000; Ruzicka et al., 2001; Taylor et al., 2006; Taylor, Wieczorek 2014). Так, например, Джонс и Делано (Jones, Delano, 1989) в качестве базового ограничения для состава Луны принимают величину (Mg/Al), равную соответствующему отношению в CI-хондритах, а (Mg/Si), равную таковой для верхней мантии Земли. В работе (Jones, Palme, 2000) отмечается, что магнезиальное число Mg# плохо поддается оценке из-за дифференциации магматического океана. Кроме того, петролого-геохимические модели Луны не отражают специфику ее современного термального состояния и сейсмо-плотностного строения.
Менее произвольный путь в определении химического состава Луны состоит в использовании комплекса геофизических данных. Геофизический подход, в основе которого лежит прямая сейсмическая информация о физическом состоянии недр планетного тела, заключается в инвертировании совокупности сейсмических, электромагнитных и гравитационных данных в термальные и композиционные модели планет земной группы и Луны (Kuskov, 1997; Kuskov, Kronrod, 1998a, 1998b; Kuskov et al., 2014a, 2014b; Lognonné et al., 2003; Gagnepain-Beyneix et al., 2006; Khan et al., 2006a, 2006b, 2007, 2008, 2014; Khan, Connolly, 2008; Cammarano et al., 2009; Kronrod, Kuskov, 2011; Afonso et al., 2013; Matsumoto et al., 2015; Kronrod et al., 2022). Преимущество этого подхода состоит в том, что он позволяет определить изменения химического состава с глубиной (давлением) с небольшим количеством допущений. В подходе не используются предположения о распространенности элементов в углистых хондритах или определенной смеси хондритов, или геохимические корреляции. Он служит независимым инструментом для проверки геохимических заключений, хотя и не дает сведений о содержаниях второстепенных элементов. Геофизический подход является модельно-зависимым в сейсмическом отношении, его достоверность во многом определяется степенью надежности сейсмологической информации Аpollo и интерпретацией границ в мантии (Nakamura, 1983; Gagnepain-Beyneix et al., 2006; Weber et al., 2011; Garcia et al., 2019). Существование глобальных сейсмических границ приобретает принципиальное значение в связи с проблемой широкомасштабного или частичного плавления Луны, в результате которого произошла кристаллизация лунного магматического океана (Lunar Magma Ocean, LMO), дифференциация на оболочки и наличие примитивной нижней мантии, простирающейся вплоть до границы с частично расплавленным переходным слоем или ядром (Wieczorek et al., 2006; Shearer et al., 2006; Elkins-Tanton et al., 2011; Charlier et al., 2018).
Дистанционные исследования и геофизические модели Луны, основанные на математической обработке сейсмических, термических, гравитационных и электромагнитных данных существенно уточнили численные характеристики внутреннего строения и динамической фигуры Луны (безразмерные моменты инерции, периоды лунных свободных колебаний, коэффициенты упругости, термические, скоростные и плотностные свойства, распределение аномалий плотности и напряжения в недрах), привели к переоценке значений толщины и плотности коры, обнаружению ядра и наличия частично расплавленного слоя на границе мантии с ядром (Keihm, Langseth, 1977; Nakamura et al., 1974; Nakamura, 1983; Hood, Jones, 1987; Mueller et al., 1988; Lognonné et al., 2003; Khan et al., 2006a, 2006b; Gagnepain-Beyneix et al., 2006; Laneuville et al., 2013; Жарков, 2003, 2013; Gudkova, Zharkov, 2002; Гудкова, Раевский, 2013; Karato, 2013; Williams et al., 2001; 2014; Weber et al., 2011; Wieczorek et al., 2013; Raevskiy et al., 2015; Pavlov et al., 2016; Garcia et al., 2011, 2019; Matsumoto et al., 2015; Matsuyama et al., 2016; Долгинов и др., 1975; Галкин, 1978; Чуйкова и др., 2020; Schwinger, Breuer, 2022), но дали лишь косвенную информацию о степени дифференциации Луны, термальном состоянии, химическом и минеральном составе мантии, физических свойствах и химии ядра.
Геохимические модели, основанные на петрологических экспериментах, изотопной систематике, анализе стекол, лунных пород и метеоритов, корреляции между содержаниями Th, U и тугоплавких оксидов и масс-балансовых соотношениях, дают информацию о составе коры, распространенности летучих, сидерофильных и радиоактивных элементов, минералогии мантии при равновесной и/или фракционной кристаллизации LMO (Ringwood, Essene, 1970; Rasmussen, Warren, 1985; Wanke, Dreibus, 1986; Jones, Delano, 1989; Snyder et al., 1992; Warren, 2005; Longhi, 2006; Wieczorek et al., 2006; Shearer et al., 2006; Taylor et al., 2006; Demidova et al., 2007; Dauphas et al., 2014; Sakai et al., 2014; Schmidt, Kraettli, 2022; Elkins-Tanton et al., 2011; Taylor, Wieczorek, 2014; Charlier et al., 2018; Elardo et al., 2011; Johnson et al., 2021; Jing et al., 2022), но представляют слабые ограничения на вариации химического состава по глубине (концентраций породообразующих оксидов, играющих ключевую роль в эволюции Луны и влияющих на количество минеральных фаз — плагиоклаза, оливина, пироксенов, граната) и физические свойства мантии, равно как и в отношении ее дифференциации, связанной с глубиной магматического океана. Наличие толстой, обогащенной алюминием коры, привело геохимиков и космохимиков к предположению, что большая часть Луны обогащена тугоплавкими элементами по сравнению с Землей. Многие исследования, основанные на анализе образцов, дистанционном зондировании и геофизических данных, подтверждают эту идею. Однако другие исследования на столь же веских основаниях предполагают, что Луна не обогащена тугоплавкими элементами по сравнению с Землей. Вопрос в том, насколько репрезентативны составы примитивной мантии и силикатной Земли? Оба термина — синонимы, относящиеся к химическому составу мантии после формирования ядра и до образования континентальной коры.
Синтез геофизических и петролого-геохимических моделей и подходов с привлечением всех имеющихся данных обладает преимуществом, позволяющим выявить специфику состава и связать химическую (минеральную) природу мантии с ее физическими характеристиками. Петролого-геохимические эксперименты и космохимические наблюдения, дополненные сейсмическими данными, привели к созданию ряда моделей валового состава силикатной порции Земли, табл. 1 (Ringwood, 1977; Taylor, 1987; McDonough, Sun, 1995; Khan et al., 2008). Модели, в основном относящиеся к верхней мантии, находятся в довольно тесном соответствии друг с другом и близки по содержаниям основных оксидов лишь с точностью до 10–20%. Обратим внимание на сильные расхождения в содержаниях тугоплавких оксидов, связанные с различиями в методологических подходах — петрологическом / космохимическом / геофизическом. В геохимических моделях они достигают 20% (Taylor, 1987; McDonough, Sun, 1995; Lyubetskaya, Korenaga, 2007). Чисто геофизические модели верхней мантии Земли приводят к величине 3% Al2O3 (Khan et al., 2008), которая в 1.5 раз отличается от классической оценки 4.5% Al2O3 по McDonough, Sun (1995). Точно такое же полуторное расхождение в оценке Al2O3 существует и для Луны (Taylor, 1987; Longhi, 2006), и для Марса (Khan, Connolly, 2008; Yoshizaki, McDonough, 2020).
Таблица 1. Модели валового состава силикатных оболочек (кора + мантия) Земли, Луны и Марса, нормализованные в рамках системы CFMAS (мас. %)
Литературный источник | SiO2 | FeO | MgO | CaO | Al2O3 | Mg# | Al2O3 / Al2O3(BSE) |
Земля | |||||||
Ringwood (1977) | 45.1 | 7.9 | 38.1 | 3.1 | 3.9 | 89.5 | 0.88 |
Taylor (1987) | 49.9 | 8.0 | 35.1 | 2.89 | 3.64 | 88.8 | 0.82 |
McDonough, Sun (1995) | 45.0 | 8.05 | 37.8 | 3.55 | 4.45 | 89.3 | 1.00 |
Khan et al. (2008) | 47.5 | 8.4 | 38.5 | 2.4 | 3.0 | 89 | 0.67 |
Марс | |||||||
Khan, Connolly (2008) | 44.0 | 17.0 | 33.0 | 2.2 | 2.5 | 77 | 0.55 |
Khan et al. (2022) | 46.7 | 13.7 | 32.8 | 2.7 | 3.5 | 81 | 0.78 |
Taylor (2013) | 43.7 | 18.1 | 30.5 | 2.43 | 3.04 | — | 0.68 |
Yoshizaki, McDonough (2020) | 45.5 | 14.7 | 31.0 | 2.9 | 3.6 | — | 0.80 |
Луна | |||||||
Геохимические модели | |||||||
Morgan et al. (1978) | 43.7 | 13.1 | 29.4 | 6.1 | 7.7 | 80 | 1.4 |
Ringwood (1977) | 44.6 | 13.9 | 33.4 | 3.4 | 3.7 | 81 | 0.9 |
Jones, Delano (1989) | 42.6 | 13.6 | 37.1 | 3.0 | 3.7 | 83 | 0.8 |
O’Neill (1991) | 44.9 | 12.5 | 35.3 | 3.3 | 4.0 | 83 | 0.9 |
Wanke, Dreibus (1986) | 45.9 | 13.1 | 32.6 | 3.8 | 4.6 | 82 | 1.0 |
Warren (2005) | 47.5 | 9.5 | 36.0 | 3.1 | 3.9 | 87 | 0.8 |
Dauphas et al. (2014) | 48.5 | 10.6 | 34.3 | 3.0 | 3.6 | 85 | 0.8 |
Snyder et al. (1992) | 49.0 | 12.0 | 30.0 | 4.0 | 5.0 | 82 | 1.1 |
Taylor (1987) | 44.0 | 13.0 | 32.5 | 4.5 | 6.0 | 84 | 1.4 |
Longhi (2006) | 45.9 | 8.0 | 39.0 | 3.1 | 4.0 | 90 | 0.9 |
Геофизические модели | |||||||
Buck, Toksoz (1980) | 48.8 | 13.1 | 29.3 | 3.8 | 5.0 | 80 | 1.1 |
Lognonné et al. (2003) | 53.5 | 13.3 | 21.9 | 4.9 | 6.4 | 75 | 1.4 |
Khan et al. (2006b) | 46.0 | 12.5 | 34.0 | 3.3 | 4.2 | 83 | 0.9 |
Khan et al. (2006a) | 52.0 | 9.0 | 32.0 | 2.5 | 4.5 | 84 | 1.0 |
Khan et al. (2014) | 45.0 | 11.0 | 35.0 | 4.0 | 4.5 | — | 1.0 |
Kuskov (1997) | 49.9 | 10.8 | 27.5 | 4.9 | 6.9 | 82 | 1.5 |
Kuskov, Kronrod (1998a) | 48.5-50 | 10.4-11.7 | 28.5-29.6 | 4.3-4.8 | 5.9-6.3 | 82-83 | 1.4 |
Kronrod, Kuskov (2011) | 49.5-51 | 11.4-12.1 | 29.5-29.8 | 3.3-3.8 | 4.1-4.8 | 81-82 | 0.9-1.1 |
Примечания. Mg# = 100 × [(Mg/(Mg + Fe2+)] — молярное отношение; Al2O3/Al2O3(BSE) — отношение оксида алюминия в планетном теле к Al2O3 в силикатной порции Земли по McDonough, Sun (1995).
В табл. 1 приведено сопоставление моделей химического состава силикатных оболочек Земли, Луны и Марса — трех планетных тел, для которых существует набор гравитационных, сейсмических, геохимических и космохимических данных, в том числе по лунным и SNC-метеоритам. Среди работ, посвященных оценке состава Марса можно выделить три этапа — до и после обнаружения признаков сходства между SNC-метеоритами и Марсом, и на основе результатов работы космического зонда InSight (Interior Exploration using Seismic Investigations, Geodesy and Heat Transport), совершившего посадку на Марсе в ноябре 2018 года и рассчитанного на изучение внутреннего строения и химического состава планеты; в таблице приведены ссылки на работы, в основном относящиеся ко второму и третьему этапам, из которых можно получить сведения о более ранних результатах. Можно видеть, что модели силикатных оболочек всех трех тел за исключением SiO2 существенно отличаются по содержанию основных оксидов.
Общие принципы оценки состава, основанные на петролого-геохимических и геофизических данных, часто содержат взаимоисключающие гипотезы и носят остро дискуссионный характер (Ringwood, 1979; Wanke, Dreibus, 1986; Hood, Jones, 1987; Longhi, 2006). Заметные расхождения связаны с оценкой концентраций оксидов Ca, Al и Fe: вариации в содержаниях составляют 3.5–8% для Al2О3 и 7–14 мас. % для FeO (рис. 1, табл. 1). В ряде работ предполагается обогащение Луны этими оксидами по отношению к пиролитовой мантии (Morgan et al., 1978; Snyder et al., 1992; Lucey et al., 1995; Taylor et al. 2006; Hood, Jones, 1987; Kuskov, Kronrod, 1998a, 1998b; Lognonné et al., 2003), в ряде других предполагается обогащение Луны закисным железом, в то время как содержания тугоплавких оксидов близки для Луны и Земли (Wanke, Dreibus, 1986; Ringwood, 1979; Khan et al., 2014), третьи настаивают на сходстве земного и лунного вещества (Warren, 2005; Longhi, 2006), к четвертой группе можно отнести составы (Jones, Delano, 1989; O’Neill, 1991; Dauphas et al., 2014), имеющие близкие или пониженные концентрации тугоплавких элементов, но повышенное содержание FeO и пониженное магнезиальное число (Mg#) и, наконец, к пятой категории относятся геофизические модели, имеющие более высокие содержания тугоплавких элементов, SiO2 и FeO (Khan et al., 2006a; Kuskov, 1997; Kuskov, Kronrod, 1998a; Lognonné et al., 2003) по сравнению с пиролитом, что исключает модели происхождения Луны из вещества мантии Земли.
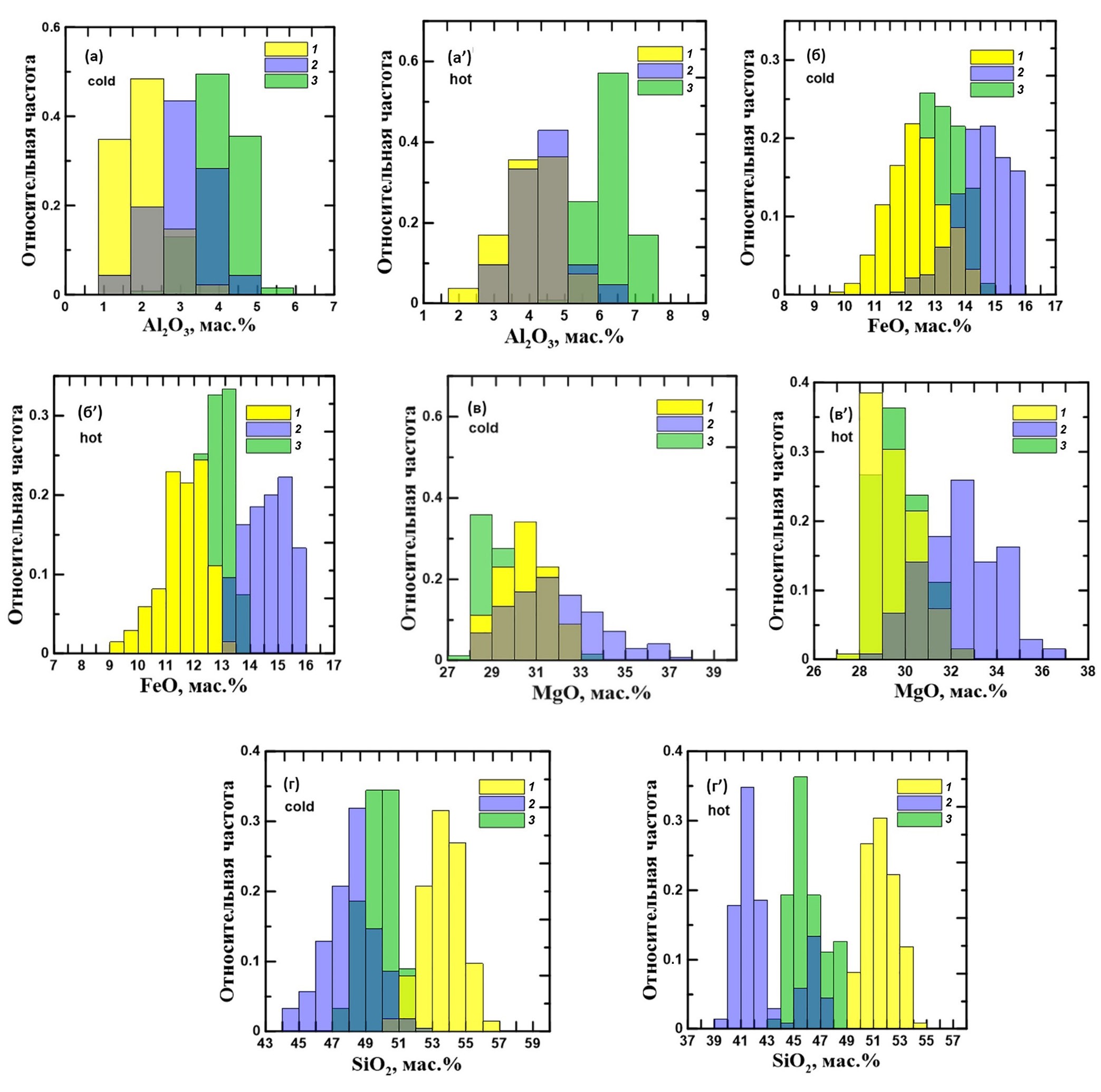
Рис. 1. Модели валового состава Луны (кора + мантия) по геохимическим и геофизическим данным в сравнении с составом силикатной порции Земли (звезда, McDonough, Sun, 1995). M78 = Morgan et al., 1978; R77 = Ringwood, 1977; B&T80 = Buck, Toksoz, 1980; TWM = Taylor, 1982; J&D89 = Jones, Delano, 1989; S92 = Snyder, 1992; L03 = Lognonné et al., 2003; LPUM = Longhi, 2006; W05 = Warren, 2005; Kh07 = Khan et al., 2007; E11 = Elkins-Tanton et al., 2011; D14 = Dauphas et al., 2014; K19Cold/Hot — оценки состава для холодных (Cold) и горячих (Hot) моделей Луны (Kuskov et al., 2019a). K22E/M = Kronrod et al., 2022, оценки состава для моделей E с земными значениями Al2O3 и СаО, и моделей M с более высоким их содержанием
Наибольшую популярность получили две концептуальные геохимические модели состава Луны, на которых основаны многие петрологические эксперименты по исследованию фракционной или равновесной кристаллизации магматического океана (Elardo et al., 2011; Sakai et al., 2014; Schmidt, Kraettli, 2022; Charlier et al., 2018; Johnson et al., 2021; Jing et al., 2022): модель LPUM (Lunar Primitive Upper Mantle), с концентрациями Al2O3, CaO и FeO, близкими к земным (Longhi, 2006), и модель TWM (Taylor Whole Moon), обогащенная (относительно пиролитовой мантии) Al2O3, CaO и FeO примерно на 50% (Taylor, 1982; Taylor et al., 2006). Longhi (2006) на основе анализа пикритовых магм и зеленых стекол с низким содержанием Al2O3 приходит к выводу, что бóльшая часть оксида алюминия сконцентрирована в полевошпатовой коре и оценивает валовое содержанием Al2O3 в Луне на уровне 4 мас. % (здесь и далее все концентрации оксидов выражены в массовых процентах). Можно видеть (табл. 1), что в этом случае наблюдается значительное перекрытие между моделью LPUM и пиролитовым составом верхней мантии Земли, что отражает сходство составов. Напротив, из измерений теплового потока (Langseth et al., 1976; Keihm, Langseth, 1977), согласованных с содержанием урана 33–46 ppb, Taylor (1982) заключает, что Луна обогащена тугоплавкими элементами, и оценивает валовое содержанием Al2O3 в Луне на уровне 6%. На основе анализов морских базальтов концентрации FeO в TWM оценивается в 11–13% (Taylor, 1982, 1987; Taylor et al., 2006). Обе модели LPUM и TWM по содержанию Al2O3, CaO и FeO различаются в 1.5 раза (рис. 1, табл. 1), т.е. в отношении их распространенности нет консенсуса, в то время как концентрации SiO2 ~ 45% одинаковы. В обзоре Gaffney et al. (2023) приведено подробное описание результатов моделирования по кристаллизации LMO, основанных на составах TWM и LPUM. Расхождения между моделями LPUM и TWM и выводы, вытекающие из экспериментов по кристаллизации, связаны с принципиальным отсутствием информации о составе и композиционных вариациях лунной коры и мантии.
Помимо неопределенности в распространенности Al2O3, CaO и FeO, возникает вопрос о достоверности определений в отношении SiO2. Если в материковой коре содержания кремнезема (44–46% SiO2) определены достаточно надежно (Taylor, 1982; Demidova et al., 2007; Khan et al., 2007), то в мантии они неизвестны. Обычно постулируется ad hoc, что концентрация SiO2 в BSM составляет ~45%, как и в BSE (табл. 1). В работе (Hauri и др., 2015) на основании изотопных аргументов принимается идентичность составов Земли и Луны в отношении основных оксидов. Геохимические и геофизические интерпретации состава лунной мантии, основанные на традиционном понимании данных эпохи Аполлона, отдавали предпочтение составу мантии с преобладанием оливина (Hood, Jones, 1987; Taylor, 1987; Ringwood, 1979; Longhi, 2006; Jones, Delano, 1989; O’Neill, 1991). Позже, в основном в геофизических работах с учетом новых данных и методов анализа ранние геохимические интерпретации стали пересматриваться (Kuskov, 1997; Lognonné et al., 2003; Khan et al., 2006b; Kronrod, Kuskov, 2011).
Существуют разногласия в отношении литологии верхней мантии (Li et al., 2019; Hu et al., 2019; Yamamoto et al., 2023). Отмечается, что в коллекции образцов, отобранных аппаратами Apollo и Луна, и в лунных метеоритах присутствие мантийных оливинов не было окончательно идентифицировано (Melosh et al., 2017; Moriarty et al., 2021a; Демидова и др., 2019; Prissel, Gross, 2020); более подробно анализ этой проблемы приведен в (Moriarty et al., 2021a). Анализы спектральных данных пород ударных бассейнов, полученные китайскими станциями Chang’E-3, 4, дали характеристики минерального состава лунного грунта и нашли подтверждения как оливин-, так и пироксен-содержащей верхней мантии в местах посадки аппаратов, причем в особенно крупных бассейнах типа Южный полюс-Эйткен преобладают пироксены с низким содержанием кальция (Hu et al., 2019; Lemelin et al., 2019; Melosh et al., 2017; Moriarty et al., 2021a, 2021b; Yamamoto et al., 2023). В работах (Kuskov, 1997; Kuskov et al., 2014a, 2015) на основе инверсии гравитационных и сейсмических данных приведены аргументы в пользу пироксенитовой верхней мантии с преобладанием ортопироксенового компонента.
Таким образом, несмотря на непрекращающийся в течение многих лет конструктивный диалог между геофизическими и геохимическими группами исследователей и безусловные достижения, неоднозначность в интерпретации данных Apollo и неопределенность в оценках BSM не позволяют построить унифицированную модель внутреннего строения Луны, удовлетворяющую совокупности геофизических и петролого-геохимических параметров. Противоречивые выводы в отношении распространенности породообразующих оксидов (рис. 1, табл. 1), существенно влияющих на момент инерции и среднюю плотность Луны (FeO), пропорции граната (Al2O3), оливина и пироксена (SiO2), сейсмические свойства мантии (FeO, Al2O3, SiO2), свидетельствуют о необходимости поиска потенциального консенсуса между геофизическими и геохимическими моделями и побуждают нас подойти к переоценке химического состава Луны. В настоящей работе, опираясь на ранее полученные выводы, дополненные новыми результатами, проведено обобщение геохимических, геофизических и космохимических данных. Обсуждаются характерные черты сходства и/или различия в составах силикатных оболочек Земли и ее спутника и новые модели химического состава Луны, основанные на совместной инверсии селенофизических, сейсмических и геохимических параметров, в сочетании с методами физики минералов и расчетами фазовых равновесий. Рассмотрены геохимические и космохимические ограничения в сценариях формирования Луны.
ПОДХОД
Вне зависимости от модели и механизма происхождения Луны, образовавшееся первичное вещество формирует в результате процессов конденсации и аккреции будущий спутник Земли. Прошедшее через все этапы магматической эволюции, это вещество в результате частичного плавления претерпевает дифференциацию на оболочки и задает среднюю плотность, массу и момент инерции, а также распределение физических параметров в недрах Луны. Совокупность имеющихся данных с помощью методов математического моделирования позволяет получить достаточно жесткие ограничения на внутреннюю структуру Луны (интерпретацию глубинных сейсмических разрезов, химического состава и термодинамических параметров мантийного вещества, а также термических характеристик геологической среды) на основе ряда критериев, к которым относятся условия термодинамического и гидростатического равновесия, субсолидусные условия, отсутствие анизотропных свойств пород и дисперсии упругих волн.
Решение прямых задач при фиксированных Р-Т условиях и валовом составе (Х) позволяет получить внутренне согласованную информацию по фазовому набору минеральной ассоциации (химический состав фаз и их пропорции), ее плотности, упругим модулям и скоростям сейсмических волн. Подход широко применяется в исследованиях литосферной мантии кратонов, где используются методы петрографического и термобарометрического анализа мантийных ксенолитов, содержащихся в кимберлитах (гранатовых, гранат-шпинелевых и шпинелевых перидотитов и пироксенитов), например, (Ащепков, 2006; Artemieva, 2009; Kuskov et al., 2006, 2014b, и ссылки в них). Такой подход, обычно осуществляемый методом перебора, неприменим для Луны из-за отсутствия данных по термальному состоянию (в том числе палеоселенотерм) и ксенолитам.
Альтернативный подход заключается в решении обратных задач. Метод основан на совместном обращении геофизических, гравитационных, сейсмических и геохимических данных. Такие задачи представляют особый интерес для реконструкции состава, внутреннего строения и теплового режима Луны, Земли и других планетарных тел (Cammarano et al., 2003, 2009; Kuskov, Kronrod, 1998a, 1998b; Kronrod, Kuskov, 1997, 2011; Lognonné et al., 2003; Khan et al., 2007, 2022; Khan, Connolly, 2008; Jones et al., 2009; Afonso et al., 2008, 2013; Garcia et al., 2019). В общем случае численное решение обратной задачи заключается в восстановлении некоторого набора модельных параметров — температуры, химического состава и физических свойств оболочек, их толщины, размеров ядра — на основе дешифровки, напрямую не связанных, сейсмических, гравитационных, электромагнитных и термических данных в сочетании с методами математического моделирования и физики минералов (Kuskov, Kronrod, 1998a, 1998b; Kronrod, Kuskov, 2011; Kuskov et al., 2014a, 2023; Lognonné et al., 2003; Gagnepain-Beyneix et al., 2006; Khan, Mosegaard, 2002; Khan et al., 2006a, 2006b, 2007, 2014; Matsumoto et al., 2015; Kronrod et al., 2022). Такие задачи, позволяющие связать набор геохимических и геофизических параметров (химический состав и минералогию лунных пород, температуру, плотность, скорости P-, S-волн, числа Лява и другие параметры из табл. 2) на фундаментальном уровне, представляют особый интерес для реконструкции внутреннего строения планет и спутников Солнечной системы. Здесь мы сосредоточимся на проблеме состава и строения силикатной порции Луны.
Таблица 2. Основные ограничения на модель Луны
Параметр | Значение | Литература |
Средний радиус, R, км | 1737.15 | (Williams et al., 2014) |
Нормированный момент инерции Is = (I/MR2) | 0.393112±0.000012 | (Williams et al., 2014) |
Масса (1022 кг) | 7.34630±0.00088 | (Williams et al., 2014) |
Времена пробега сейсмических волн | Таблицы 1–4 | (Lognonné et al., 2003) |
Скорости сейсмических волн на глубинах 38–1000 км, VP, VS | Рис. 8 | (Gagnepain-Beyneix et al., 2006) |
Число Лява (k2) | 0.02422 ± 0.00022 | (Williams et al., 2014) |
Коэффициент добротности с периодом месяц (Qm) | 38 ± 4 | (Williams, Boggs, 2015) |
Коэффициент добротности с периодом год (Qa) | 41 ± 9 | (Williams, Boggs, 2015) |
Кора, км | Hcr = 34 | (Gagnepain-Beyneix et al., 2006; Wieczorek et al., 2013) |
Верхняя мантия, км Mantle-1 | Hu ∈ [34; 250] | |
Средняя мантия, км Mantle-2 Mantle-3 | Hm ∈ [250; 500] Hm ∈ [500; 750] | |
Нижняя мантия, км Mantle-4 | Hl ∈ [750; LVZ ~ 1250 км | |
Средняя плотность коры, кг/м3 | 2590 | |
Средняя плотность ядра, кг/м3 | 7500 | (Kuskov, Belashchenko, 2016) |
Средний состав коры, мас. % | Al2O3 = 27.3%, CaO = 15.5%, MgO = 6.8%, FeO = 6.3%, SiO2 = 44.1% | (Taylor, 1982; Demidova et al., 2007; Taylor, Wieczorek, 2014) |
Модели состава, мас. % модели E модели M FeO | CE(Al2O3) = 4.05 ± 0.36% CM(Al2O3) = 5.91 ± 0.39% CE,M(FeO) = 12.25 ± 1.33% | (Kronrod et al., 2022) |
Температура | T150 km = 600°С, T1000 km ∈ [950; 1350°С] | (Kuskov et al., 2019a; Kronrod et al., 2022) |
2.1. Постановка проблемы, фактические данные, метод решения
Модель. В общем случае рассматривается вязкоупругая сферически-симметричная модель Луны (рис. 2, табл. 2). В сейсмическом и химико-минералогическом отношении Луна подразделяется на кору, твердую силикатную мантию (верхнюю, среднюю и нижнюю) мощностью 1100–1200 км, подплавленный переходный слой толщиной 150–200 км (в некотором смысле аналог зоны D″ в Земле) и частично расплавленное железоникелевое ядро (с радиусом 300–400 км) с примесью легких элементов. Предполагается, что после формирования Луны плавление материала привело к образованию магматического океана, простирающегося на некоторую глубину, в результате кристаллизации которого произошла стратификация с выделением анортозитовой коры, верхней (и, возможно, средней) мантии и нижней (возможно, первичной) мантии, а также ядра (Gagnepain-Beyneix et al., 2006; Garcia et al., 2011, 2019; Weber et al., 2011). В химическом отношении мантия может быть как однородной, так и стратифицированной по составу; степень дифференциации и состав неизвестны. В работе рассмотрены варианты двухслойной и трехслойной по химическому составу мантии, что требует обоснования химической природы сейсмических разрывов. Более разумное предположение считать, что процесс эволюции LMO сопровождался конвективным перемешиванием, приводящим к смешению составов верхних оболочек, в то время как нижняя примитивная мантия, соответствующая валовому составу силикатной Луны, не подвергалась дифференциации. Существование нижней мантии и ее минералогия важны для понимания ранней дифференциации Луны.
Рис. 2. Схематическая девятислойная модель Луны, дифференцированной в результате плавления на оболочки: мегареголит, кора, четырехслойная мантия, частично расплавленная переходная зона (зона пониженной вязкости/скорости, LVZ), жидкое внешнее ядро и твердое внутреннее ядро; предполагаемые границы слоев в мантии расположены на глубинах H ~ 34 км (средняя толщина коры), 250, 500, 750 и 1250 км (Gagnepain-Beyneix et al., 2006; Wieczorek et al., 2013; Weber et al., 2011; Кусков и др., 2023)
Масс-балансовые соотношения. Несмотря на условность выделения различных резервуаров, в соответствии с (Gagnepain-Beyneix et al., 2006) примем, что в сейсмическом отношении мантия подразделена на четыре слоя (рис. 2): верхняя мантия (Mantle 1 = M1, от границы кора-мантия до ~240 км), средняя мантия (Mantle 2 = M2, 240–500 км + Mantle 3 = M3, 500–750 км) и нижняя мантия (Mantle 4 = M4), расположенная на глубинах от ~750 км до границы с LVZ, толщина нижней мантии определяется в результате решения обратной задачи. CM1, CM2, CM3, CM4 — диапазоны концентраций оксидов в системе Na2O-TiO2-CaO-FeO-MgO-Al2O3-SiO2 (NaTiCFMAS) в слоях M1/M2/M3/M4, соответственно. Для двухслойной мантии состав трех самых верхних слоев мантии (если не оговорено) принимается одинаковым: CM1 = CM2 = CM3. Концентрации оксидов в недифференцированной (первичной) нижней мантии (CM4 = BSM) рассчитываются из соотношений баланса масс, причем CM1 = CM2 = CM3 ≠ CM4 (Kronrod et al., 2022). Концентрации оксидов в нижней мантии (CM4), не затронутой процессами частичного плавления, рассчитываются из масс-балансовых соотношений. Условия, характеризующие баланс концентраций в системе NaTiCFMAS для модели дифференциации первоначально однородной по составу Луны на кору, верхнюю и среднюю зоны мантии относительно первичной недифференцированной мантии, записываются в виде (Kronrod, Kuskov, 2011; Kronrod et al., 2022):
(1)
Здесь ρ, V, C - плотность, объем, концентрации оксидов (мас. %). Индексы cr, M1, M2 и M3 соответствуют коре, верхней мантии (M1) и двум зонам средней мантии (M2 + M3), а M4 соответствует недифференцированной нижней мантии, химический состав которой рассчитывается из (1). Система NaTiCFMAS нормируется на 100%; CaO ~ 0.8Al2O3, а концентрации Na2O и TiO2 фиксированы.
В соответствии с постановкой задачи уравнение (1) означает, что химический состав нижней мантии, равный среднему составу равномерно перемешанных вышележащих оболочек (коры, верхней и средней мантии), находится из условий баланса концентраций оксидов в мантийных оболочках и соответствия рассчитываемых физических свойств данным наблюдений (табл. 2). Толщина нижней мантии определяется в ходе расчетов, то есть глубина границы нижняя мантия–LVZ, также является параметром (Kronrod et al., 2022).
Глобальные геофизические ограничения. Орбитальные наблюдения и сейсмические эксперименты позволили получить детальную информацию о строении недр Луны. В качестве основных геофизических условий использованы сейсмические данные по программе Apollo (Nakamura, 1983; Lognonné et al., 2003; Gagnepain-Beyneix et al., 2006) и спутниковые наблюдения миссии GRAIL (Wieczorek et al., 2013; Williams et al., 2014; Williams, Boggs, 2015) по изучению гравитационного поля Луны (времена пробега сейсмических волн, радиус (R), масса (M0), момент инерции (MOI = I0 = I/MR2), безразмерное число Лява второго порядка (k2) и коэффициенты добротности с периодом месяц и год — Qm и Qa). Априорная информация и параметры модели, включающие состав и свойства коры, мантии и ядра, приведены в табл. 2. Эти параметры представляют собой важнейшие геофизические ограничения при построении моделей внутреннего строения Луны. Момент инерции, который является интегральной величиной распределения плотности, масса, радиус и плотность в недрах тела связаны известными соотношениями:
(2)
Здесь ρ, R, r — плотность, радиус спутника, текущий радиус. Из (1) можно получить геофизически допустимые распределения плотности в мантии и оценить размеры ядра. Кроме того, геофизические определения предоставили информацию о толщине коры, сейсмической стратификации мантии, размерах и агрегатном состоянии ядра (Bills, Rubincam, 1995; Lognonné et al., 2003; Gagnepain-Beyneix et al., 2006; Weber et al., 2011; Wieczorek et al., 2013; Williams et al., 2001, 2014; Garcia et al., 2011, 2019).
Дешифровка геофизических данных в терминах химического состава (то есть, концентраций основных оксидов) осуществляется с применением алгоритма Монте-Карло для модели, дифференцированной в результате частичного плавления первоначально однородной Луны с образованием магматического океана, впоследствии затвердевшего. Толщина и степень дифференциации LMO обусловливают последующую термическую и магматическую эволюцию лунных недр. Химический состав мантийных оболочек находится из условий баланса масс (1) и соответствия рассчитываемых физических свойств данным наблюдений (табл. 2).
Термодинамический подход. Фундаментальные термодинамические соотношения дают возможность по валовым составам пород определить фазовый состав, химические составы фаз и физические свойства (плотность, модули сжатия и сдвига, скорости упругих волн) стабильных минеральных ассоциаций при Р-Т параметрах планет и спутников (Saxena, Eriksson, 1984; Kuskov, 1997; Khan et al., 2007, 2008; Afonso et al., 2013; Stixrude, Jeanloz, 2015). В предположении термодинамического равновесия расчеты равновесного состава и физических свойств минеральных ассоциаций в системах MgO-SiO2, FeO-MgO-SiO2, MgO-Al2O3-SiO2, CaO-FeO-MgO-Al2O3-SiO2 (CFMAS) и Na2O-TiO2-CaO-FeO-MgO-Al2O3-SiO2 (NaTiCFMAS) с учетом фазовых превращений проводились методом минимизации свободной энергии Гиббса и уравнения состояния минералов в квазигармоническом приближении в форме Ми–Грюнайзена–Дебая (Жарков, Калинин, 1968; Бушман, Фортов, 1983; de Capitani, Brown, 1987; Кусков и др., 1982, 1983, 2009, 2023; Паньков и др., 1998; Поляков, Кусков, 1994). Решение прямых и обратных задач осуществлялось на основе собственной базы самосогласованных термодинамических данных с помощью программного комплекса THERMOSEISM (Fabrichnaya, Kuskov, 1994; Kuskov, 1997; Kuskov, Kronrod, 1998a, 1998b; Kuskov et al., 2014b). Согласование термодинамических констант минералов основано на экспериментах по измерению термического расширения и сжимаемости, калориметрии и фазовым равновесиям (Anderson et al., 1991, 1992; Liebermann, Ringwood, 1976; Saxena, Shen, 1992; Saxena, Chatterjee, 1986; Fabrichnaya, Kuskov, 1994). Модель раствора состоит из идеального и избыточного вклада в химический потенциал; параметры взаимодействия твердых растворов рассчитывались из экспериментов по фазовым равновесиям. Параметры уравнений состояния, принципы согласования и комментарии по выбору и рекомендации термодинамических свойств минералов приведены в (Fabrichnaya, Kuskov, 1994; Kuskov, 1995, 1997; Fabrichnaya et al., 2004). Сравнение результатов расчета нашего метода с экспериментальными фазовыми равновесиями проводилась в самых разных системах, охватывающих широкий диапазон давления и температуры в мантии Земли, Марса, Луны и галилеевых спутников Юпитера как для решения прямых (расчет фазовых диаграмм и физических характеристик), так и обратных задач (инверсия сейсмических моделей в модели распределения температуры и/или состава (Кусков и др., 1982, 2009, 2023; Kuskov et al., 1989, 2014a, 2014b).
В качестве независимых компонентов системы обычно принимают оксиды, образующие фазы постоянного и переменного состава, в том числе оливин (Ol), шпинель (Sp) и ильменит (Ilm) — бинарные растворы, гранат (Gar, пироп-альмандин-гроссуляр), ортопироксен (Opx, 5-компонентный раствор) и клинопироксен (Cpx, 6-компонентный раствор, включающий жадеитовый конечный член). При моделировании состава мантии Луны концентрации оксидов в рамках системы NaTiCFMAS задаются в интервалах (мас. %) (Kronrod et al., 2022):
(3)
причем концентрации Al2O3 и CaO связаны хондритовой зависимостью CaO ~ 0.8Al2O3 (Ringwood, Essene, 1970; Elardo et al., 2011), а концентрации других оксидов фиксированы на уровне 0.05 мас. % для Na2O и 0.2 мас. % для TiO2 (Warren, 2005; Snyder et al., 1992; Dauphas et al., 2014). Столь широкие диапазоны выбраны таким образом, чтобы охватить весь набор потенциальных лунных составов из анализа петролого-геохимических и геофизических данных. Al2O3, Na2O и TiO2 важны для стабильности граната, клинопироксена и Ti-содержащих ассоциаций. Элементы, присутствующие в малых концентрациях K2O, Cr2O3, NiO, MnO в сумме 0.5–1%, не учитываются из-за малого влияния на упругие и термические свойства фазовых ассоциаций при лунных Р-Т условиях. Рассматривается сухая мантия, поскольку малые содержания Н2О в Луне (Hu et al., 2021) не влияют на сейсмические свойства пород, причем предполагается, что двухвалентное железо является преобладающей формой железа в мантии Луны, поскольку для восстановительных условий лунных недр фугитивность кислорода близка или ниже буфера железо-вюстит (Wieczorek et al., 2006; Rai, van Westrenen, 2014; Charlier et al., 2018). Это благоприятствует присутствию Fe2+ по сравнению с Fe3+, что является отличительной особенностью лунной мантии по сравнению с мантией Земли. Поскольку мантия Луны состоит в основном из оливина и ортопироксена, то Fe2+, входит в структуры этих минералов. На Луне отсутствуют гидротермальные процессы и тектоника плит, что на Земле приводит к окислению мантии за счет субдукции окисленной коры. Отсутствие этого процесса на Луне сохраняет восстановительные условия. Луна существенно обеднена летучими элементами, такими как калий, по сравнению с Землей и солнечным составом. Лунное отношение K/U составляет около 2000, что намного ниже, чем у Земли (K/U ~10000) и хондритов (K/U ~70000–80000) (McDonough, Sun, 1995). Обеднение калием, в том числе калием-40, уменьшает вклад радиогенного тепловыделения по сравнению с Землей. Можно предположить, что меньшее тепловыделение способствует более высокой доле двухвалентного железа по сравнению с трехвалентным железом в мантии Луны. Исследования валентного состояния железа различными инструментальными методами в образцах ударного стекла, доставленных китайским аппаратом Chang’E 5, не обнаруживают присутствие трехвалентного железа в лунных породах (Gu et al., 2023).
Физические свойства. Плотность и скорости упругих волн фазовой ассоциации, состоящей из минералов — твердых растворов, рассчитываются в предположении, что порода представляет равновесную смесь изотропных фаз; в качестве единичной изотропной фазы рассматривается составляющая минерала в виде его конечного члена. Скорости P- и S-волн равновесной фазовой ассоциации, зависящие от давления, температуры и химического состава VP,S(P, T, X), учитывающие ангармонические эффекты и не зависящие от частоты, определяются по формулам (Кусков, Кронрод, 2009; Жарков, 2003):
, (4)
где модуль сжатия (KS) и плотность (ρ) фазовой ассоциации находятся из уравнения состояния, поскольку данные о скоростях, полученные в сейсмологии, не позволяют найти раздельно распределение плотности, модуля сжатия и модуля сдвига G. По (4) можно найти лишь отношения этих величин. Для модуля сдвига принята линейная зависимость от температуры и давления. Упругие модули находятся по усреднению Фойгта-Реусса-Хилла (Voigt-Reuss-Hill averaging), принятому в теории композитов.
Известно, что оболочки Земли и Луны обладают диссипативными свойствами, которые характеризуются фактором Q — механической добротностью. Соотношения (4) предполагают, что материал ведет себя как идеально упругий. Высокая добротность лунных недр позволяет использовать соотношения (4) без учета поправок на эффекты неупругости, поскольку вклад последних на глубинах лунной мантии невелик (Nakamura, Koyama, 1982; Garcia et al., 2011). Однако при приближении температуры к солидусу породы необходимо вводить поправки, связанные с сейсмическим затуханием в поликристаллических породах мантии, и которые можно оценить через коэффициенты QS,P (Kuskov et al., 2014a; Кусков, Кронрод, 2009; Жарков, 2003). Соотношения давление — глубина можно выразить приближенной формулой: P = Pо{1-[(R-H)/R]2}, где Po ~ 5 ГПа — давление в центре Луны, R ~ 1738 км — радиус, H — глубина.
Погрешности расчетов. Ошибки расчетов складываются из погрешностей входных данных по термодинамическим свойствам и уравнениям состояния минералов, а также неопределенности в распределении температуры и сейсмических свойств с глубиной, что неизбежно приводит и к ошибкам в определении параметров равновесной фазовой ассоциации и ее физических свойств (Kuskov, 1997; Kuskov et al., 2002; Yamada et al., 2014; Connolly, Khan, 2016). Масса и момент инерции определены с высокой точностью (Williams et al., 2014). Изменение температуры на ±100 °C не превышает ±0.02 г/см3 для плотности, ±0.07 км/с для VP и ±0.04 км/с для VS, что сопоставимо с ошибками в определении сейсмических скоростей (Gagnepain-Beyneix et al., 2006). В качестве примера приведем пример расчета упругих свойств ортоэнстатита VP = 8.158 км/с, VP/VS = 1.73 при 5 ГПа / 1500 K, что хорошо согласуется с расчетами из первых принципов, VP = 8.16 км/с, VP/VS = 1.716 (Qian et al., 2018). Duffy and Anderson (1989) полагают, что теоретические погрешности меньше экспериментальных. Следует иметь в виду, что в расчетах различных авторов используются разные наблюдательные данные, модели и ограничения, а также разные базы данных и уравнения состояния. Поэтому, несмотря на тщательный анализ всех предположений, прямое сравнение результатов не всегда представляется возможным.
Инверсия. Решение обратной задачи сводится к восстановлению химического состава и физических свойств мантии Луны на основе совместной инверсии селенофизических, сейсмических и петролого-геохимических данных (табл. 2) с помощью байесовского формализма с применением алгоритма Монте-Карло по схеме марковских цепей (Markov chain Monte Carlo, MCMC). Метод MCMC, в котором каждый шаг расчета зависит только от предыдущего (цепь Маркова), представляет собой вычислительный метод, используемый для выборки вероятностных распределений и численного интегрирования, и является адекватным инструментом для исследования сложных многопараметрических систем, в том числе для исследования внутреннего строения мантии Земли, Марса и Луны на основе априорно задаваемых геодезических и сейсмических параметров (Mosegaard, Tarantola, 1995; Khan et al., 2007, 2008, 2014; Khan, Connolly, 2008; Afonso et al., 2013).
Здесь, для исследования внутреннего строения Луны методом MCMC в сочетании с методом минимизации свободной энергии Гиббса в расчет функции правдоподобия (5), которая является мерой соответствия модели совокупности данных, добавлены, помимо геофизического набора данных, геохимические параметры в виде априорных концентраций Al2O3 и FeO (табл. 2). В дифференцированных слоях мантии концентрации основных оксидов являются параметрами модели, по ним (на каждой итерации в цепочке) с помощью комплекса THERMOSEISM рассчитываются упругие параметры (модули сжатия и сдвига) и плотность, которые, в свою очередь, участвуют в расчетах времен пробега и в конечном итоге в расчете функции правдоподобия. Как следует из табл. 2, некоторые параметры были зафиксированы. Функции правдоподобия (LHF = L(m)) в данной постановке записывается в виде (Matsumoto et al., 2015; Kronrod et al., 2022):
, (5)
где dobs, dcal(m), σ, tn обозначают наблюденные данные, данные, рассчитанные по модели m, погрешность наблюденных данных и n-е время пробега сейсмических волн, соответственно. Валовые концентрации Al2O3 и FeO обозначены как (Albulk) и (Febulk). Латеральные изменения состава мантии не моделируются, поскольку не учитываются потенциально возможные латеральные вариации сейсмических скоростей (Lognonné, 2005; Gagnepain-Beyneix et al., 2006; Steinberger et al., 2015).
Функция правдоподобия показывает меру отклонения теоретических значений от наблюденных с учетом того, что ошибка между расчетными и экспериментально определенными величинами не превышает заданной погрешности. Решение задачи основано на использовании теории вероятности (байесовская статистика), которая определяет вероятность наступления события в условиях, когда из наблюдений известна лишь некоторая частичная информация о событиях (априорная вероятность). За многие итерации цепочка сходится к целевому распределению, а полученная вероятность события (апостериорная вероятность) пересчитывается более точно с учетом как ранее известной информации, так и полученных моделей. В итоге получается некоторая скорректированная модель, обладающая большей достоверностью, причем результат может сильно отличаться от интуитивно ожидаемого.
ВНУТРЕННЕЕ СТРОЕНИЕ СИЛИКАТНОЙ ПОРЦИИ ЛУНЫ ПО ДАННЫМ ГЕОФИЗИЧЕСКИХ И ГЕОХИМИЧЕСКИХ НАБЛЮДЕНИЙ
Внутреннее строение Луны определяется условиями ее формирования в ранней Солнечной системе, термическим режимом, составом ее оболочек и магматической историей. Ранняя эволюция Луны была обусловлена тремя основными эпизодами, которые, вероятно, перекрывались во времени: кристаллизация магматического океана, последующая гравитационная перестройка и сегрегация ядра. Задолго до наступления космической эры А. Вегенер (Вегенер, 1923) — один из основателей тектоники плит — в своей мало известной работе писал: «Луна образовалась благодаря падению друг на друга большого количества отдельных твердых тел...; вызванная падением теплота не могла переизлучаться в пространство и температура Луны поднялась выше точки плавления пород». А. Вегенером 100 лет назад в качественном виде был сделан вывод об активной дифференциации Луны. Сейчас известно, что это событие произошло вскоре после образования Луны около 4.5 млрд лет назад (Виноградов, 1975; Очерки сравнительной планетологии, 1981; Барсуков, 1985; Shearer et al., 2006).
Особую роль в геохимии и геофизике Луны занимает проблема ее внутреннего строения. Основные ограничения на структуру недр получены из данных по гравитационному полю, электромагнитному зондированию и сети лунных сейсмометров и уголковых отражателей (Williams et al., 2001, 2014; Barnes et al., 2012; Haviland et al., 2022). Обычно при построении модели внутреннего строения планетного тела опираются на гравитационные, топографические, геофизические, космохимические и геохимические данные. Для Луны дополнительно существует информация о составе поверхностных пород. Разногласия между различными моделями и их несогласованность во многом могут быть связаны с методологией обработки массива сейсмических данных, неопределенностью в выборе времен пробега, интерпретацией сейсмических разрывов или их отсутствием (Nakamura, 1983; Khan et al., 2007; Lognonné, Johnson, 2007), а также отсутствием мантийных образцов.
Противоречия между геохимическими и геофизическими моделями связаны с оценкой распространенности основных оксидов (рис. 1) ‒ закисного железа, кремнезема и тугоплавких элементов (Al, Ca), в том числе содержания оксида алюминия, которое коррелирует с распространенностью радиоактивных элементов, что становится критически важным для моделей термической эволюции, внутреннего строения и формирования Луны (Кусков и др., 2023). Основным источником информации о составе и физическом состоянии глубоких недр Луны, способным разрешить по крайней мере часть этих противоречий, являются сейсмические эксперименты экспедиций Аpollo. Однако следует обратить внимание, что мантийные концентрации FeO и Al2O3, выведенные из геохимических и сейсмических данных Аpollo, имеют широкий разброс 8–14% FeO и 3.6–7.7% Al2O3 (табл. 1). Лунная сейсмология началась с исторической посадки космического аппарата Аpollo-11 в районе Моря Спокойствия в июле 1969 г. и продолжалась вплоть до посадки Аpollo-17 в декабре 1972 года. Хотя все сейсмические станции располагались на ближней стороне Луны, существующие модели внутреннего строения распространяются на Луну в целом. Луна сейсмически менее активна, чем Земля, из-за отсутствия океанов и тектоники плит.
3.1. Сейсмические модели
Значительные усилия были затрачены на построение сейсмических моделей строения Луны, в том числе на интерпретацию сейсмических границ и зависимости скоростей от глубины с точки зрения минерального состава и термического состояния. Отличные обзоры на эту тему опубликованы в (Hood, 1986; Lognonné, 2005; Lognonné, Johnson, 2007; Wieczorek et al., 2006; Garcia et al., 2019), поэтому мы сосредоточимся здесь только на основных результатах и некоторых нерешенных проблемах этих исследований.
Характерные особенности структуры лунных недр. Сейсмические данные — своего рода “розеттский камень” информации о внутреннем строении Луны. Сейсмические станции, установленные астронавтами космических аппаратов Аpollo -12, 14, 15, 16, каждая из которых состояла из четырех сейсмометров, с 1969 по 1977 год зарегистрировали естественные (удары метеоритов, мелкофокусные (до 200 км) и глубокофокусные (800–1100 км) лунотрясения) и искусственные (падения частей космических аппаратов) события; наиболее частыми были глубокофокусные лунотрясения (~7400), распределенные в диапазоне глубин 700–1200 км (Basaltic Volcanism Study Project, 1981; Nakamura et al., 1974; Nakamura, 1983; Lognonné et al., 2003; Lognonné, Johnson, 2007). Сейсмические данные, а также низкая электропроводность, характерная для диэлектриков, и высокая добротность лунных недр (особенно в верхней мантии) (Nakamura, Koyama, 1982; Garcia et al., 2019), существование масконов и глубокофокусных лунотрясений допускают субсолидусное распределение температуры в мантии. По крайней мере до глубин 1100–1200 км недра Луны остаются твердыми. Лунная сеть зафиксировала более 13000 сейсмических событий, очаги глубинных лунотрясений образуют кластеры, расположенные в пределах видимого полушария Луны. Оценка и обсуждение этих данных продолжается до настоящего времени (Garcia et al., 2019; Yang, Wang, 2023; Tao et al., 2023).
Математическая обработка 8-летнего эксперимента, проводившегося в районе Океана Бурь, позволила впервые выявить характерные особенности строения Луны и предположить зональную структуру лунных недр (Toksoz, 1974; Nakamura, 1983), в том числе выделить сейсмический раздел на глубинах около 400 км (Goins et al., 1981). В работе (Nakamura, 1983) построена модель сферически симметричной Луны, которая подразделяется на кору толщиной 58 км, верхнюю мантию (58–270 км), среднюю (270–500 км) и нижнюю мантию (500–1000 км) с выделением низкоскоростной зоны в средней мантии, резкими границами и скачком физических свойств на глубинах 270 и 500 км. Однако подчеркивается, что границы на этих глубинах введены скорее для вычислительного удобства, а их реальное положение и резкость остаются под вопросом, что нашло отражение в альтернативной модели (Goins et al., 1981). Структурные различия связаны с ошибками в локации и временах пробега сейсмических волн, что приводит к различиям в скоростях и топологии сейсмических профилей. В последующих работах датских (Khan et al., 2000, 2007) и французских (Chenet et al., 2006; Lognonné et al., 2003; Gagnepain-Beyneix et al., 2006) геофизиков проведена большая работа по обработке сейсмических данных, что с учетом появления новых гравитационных и петрологических ограничений позволило внести существенные коррективы в модели строения Луны.
Модели французской группы сейсмологов. Впоследствии, на основе более совершенных методов математической обработки с использованием полностью рандомизированной процедуры выбора записей лунотрясений и интерпретации сейсмических событий предложены новые модели вероятностного распределения скоростей P-, S-волн, в большинстве которых сохраняется зональная структура мантии Луны (Lognonné, 2005; Lognonné et al., 2003; Gagnepain-Beyneix et al., 2006; Lognonné, Johnson, 2007). В верхней мантии на глубинах до 300 км скорости P- и S- волн (около 7.75 км/с и 4.5 км/с, соответственно) модели Lognonné et al. (2003) близки к значениям модели Nakamura (1983), но заметно отличаются от них в диапазоне глубин 300–500 км. На больших глубинах скорости P- и S- волн становятся модельно-зависимыми и могут изменяться как монотонно, так и испытывать разрывы. В работе (Lognonné et al. 2003) представлена новая сейсмическая модель Луны (рис. 3), основанная на временах пробега P- и S- волн от ~60 глубокофокусных и мелкофокусных лунотрясений, которая позволила оценить среднюю толщину коры (40 км) и валовой состав (53.5% SiO2, 6.4% Al2O3, 13.3% FeO) Луны с пироксенитовой мантией; для модельной интерпретации состава верхней и средней мантии были использованы результаты работ (Kuskov, 1995; Kuskov, Kronrod, 1998).
Рис. 3. Модели французской группы сейсмологов. Профили скоростей распространения продольных VP (а) и поперечных VS (б) волн в мантии Луны. Обозначения: L05 = Lognonné, 2005; GB06 = Gagnepain-Beyneix et al., 2006; G11 (VPREMOON) = Garcia et al., 2011. Профили датской группы Kh00 = Khan et al. (2000) приведены для сравнения. Все сейсмические модели имеют погрешности, которые приведены по Gagnepain-Beyneix et al. (2006) для VP и VS, соответственно: 38–238 км — 7.65 ± 0.06 и 4.44 ± 0.04 км/с, 238–488 км — 7.79 ± 0.12 и 4.37 ± 0.07 км/с, 488–738 км –7.62 ± 0.22 и 4.40 ± 0.11 км/с, 738–1000 км — 8.15 ± 0.23 и 4.50 ± 0.10 км/с
Представленная в работе Gagnepain-Beyneix et al. (2006) модель немного отличается от модели Lognonné et al. (2003) более тщательным исследованием пространства параметров и оценкой неопределенности. Важным выводом этой работы стало подтверждение более тонкой коры (около 30 км), что соответствовало результатам (Khan, Mosegaard, 2002; Lognonné et al., 2003; Chenet et al., 2006), но отличалось от более ранних оценок средней толщины коры (~ 60 км) по данным Apollo-12, 14, 16 (Nakamura, 1983). Авторы (Gagnepain-Beyneix et al., 2006) отмечают, что они использовали одинаковую чувствительность для минералогических составов и вычисляли сдвиг скоростей относительно референц-селенотерм по (Kuskov, 1995; Kuskov, Fabrichanaya, 1994). В верхней мантии на глубинах до 500 км скорости P- и S- волн модели Gagnepain-Beyneix et al. (2006) соответствуют более ранним определениям (Goins et al., 1981; Nakamura, 1983; Lognonné et al., 2003; Kuskov et al., 2002), в то время как на глубинах ниже 750 км возникают заметные различия (рис. 3). Авторы (Gagnepain-Beyneix et al., 2006) находят, что выведенные ими скорости в верхней мантии лучше всего согласуются с минералогией пироксенитовой мантии, предложенной в (Kuskov, 1997; Kuskov, Kronrod, 1998), и совместимы с источником области морских базальтов (Ringwood, Essene, 1970) на глубинах до 500 км. Скоростная модель, разработанная посредством объединения записей сейсмических событий и физики минералов (Gagnepain-Beyneix et al., 2006), указывает на наличие контрастной границы на глубине около 750 км.
Скоростные модели французской группы (Lognonné, 2005; Gagnepain-Beyneix et al., 2006), разработанные посредством объединения записей сейсмических событий и физики минералов, указывают на зональное строение мантии с разрывами на глубинах около 250 и 500 км, а также наличие контрастной границы на глубине около 750 км, которую можно интерпретировать как химический раздел между дифференцированной верхней и примитивной нижней мантией. Примечательная особенность скоростных разрезов — ступенчатый характер зависимостей скорость P-, S-волн — глубина (VP,S — Н) с постоянными средними скоростями в отдельных слоях (dVP,S/dH = 0), разделенных границами с положительным или отрицательным скачком скорости. Следует указать на определенную несогласованность моделей французской группы. Так, например, в обеих моделях ниже 750 км VP возрастает (рис. 3а), в то время как VS (рис. 3б) возрастает по (Gagnepain-Beyneix et al., 2006), но уменьшается по (Lognonné, 2005).
Модель VPREMOON. Основные черты топологии сейсмических профилей, свидетельствующие о зональном строении мантии, в том или ином виде присутствуют почти во всех современных моделях. Исключение составляет опубликованная группой французских ученых (Garcia et al., 2011) предварительная референц-модель Луны (Very Preliminary REference Moon model, VPREMOON), подробно рассмотренная в работе (Кусков и др., 2016). В этой модели, в отличие от всех других сейсмически зональных моделей мантии, скоростные разрезы интерпретируются монотонным профилем (рис. 3а,б). Модель VPREMOON удовлетворяет геодезическим (масса, полярный момент инерции, число Лява) и сейсмическим (времена пробега объемных волн по записям сети Аpollo) данным и включает некоторые физические ограничения, такие как упрощенные линейные соотношения для VP/VS и между скоростью и плотностью (уравнение Берча), а также уравнение Адамса–Вильямсона в предположении адиабатического сжатия гомогенного материала без фазовых переходов. Референц-модель VPREMOON была протестирована по отношению к термическому режиму и химическому составу и подвергнута критике (Kuskov et al., 2014a; Кусков и др., 2016), как недостаточно физически обоснованная. Впоследствии модель VPREMOON была пересмотрена (Garcia et al., 2019).
Модели датской группы сейсмологов. Большие вопросы вызвала модель датских геофизиков (Khan et al., 2000), в которой на основе байесовской вероятностной модели методом Монте-Карло по записям сети станций Аpollo получены распределения скоростей P-, S-волн с разрывом на глубине около 560 км, и, которые заметно отличаются от более ранних моделей (Goins et al., 1981; Nakamura, 1983). Этот подход наиболее точно описывает разрешающую способность данных, а также ошибки в расчетных параметрах, но диапазон допустимых скоростей на любой глубине довольно велик и, следовательно, не позволяет получить количественные ограничения на минералогию недр Луны. В этом смысле модели Nakamura (1982), Goins et al. (1981) и французской группы были более полезны (см. также Khan et al., 2006a, 2006b). Авторы (Khan et al., 2000) нашли, что толщина коры составляет 40–50 км — промежуточная величина между определениями (Lognonné et al., 2003; Nakamura, 1983), но получили завышенные значения скоростей P-волн и заниженные значения скоростей S-волн в верхней мантии (рис. 3) и резко завышенные скорости P-, S-волн в нижней мантии; на глубинах >560 км (Р ~3 ГПа) скорости волн (VР = 9.0±1.9, VS = 5.5±0.9 км/с) подобны тем, которые, согласно референц-моделям PREM (Dziewonski, Anderson, 1981) и IASP91 (Kennet, Engdahl, 1991), реализуются лишь в нижней мантии Земли (Р > 20 ГПа) с плотностью, значительно превышающей плотность лунных недр. Структура мантии, предложенная Khan et al. (2000), сильно отличалась от предыдущих и последующих определений — скорость P-волн непрерывно возрастает и достигает скорости 11 км/с в глубокой мантии с очень большой погрешностью. Такая трактовка скоростного строения лунных недр (Khan et al., 2000) была подвергнута серьезной критике (Kuskov et al., 2002), как не находящая петрологического объяснения, что привело впоследствии к заметному уточнению модели.
В последующих публикациях (Khan, Mosegaard, 2002; Khan et al., 2006a, 2006b, 2007) с применением алгоритма Монте-Карло по схеме марковских цепей и с учетом ограничений на массу и момент инерции Луны внесены весьма заметные коррективы в интервалы распределения скоростей по глубине (рис. 4); приблизительная оценка приводит к значениям VР ~ 7.75–8 км/с и VS ~ 4.35–4.6 км/с, близким к моделям французских сейсмологов (Lognonné, 2005; Gagnepain-Beyneix et al., 2006). Модельные профили скоростей P-, S-волн имеют монотонный характер c некоторым уменьшением скоростей S-волн в нижней мантии. Однако зональная структура мантии при этом остается неопределенной.
Рис. 4. Модели датской группы сейсмологов, модифицировано по (Khan et al., 2007). Профиль скоростей распространения продольных волн (VP) получен совместным обращением сейсмических и гравитационных данных. Левая панель — априорная вероятность; правая панель — апостериорная вероятность
Модели международной группы сейсмологов. Обновленные модели были недавно предложены командой исследователей в работе (Garcia et al., 2019), в которой рассмотрены три независимых метода параметризации и инверсии для определения внутренней структуры Луны на основе геодезических наблюдений и набора данных по временам пробега P-, S-волн по программе Apollo (Nunn et al., 2020). В результате представлены три модели G19_M1, G19_M2 и G19_M3 (Garcia et al., 2019), которые представлены на рис. 5 в сравнении с более ранними данными. Можно видеть, что модель G19_M2 ниже 200 км практически совпадает с моделью VPREMOON. Авторы (Garcia et al., 2019) отмечают, что есть некоторые указания на наличие в верхней мантии зоны пониженных скоростей (диапазон глубин 100–250 км), совместимой с температурным градиентом около 1.7 град/км, что может быть связано с присутствием термически аномальной области, известной как Procellarum Kreep Terrane (PKT), содержащей большое количество тепловыделяющих элементов. Это общепринятое объяснение подвергается сомнению (Zhang et al., 2023). Модель (Weber et al., 2011) основана на повторном анализе лунных сейсмограмм Apollo с акцентом на глубинные оболочки Луны и идентификацию ядра. Заметные отличия скоростей звука моделей Garcia et al. (2019) и Weber et al. (2011) проявляются на глубинах 500–1200 км.
Рис. 5. Модели международной группы сейсмологов (Garcia et al., 2019) для VP (а) и VS (б): G19_M1 (пунктирная синяя линия), G19_M2 (штрих-пунктирная зеленая линия), G19_M3 (штрих-пунктир-пунктирная оранжевая линия). Штрих-пунктирная черная линия — модель W11 (Weber et al., 2011). Остальные обозначения на рис. 3
Сопоставление моделей внутреннего строения Луны (рис. 3–5) показывает заметный разброс скоростей P-, S волн, что связано с различиями в обработке и наборе данных Apollo, используемых в инверсии. Лишь скоростная структура верхней мантии (Н ~ 50–500 км, Р ~ 0.3–2.5 ГПа) относительно непротиворечива. Напротив, структура средней и нижней мантии далеко не однозначна. В работах одной и той же группы французских сейсмологов (Lognonné, 2005; Gagnepain-Beyneix et al., 2006) существуют взаимные противоречия в отношении сейсмической структуры мантии, особенно на глубинах 500–1000 км. В (Lognonné, 2005) получены анти-коррелированные значения скоростей P-, S волн в нижней мантии: средние значения VP возрастают, а средние значения VS уменьшаются на глубинах 750–1000 км, в то время как в (Gagnepain-Beyneix et al., 2006) наблюдается возрастание VP и VS. То же самое относится и к профилям скоростей P-, S волн (Gagnepain-Beyneix et al., 2006) на глубинах 240–750 км. Такое анти-коррелированное поведение скоростей крайне трудно (а скорее невозможно) объяснить с петрологических позиций. В работах датских сейсмологов (Khan et al., 2007) реконструкция скоростной структуры мантии приводит к однородному составу верхней и нижней мантии и монотонному характеру поведения VP и VS без сейсмических границ и скоростных скачков. Эта модель заметно отличается по сейсмическим свойствам и топологии профилей от ранней интерпретации (Khan et al., 2000).
По данным ранних анализов методами сейсмологии и электромагнитного зондирования предполагается наличие низкоскоростных зон и резких границ в мантии на глубинах 400–500 км (Дайел и др., 1975; Khan et al., 2014; Goins et al., 1981; Nakamura, 1983). В принципе, уменьшение скоростей может быть обусловлено как температурным эффектом, так и изменением химического и минерального состава. Более поздние инверсии попеременно поддерживают (Khan et al., 2000; Khan, Mosegaard, 2002) или ставят под сомнение (Hood Jones, 1987; Longonné et al., 2003; Khan et al., 2007) существование границ. Последующие математические обработки данных Apollo предполагают наличие резких границ как на глубине 500 км, так и 750 км (Lognonné, 2005; Gagnepain-Beyneix et al., 2006) или, напротив, их отсутствие, как в модели VPREMOON (Garcia et al., 2011), впоследствии пересмотренной (Garcia et al., 2019).
Если имеющиеся данные сейсмической сети Apollo не исключают глобальные интерпретации и 500- и/или 750-км граница (Nakamura, 1983; Gagnepain-Beyneix et al., 2006) не является артефактом, то она представляет собой подошву плавления и дифференциации LMO с вероятным изменением химического состава между верхней и нижней мантией. Сводная информация о траекториях сейсмических лучей источник-приемник для двух различных сейсмических моделей Луны приведена в (Gagnepain-Beyneix et al., 2006). Несмотря на неточности в обработке данных Apollo, в том числе в оценках времен пробега, положении и резкости сейсмических границ, введенных для вычислительного удобства, сейсмические модели разных авторов показывают, что скоростная структура верхней мантии определена достаточно надежно (рис. 3): на глубинах до 300 км значения скоростей P-, S- волн составляют VP ~7.70 км/с и VS ~ 4.50 км/с, оценки скоростей на глубинах 300–500 км (в том числе наличие зоны низких скоростей) противоречивы, в диапазоне глубин 500–1000 км между моделями наблюдается значительная разница, а сейсмические скорости ниже ~1000 км определены недостаточно надежно (Lognonné, Johnson, 2007). В связи с этим, возникает ключевой для геофизики Луны вопрос. Какие модели химического состава и термические условия будут достаточно хорошо соответствовать столь разным сейсмическим моделям и, наоборот, какие сейсмические модели будут наиболее адекватно отражать минералогию мантии? В следующем разделе мы покажем, что обращение сейсмических данных в петрологические модели и температурные профили являются тем инструментом, который позволит частично ответить на эти вопросы.
3.2. Внутреннее строение коры и мантии
В коллекции лунных образцов отсутствует материал, характеризующий вещество первичной мантии. Методами дистанционного зондирования ни один образец лунной мантии пока не был однозначно идентифицирован. Нет первозданных образцов, кристаллизовавшихся непосредственно из LMO, и, доставленных магматическими расплавами на поверхность, и нет ксенолитов, выброшенных с расплавом из крупных ударных бассейнов. Образцы, доставленные космическими аппаратами Apollo, Луна и Chang’E, не отражают валовый состав Луны. Наше понимание вещественного состава мантии основано главным образом на петрологических анализах материалов лунной коры, лабораторных экспериментах при высоких давлениях и геофизических наблюдениях. По составу глубинных пород, вынесенных на поверхность в виде ксенолитов, можно, хотя и с оговорками, судить о примитивном веществе мантии Земли. Но для спутника Земли такие данные отсутствуют. Информация о составе и структуре лунной мантии может быть получена только из косвенных источников, таких как анализ базальтов и вулканических стекол, которые в сочетании с методами экспериментальной петрологии и сейсмологии позволяют сделать некоторые выводы о глубинах происхождения и составе мантийных источников. Эти исследования дают ценную информацию, но ряд фундаментальных вопросов, касающихся формирования, эволюции, химического и минерального состава мантии в результате затвердевания лунного магматического океана остается нерешенным (например, Gaffney et al., 2023).
Кора. Информация о коровом веществе Луны основана на результатах исследования лунных образцов, доставленных экспедициями Apollo, автоматическими межпланетными станциями Луна и Chang’E, метеоритов лунного происхождения, характеризующих состояние коры до глубины менее 1 км, и данных дистанционного зондирования. Физико-механические свойства лунного грунта рассмотрены в (Слюта, 2014). Строение и состав коры зависит от геологической истории и может быть чрезвычайно изменчивым как по вертикали, так и по горизонтали. Богатая плагиоклазом кора Луны имеет толщину в среднем около 40 км и считается вертикально зональной от анортозитовых составов наверху до норитовых или троктолитовых составов в основании (Wieczorek et al., 2006). Доставленные материалы лунных пород, содержащие образцы анортозитов, морских базальтов и KREEP-пород, не могут рассматриваться ни как среднее вещество коры, ни как первичное лунное вещество. По геологическим данным предполагается, что лунная кора сложена в основном материковыми породами, а доля морских базальтов невелика. В работе (Jolliff et al., 2000) содержится анализ информации, полученной спектральной аппаратурой зондов Clementine и Lunar Prospector, выделяется существование различных в геохимическом и петрологическом отношении провинций и отмечается, что понимание состава нижней коры остается критическим для моделей петрогенеза лунных пород. Это связано с тем, что ряд исследователей полагает, что только верхняя анортозитовая кора образовалась в результате кристаллизации магматического океана, тогда как нижняя кора могла формироваться позже за счет магматических процессов. Петрологические исследования показывают, что лунная кора изменчива как по латерали, так и по вертикали. Последние остатки магматической жидкости после кристаллизации были обогащены несовместимыми элементами, такими как калий, редкоземельные элементы и фосфор (называемые KREEP), а также минералами, богатыми FeO и TiO2 (Shearer et al., 2006; Jolliff et al., 2000; Taylor, Wieczorek, 2014).
По данным сейсмических (Apollo-12, 14, 16) и гравиметрических исследований средняя толщина коры составляла ~60 км (Nakamura, 1983; Hood, Jones, 1987; Neumann et al., 1996). В последующих сейсмических работах с учетом топографических и гравитационных данных сделана переоценка средней мощности коры в сторону понижения до 30–45 км (Lognonné, Johnson, 2007), причем наиболее вероятная оценка составила 30–40 км, а средняя плотность 2900 кг/м3 (Chenet et al., 2006). В обзоре (Wieczorek et al., 2006) приведена сводка результатов по оценке мощности коры; предпочтительная толщина коры 49±16 км. В связи с усовершенствованием методов анализа сейсмической информации Apollo и появлением новых данных GRAIL по гравитационному полю и топографии Луны появились более надежные оценки мощности и плотности коры (Khan et al., 2000; Lognonné et al., 2003; Wieczorek et al., 2013), согласно которым средняя толщина анортозитовой коры может варьироваться в пределах 34‒43 км. Граница кора — верхняя мантия отбивается как отраженными волнами от метеоритных ударов, так и волнами от глубокофокусных лунотрясений, меняющими свой тип на этой границе.
Уменьшение толщины коры в 1.5‒2 раза подразумевает и одновременное уменьшение валового содержания Al2O3, что дает дополнительную аргументацию сторонникам одинаковой распространенности тугоплавких оксидов в Луне и Земле (Longhi, 2006; Dauphas et al., 2014). Содержание оксида алюминия составляет 28‒32% для верхней коры, 25‒29% для нижней и 18‒25% для самого нижнего слоя мафической коры (Lucey et al., 1995; Taylor, Wieczorek, 2014), что близко к оценке 27% Al2O3 для всей коры (табл. 2). По результатам определения Al2O3 в лунных метеоритах (по метеоритной систематике, относящихся к ахондритам) материковая кора богаче оксидом алюминия (28–29%) и беднее несовместимыми элементами, чем считалось ранее, что подтверждает модель LMO и обогащение Луны труднолетучими элементами (Demidova et al., 2007). По данным миссии GRAIL кора состоит из слоя мегареголита толщиной около 1 км и собственно коры с плотностью 2550 кг/м3 (что значительно ниже, чем ранее предполагалось 2800–2900 кг/м3) пористостью 12% и толщиной 34–43 км (Wieczorek et al., 2013; Andrews-Hanna et al., 2023), что близко к оценке 34±5 км для области Procellarum KREEP Terrane (PKT) (Chenet et al., 2006). В мегареголите и коре средние величины сейсмических скоростей приняты по (Weber et al., 2011).
Модели магматического океана (LMO). Если формирование Луны происходило по механизму гигантского столкновения крупного тела с прото-землей (Asphaug, 2014; Canup et al., 2023), то на заключительной стадии аккреции внешний слой Луны был расплавлен из-за выделения большого количества тепла, что привело к уникальным геохимическим особенностям, таким как сухая природа Луны и обеднение летучими элементами, и послужило основой модели лунного магматического океана (LMO). Под последним обычно понимается внешняя оболочка толщиной не менее нескольких сотен километров, прошедшая через стадию частичного плавления с образованием плотного ядра и химически стратифицированной мантии, состоящей из железомагнезиальных силикатных и ильменитсодержащих кумулатов, и выделением полевошпатовой коры низкой плотности; комплементарность спектров редкоземельных элементов в морских и материковых породах считается надежным подтверждением модели магматического океана (Lucey et al., 1995; Longhi, 2006; Demidova et al., 2007; Xiao, Head, 2020; Gaffney et al., 2023). Понятие LMO относится ко всей или большей части ранней Луны, из которой по механизму фракционной кристаллизации выплавлялись анортозитовая кора, дифференцированная верхняя (или вся) мантия Луны и небольшое металлическое ядро. Парадигма LMO, вероятно, одно из наиболее значимых открытий по программе Apollo (Shearer et al., 2006; Gaffney et al., 2023), необходимых для понимания формирования и эволюции планет и спутников Солнечной системы.
На основе уран-свинцовой датировки лунных цирконов предполагается, что дифференциация LMO произошла 4.4–4.5 миллиарда лет назад, что указывает на образование Луны в течение первых ~60 миллионов лет после рождения Солнечной системы (Barboni et al., 2017; Maurice et al., 2020). Модели LMO зависят от сложного набора начальных условий, валового состава, глубины плавления, содержания летучих и режима кристаллизации. Вопрос о степени плавления и дифференциации остается одним из ключевых в отношении термальной и магматической эволюции Луны. Модели магматического океана получили достаточно широкое распространение не только для Луны, Ио и Меркурия, но и для тел меньшего (астероидного) размера, таких как Веста, родительских тел базальтовых ахондритов (Mittlefehldt, 1979; Righter, Drake, 1997; Moriarty et al., 2021a), степень частичного плавления которых могла колебаться в широких пределах и приводить (в зависимости от глубины проплавления родительских тел) к формированию разных классов ахондритовых метеоритов — эвкритов и ангритов.
Модели дифференциации Луны при кристаллизации магматического океана основаны на результатах геохимического анализа широкого спектра лунных образцов, петрологических экспериментов и физико-химических моделей процессов кристаллизации, а также данных дистанционного зондирования (Shearer et al., 2006; Gaffney et al., 2023). Эти модели можно подразделить на две группы химического строения Луны: изохимический и композиционно стратифицированный состав мантии. Физико-химические модели эволюции LMO по мере охлаждения и затвердевания, оставаясь серьезной проблемой, получены в основном из термодинамики фазовых соотношений и экспериментов по кристаллизации силикатных расплавов, предполагающих фракционную или равновесную кристаллизацию, или их некоторую комбинацию (Longhi, 2006; Snyder et al., 1992; Elkins-Tanton et al., 2011; Charlier et al., 2018; Prissel, Gross, 2020). Первое исследование дифференциации LMO, проведенное экспериментально при лунных Р-Т условиях на основе композиционных моделей TWM и LPUM, показало, что оливин — первый минерал, образующийся в магмах этих составов; гранат в обоих составах образуется при более высоких давлениях (Elardo et al., 2011).
Физико-химические модели эволюции магматического океана дают ценную информацию об общей последовательности кристаллизации и дифференциации LMO. Основное внимание уделяется моделированию минералогии кумулатов при кристаллизации LMO. Например, авторы работ (Elardo et al., 2011; Charlier et al., 2018; Elkins-Tanton et al., 2011), представляют модель кристаллизации LMO, основанную на эмпирических выражениях для фазовых равновесий, анализируют влияние давления на относительную стабильность оливина и ортопироксена в LMO разной мощности, но не вдаются в подробности кристаллохимии кумулатов, не рассматривают вхождение Ca и Al в ферро-магнезиальные силикаты и не оценивают количество, доступное для кристаллизации плагиоклаза, что может изменить температуру ликвидуса и поля стабильности, потенциально влияя на глубину и последовательность кристаллизации и толщину анортозитовой коры. Это может стать областью будущего совершенствования моделей кристаллизации LMO. Сравнительный анализ результатов экспериментов при высоких давлениях с результатами численного моделирования содержится в обзоре Gaffney et al. (2023).
Оценки толщины LMO, основанные на петрологических экспериментах, физико-химических моделях и геофизической информации, охватывают интервал глубин от верхних ~500 км до частичного (600–1000 км) или полного плавления спутника (Solomon, 1986; Binder, 1986; Kirk, Stevenson, 1989; Snyder et al., 1992; Neal, Taylor, 1992; Shearer et al., 2006; Elkins-Tanton et al., 2011; Longhi, 2006; Elardo et al., 2011; Charlier et al., 2018; Sakai et al., 2014; Schwinger, Breuer, 2022; Jing et al., 2022), но окончательный консенсус до сих пор не достигнут. Это один из основных нерешенных вопросов магматической эволюции Луны, ибо от ответа на него зависит состав мантии и существование нижней примитивной мантии.
Независимо от начальной глубины, кристаллизация LMO в течение сотен миллионов лет привела к дифференциации силикатной порции Луны с образованием легкой анортозитовой коры, под которой находился тонкий и более плотный слой ильменит-содержащих кумулатов, обогащенных железом и титаном, перекрывающих оливин-пироксеновую мантию (Ringwood, Kesson, 1976; Hess, Parmentier, 1995; Zhang et al., 2013; Shearer et al., 2006; Jolliff, 2021). Предполагается, что в определенных условиях в этих слоях возникает гравитационная неустойчивость, ускоряющая мантийную циркуляцию и приводящая к конвективному обще-мантийному овертону, с выносом менее плотных магнезиальных кумулатов в верхние горизонты и погружение более плотных Fe-Ti- материалов, обогащенных тепловыделяющими радиоактивными элементами, в более глубокие горизонты мантии (Snyder et al., 1992; Hess, Parmentier, 1995; Yu et al., 2019). Этот процесс известен как кумулятивный переворот мантии — гипотеза гравитационной реструктуризации и переворота мантии, в результате которой происходит перемещение легкого вещества к поверхности, а тяжелого к центру Луны с одновременным выделением железо-сульфидной компоненты, несмешивающейся с магматическим расплавом, в ядро.
Степень фракционирования LMO, зависящая от ряда параметров, остается неясной. В результате овертона мантия могла быть в разной степени перемешана с подразделением на ряд химически слоистых зон с сейсмическими (химическими) границами, которые прослеживаются в ряде геофизических моделей (Nakamura, 1983; Lognonné, 2005; Gagnepain-Beyneix et al., 2006). Если конвекция была развитой, то степень перемешивания мантии была достаточной, чтобы гомогенизировать мантийную стратиграфию. В этом случае мантия подразделяется на два слоя: верхняя дифференцированная мантия и нижняя недифференцированная мантия с потенциальным разрывом на глубине около 750 км. Детали этого процесса находятся в стадии обсуждения (Boukaré et al., 2018; Moriarty et al., 2021a; Elkins-Tanton et al., 2011; Maurice et al., 2020; Schwinger, Breuer, 2022; Gaffney et al., 2023).
Сейсмические границы. Принципиальный вопрос: существуют ли глобальные разрывы в мантии и как они соотносятся с лунным океаном магмы? В ранних исследованиях проводилось сравнение прогнозируемых скачков скоростей в модели Nakamura (1983) на глубине 500 км с фазовыми переходами и изменением химического состав (Hood, Jones 1987; Mueller et al., 1988; Kuskov, 1997). Граница с изменением состава представляла особый интерес, поскольку она могла отражать начальную композиционную зональность Луны, подошву раннего океана магмы или полученную в результате последовательность кристаллизации, а также максимальную глубину плавления области морских базальтов (Wieczorek et al., 2006; Andrews-Hanna et al., 2023; Gaffney et al., 2023).
Обработка экспериментов Apollo (Nakamura, 1983; Lognonné, 2005; Gagnepain-Beyneix et al., 2006) допускает структурные границы на глубинах ~250, 500 и 750 км (рис. 3). Шпинель-гранатовый переход в интервале глубин 200–300 км, не в состоянии объяснить природу границы на глубине около 500 км (Kuskov, 1995, 1997). Фазовые переходы на глубинах ниже 500 км не обнаружены. Это свидетельствует о том, что, если геофизическая 500-км граница существует, то ее геохимическая природа может быть обусловлена только изменением химического состава (Kuskov, Kronrod, 1998a). В некоторых моделях обнаружено существенное увеличение скорости вблизи границы на глубине ~500 км (Nakamura 1983; Khan et al., 2000; Khan, Mosegaard, 2002), на которой скорости упругих волн испытывают скачок, равный примерно ~10%, и, который не может быть объяснен шпинель-гранатовым или каким-либо другим известным фазовым переходом. Требуется изменение состава, например, более глиноземистый состав на глубине ниже 500 км (Hood, 1986; Hood, Jones, 1987; Mueller et al., 1988; Kuskov, Kronrod, 1998a, 1998b; Khan et al., 2007). Напомним, что в Земле на сейсмических границах 400 и 650 км соответствующие скачки составляют 2.5–5% для Р-волн и 3.5–7.5% для S-волн (Dziewonski, Anderson, 1981).
В ряде моделей предполагается, что сейсмический разрыв на глубинах порядка 500 км может соответствовать глубинам излияния морских базальтов (Ringwood, Essene, 1970; Shearer et al., 2006; Barr, Grove, 2013) и представлять максимальную глубину проплавления, отделяющую фракционированную верхнюю мантию от примитивной нижней мантии (Mueller et al., 1988). Глубины проплавления менее 400 км не находят геохимического подтверждения, поскольку при C(Al2O3)bulk ~ 4–6% не в состоянии обеспечить ~27% Al2O3 в коре (Elkins-Tanton et al., 2011). Некоторые исследователи (Longhi, 1992; Wieczorek, Phillips, 2000) полагают, что 500 км граница (Nakamura, 1983) может иметь лишь локальный характер, связанный с источником морских базальтов в специфической области под Океаном Бурь (Procellarum KREEP Terrane). Другие — существование глобального разрыва на глубине 500 км либо поддерживают (Khan et al., 2000; Khan, Mosegaard, 2002), либо ставят под сомнение (Hood Jones, 1987; Lognonné et al., 2003; Khan et al., 2007).
С другой стороны, предполагается, что океан магмы толщиной более 700–800 км привел бы к образованию слишком толстой коры (Elkins-Tanton et al., 2011). В работе (Solomon, 1986) на основе анализа термоупругих напряжений показано отсутствие признаков крупномасштабного расширения или сжатия Луны за последние 4 млрд лет, что не согласуется с концепцией обширного плавления. В работах по кристаллизации силикатных расплавов (Charlier et al., 2018) и изменению объемных эффектов при дифференциации Луны (Kirk, Stevenson, 1989) глубина магматического океана оценивается в 600 км. Другие авторы, исследуя схему термохимической эволюции конвектирующего магматического океана, увеличивают глубину проплавления до 800 км (Hess, Parmentier, 1995) и 1000 км (Elkins-Tanton et al., 2011; Maurice et al., 2020). С другой стороны, эксперименты по металл-силикатному распределению сидерофильных элементов, моделирующие формирование ядра, предполагают обеднение мантии Ni и Co, что требует достижения экстремальных температур (>2600 K) и приводит к модели полностью расплавленной Луны в результате гигантского удара (Steenstra et al., 2020). Однако, если Луна была полностью расплавлена, то в результате затвердевания получилась бы более толстая кора вплоть до 70 км (Shearer et al., 2006; Charlier et al., 2018), нежели предполагаемая по данным GRAIL. Хотя модели глобального LMO не исключены (Elardo et al., 2011; Schwinger, Breuer, 2022; Gaffney et al., 2023), имеющиеся данные по тектонической активности Луны противоречат полному плавлению Луны (Solomon, 1986; Kirk, Stevenson, 1989; Watters et al., 2012) и предполагают наличие недифференцированной нижней мантии (Кусков и др., 2023).
Интерпретация сейсмической информации Apollo допускает наличие контрастной границы на глубине около 750 км (Weber et al., 2011; Lognonné, 2005; Gagnepain-Beyneix et al., 2006) с резким изменением скоростей упругих волн (рис. 3), что согласуется с петролого-геохимической информацией (Elkins-Tanton et al., 2011; Charlier et al., 2018), в соответствии с которой толщина LMO составляет 700‒800 км, а на больших глубинах находится недифференцированная (примитивная) мантия, представляющая химический раздел с переходом от кумулатов к первичной мантии, не затронутой процессами частичного плавления. В этом случае положительный скачок скоростей Р-, S-волн на глубине ~750 км (Gagnepain-Beyneix и др., 2006) может быть обусловлен изменением состава от обедненного Al до состава, обогащенного Al, что выражается в повышенном содержании граната (Кусков, Кронрод, 2009; Kuskov et al., 2014a). Если изменение в составе было связано с солидификацией LMO, то глубина 750 км маркирует подошву LMO в виде химической неоднородности, указывающей на разный химический состав ниже- и вышележащих горизонтов мантии и переход от оливин-пироксенитовых кумулатов к подстилающей примитивной гранат-содержащей мантии (Hood, Jones, 1987; Mueller et al., 1988; Kuskov, 1997; Neal, 2001; Wieczorek et al., 2006; Barr, Grove, 2013). То есть, состав нижней мантии, идентичный составу магматического океана, должен отражать валовый состав силикатной Луны (Кусков и др., 2023). Такая стратификация в целом согласуется с исследованиями термодинамики стабильных минеральных фаз и результатами совместной инверсии сейсмических и гравитационных данных (Kuskov, Kronrod, 1998a, 1998b; Lognonné et al., 2003; Kronrod, Kuskov, 2011; Khan et al., 2007). Нижняя мантия состоит в основном из оливина, двух Al-содержащих пироксенов и граната (Kuskov, 1997; Neal, 2001; Khan et al., 2013; Kuskov et al., 2014a).
Дифференциация до 750 км подразумевает, что алюминий, находящийся в коре, был экстрагирован из равномерно перемешанных верхних оболочек. В контексте парадигмы LMO структура кумулата, минералогия и физические свойства мантии во многом определяются химическим составом силикатной порции Луны, глубиной магматического океана и тепловым режимом. Концепция LMO является дополнительным петрологическим ограничением на состав мантии в виде балансовых соотношений (1), а геохимическая природа геофизической границы на глубинах около 750 км может рассматриваться как раздел, отделяющий первичное вещество нижней мантией от дифференцированных внешних оболочек (Kuskov et al., 2019a, 2019b; Кусков и др., 2023). Марсианская мантия, вероятно, также прошла через раннюю стадию магматического океана, кристаллизация, фракционирование и овертон которого привели к образованию отличного по составу слоя в нижней мантии (Samuel et al., 2021).
Вода в мантии Луны. Миры с океанами существуют не только на Земле. Н2О в форме жидкой фазы и льда повсеместно распространена в Солнечной системе, в том числе в ее внешней части — кометах и объектах пояса Койпера. Дистанционные исследования крупных спутников в системах Юпитера и Сатурна космическими зондами Galileo и Cassini на основе гравитационных и магнитных измерений предполагают существование жидкой воды — океанов под ледяной корой Европы, Ганимеда, Каллисто, Титан и Энцелада (например, Кусков и др., 2009). Геофизические исследования обнаружили существование аномальных зон (волноводов) в земной коре, предположительно связанных с присутствием флюидов (Artemieva, 2009; Павленкова, 1996; Лебедев и др., 2014). Следует упомянуть, что вода (водород) может играть значительную роль в составе фаз высокого давления, например, в вадслеите и рингвудите, образующимися из оливина в переходной зоне мантии Земли, а также в нижне-мантийных минералах типа бриджманита (Пущаровский, Пущаровский, 2010; Каминский, 2018).
Определение содержания воды и водорода в лунной мантии — еще одна загадка, которую ученые активно пытаются решить. Хотя традиционные представления предполагали, что недра Луны сухие, недавние открытия указывают на наличие следовых количеств воды и водорода, но точные количества и формы остаются спорными. В течение долгого времени Луна традиционно предполагалась абсолютно сухим телом, поскольку в образцах лунного вещества не были обнаружены минералы, содержащие воду (Н2О и/или ОН). После возвращения и первых анализов образцов содержание H2O внутри Луны оценивалось на уровне <1 ppb (Taylor, 1987). Считалось поэтому, что Луна претерпела двойное истощение летучих элементов и унаследовала свою сухую, обедненную летучими элементами, природу от ударного тела, а также вследствие высокоэнергичного воздействия и испарения (Taylor et al., 2006), что соответствовало идеям гипотезы мегаимпакта. Однако с помощью современных методов анализа Н2О/ОН и другие летучие компоненты были обнаружены в лунных образцах, в том числе в образцах зеленых и оранжевых стекол (Saal et al., 2008; Robinson, Taylor, 2014; Hauri et al., 2015). Это открытие послужило поводом для определенных сомнений в отношении популярной гипотезы формирования Луны в результате мегаимпакта, предполагающей высокие температуры и практически полную потерю летучих веществ (Nakajima, Stevenson, 2018). Возможное объяснение связано с тем, что вода была доставлена вскоре после этого события астероидами или кометами до того, как Луна полностью затвердела.
Помимо воды, находящейся в виде льда на поверхности и в тонком слое реголита, Н2О и/или ОН может присутствовать и в более глубоких горизонтах Луны в структурно-связанной форме в составе некоторых водосодержащих минералов и в форме примесей и расплавных включений в номинально безводных фазах (Базилевский и др., 2012; Иванов, 2014; Albarede et al., 2014). Один из сценариев по вхождению воды в состав мантийных пород Луны был рассмотрен более 25 лет назад (Kuskov et al., 1996), что находилось в явном противоречии с каноническими представлениями о сухом лунном веществе, крайне обедненным летучими компонентами по сравнению с Землей. Было изучено влияние структурно-связанной воды в составе некоторых минералов (серпентин, тальк), находящихся в равновесии с безводными фазами (оливин + ортопироксен + клинопироксен + гранат), на сейсмические свойства верхней мантии Луны. В этой работе было показано, что при столь высоком содержании воды аномалии сейсмических свойств в мантии Луны на глубинах 300–500 км (Nakamura, 1983) могут быть следствием сосуществования ультраосновных пород с водосодержащими фазами, заметно понижающими значения скоростей упругих волн. Это предположение (Kuskov et al., 1996) оказалось слишком революционным, поскольку результаты анализа образцов лунного вещества и петрологическое моделирование свидетельствуют, что в лунной мантии может содержаться гораздо меньше воды — 10–100 мкг/г Н2О (Robinson, Taylor, 2014) или даже < 1 мкг/г Н2О (Albarede et al., 2014). В одной из недавних работ (Hu et al., 2021) проведены исследования лунных образцов, доставленных миссией Chang’e-5; анализ показал, что максимальное содержание мантийной воды составляет 1–5 мкг/г (0.0001–0.001 мас. %), что возвращает назад к сухой Луне. Содержание воды в минералах ахондритовых метеоритов как из внутренней, так и из внешней части Солнечной системы составляет ≤ 2 мкг/г H2O (Newcombe et al., 2023). Столь исключительно малые содержания Н2О пренебрежимо мало влияют на распределение сейсмических свойств пород и температуры по глубине (Grimm, 2013; Karato, 2013; Khan et al., 2014). Данные электромагнитного зондирования не прояснили ситуацию в отношении повышенного содержания воды в мантии (Grimm, 2023). Высокие скорости (Lognonné, 2005; Gagnepain-Beyneix et al., 2006) и механическая добротность (QP,S ~1500–9000) в верхней мантии (Garcia et al., 2011) согласуются с довольно холодным и сухим состоянием лунных недр вплоть до ~1000 км.
Переходный слой. Информация о строении глубокой мантии имеет косвенный характер из-за недостатка сейсмических источников, что, вероятно, объясняется наличием области высокого затухания или зоны частичного плавления толщиной 150–250 км, расположенной на глубинах около 1250 км (Weber et al., 2011; Раевский и др., 2015; Khan et al., 2014; Kronrod et al., 2022) непосредственно над небольшим частично (или полностью) расплавленным внешним ядром радиусом 300–400 км (Weber et al., 2011; Garcia et al., 2011), внутри которого не исключается твердое внутреннее ядро с радиусом 0–280 км (Weber et al., 2011; Williams et al., 2014; Matsumoto et al., 2015; Matsuyama et al., 2016; Kronrod et al., 2022). Исследования по лазерной локации Луны показали, что диссипативные потери, связанные с вращением Луны, могут быть вызваны взаимодействием на топографической границе между твердой мантией и жидким ядром. Об этом косвенно свидетельствуют селенофизические и электромагнитные данные, затухание сейсмических волн в основании нижней мантии (Nakamura, 2005; Khan et al., 2014; Williams et al., 2001; Williams et al., 2014), а также повторный анализ сейсмических данных (Weber et al., 2011). Наличие слоя повышенной диссипации в подошве мантии согласуется с частотной зависимостью фактора добротности (Williams et al., 2014; Matsumoto et al., 2015; Harada et al., 2014), хотя возможны модели Луны и без этого слоя (Garcia et al., 2011; Matsuyama et al., 2016; Karato et. al., 2013). Интерпретация данных лазерной локации и гравитационного поля Луны (Williams et al., 2001, 2014) позволяет предполагать наличие переходной зоны пониженной скорости / вязкости (LVZ) с температурами, близкими или выше солидуса. Рассчитанные селенотермы (Khan et al., 2014; Karato et al., 2013) пересекают линию солидуса, указывая на возможность подплавления мантии на глубинах ниже 1100 км, что дает потенциальное объяснение приливной диссипации в глубоких недрах. Свидетельства частичного плавления основаны на инверсии сейсмических данных, анализе характеристик сейсмических сигналов на дальней стороне Луны (отсутствие обнаруживаемых S-волн), приливного отклика Луны (Matsumoto et al., 2015; Walterová et al., 2023; Harada et al., 2014; Weber et al., 2011; Garcia et al., 2019), а также экспериментов с ильменит-рутиловыми агрегатами и расплавами Ti-содержащих черных стекол (van Kan Parker et al., 2012; Pommier et al., 2024). Нельзя исключать альтернативные точки зрения и возможные модели переходного слоя пониженной вязкости, не требующие плавления (Garcia et al., 2011; Nimmo et al., 2012; Matsuyama et al., 2016; Karato et. al., 2013). В работе (Walterová et al., 2023) предложена реологическая модель мантии, согласно которой упругое скольжение по границам зерен позволяет объяснить особенности приливной деформации Луны; одновременно авторы тестируют традиционную модель с частичным плавлением и показывают, что обе модели нельзя отличить друг от друга по имеющимся селенодезическим измерениям. Дополнительное понимание природы переходного слоя можно получить путем уточнения числа Лява и коэффициентов добротности, а также методами сейсмологии на обратной стороне Луны. Существование ослабленного или, возможно, полу-расплавленного слоя предполагается также в мантии Меркурия и Марса. Анализ сейсмических данных, проведенный научной группой миссии InSight после падения метеорита, предполагает новую модель строения недр Марса с неоднородной мантией, состоящей из частично расплавленного слоя, покрывающего поверхность ядра (Samuel et al., 2021).
ХИМИЧЕСКИЙ СОСТАВ И ТЕРМИЧЕСКИЙ РЕЖИМ МАНТИИ ЛУНЫ ПО СЕЙСМИЧЕСКИМ МОДЕЛЯМ
Минеральный состав и физические свойства пород Луны полностью характеризуются профилем концентраций всех тех петрогенных элементов, которые образуют самостоятельные фазы, и, кроме того, зависят от распределения температуры и давления в недрах планетного тела. Момент инерции Луны, близкий к моменту инерции однородной сферы, свидетельствует о почти равномерном распределении плотности и исключает обогащение недр железом и существование плотных эклогитовых пород. Содержание FeO в силикатной фракции Луны варьирует в широких пределах (табл. 1). В отношении обогащения Луны тугоплавкими элементами мнения разделились. Авторы работ (Warren, 2005; Longhi, 2006), исходя из геохимических соображений, исключили обогащение Ca и Al, напротив, Taylor (1987) на основе других геохимических соображений пришел к выводу об обогащении Луны Ca и Al. Дон Андерсон (Anderson, 1975, 1977) предположил, что обогащение Ca и Al лунных недр согласуется с сейсмическими данными и измерением теплового потока.
Первые результаты по интерпретации профилей сейсмических скоростей (Goins et al., 1981; Nakamura, 1983 и там же ссылки на более ранние работы), основанные на подборе ограниченного числа минеральных ассоциаций, имеющихся в то время геофизических ограничениях и упрощенных термодинамических соотношениях, были получены в работах (Buck, Toksoz, 1980; Hood, Jones, 1987; Mueller et al., 1988), авторы которых нашли, что сходство лунного состава с земной мантией возможно, но маловероятно, поскольку Луна имеет слишком низкое значение магнезиального числа и слишком высокое содержание оксида алюминия по сравнению с пиролитовой мантией. Эти прогностические предположения не были поддержаны (Warren, 2005; Longhi, 2006) и нашли лишь частичную поддержку в геохимических моделях (Wanke, Dreibus, 1986; Jones, Delano, 1989; O’Neill, 1991), согласно которым лунное содержание FeO ~ 12–13% превышает земное в 1.5 раза, в то время как концентрации 3.7–4.6% Al2O3 соответствуют земным значениям. В работах по изучению лунного и метеоритного материала возобладало более консервативное суждение о сходстве земного и лунного вещества (Warren, 2005; Longhi, 2006). Тэйлор и Якеш (Taylor, Jakes, 1977) на основе геохимических аргументов предположили, что верхние 300 км и Луна в целом обогащены оксидом алюминия, а на глубинах 300–1000 км сильно обедненный Al и Ca оливин и ортопироксен являются основными составляющими мантии. Напротив, Hood, Jones (1987) предположили, что высокое содержания тугоплавких оксидов необходимо для соответствия сейсмическим скоростям по модели Накамуры (1983). Последующие затем геофизические инверсии, основанные на сейсмических данных Apollo и теоретической интерпретации дистанционных исследований Луны с помощью космических аппаратов с привлечением математических методов, привели к существенному уточнению моделей внутренней структуры лунных недр. Неоднозначность решения этой проблемы обусловлена тем фактом, что количество известных параметров (сейсмические данные и другие параметры из табл. 2) меньше числа неизвестных (распределения температуры и концентраций оксидов по глубине), причем разделение эффектов влияния состава и температуры на физические свойства пород представляет трудную для решения задачу.
4.1. Химический и минеральный состав мантии
В центре Луны температура и давление не превышают 2000°С и 5 ГПа (50 кбар). Основными минералами мантии являются: оливин, ортопироксен, клинопироксен, ильменит и гранат; в мантии Земли эти минералы при повышении давления претерпевают ряд фазовых превращений, переходя последовательно в более плотные высокобарные модификации. Модели химического и минерального состава в различных зонах мантии Луны впервые были построены в работах, в которых описаны метод и процедура решения (Kuskov, 1995, 1997; Кронрод, Кусков, 1997; Kuskov, Kronrod, 1998a, 1998b) в рамках упрощенной системы CaO-FeO-MgO-Al2O3-SiO2 на основе совместной инверсии сейсмических данных с учетом момента инерции и массы Луны. В основе расчетов лежали профили скоростей P-, S-волн, принятые по наиболее полной в то время сейсмической модели (Nakamura, 1983), в которой был суммирован весь накопленный материал по данным сейсмических станций Apollo-12, 14, 15, 16 с учетом данных от источников более глубоких лунотрясений, и предложена наиболее детальная картина сейсмического строения Луны, согласно которой мантия подразделялась на три зоны — верхнюю / среднюю / нижнюю мантию с разрывами на глубинах 270 и 500 км. Поскольку в модели значения VР и VS внутри каждого слоя постоянны, то в расчетах плотность и концентрации породообразующих оксидов в каждой зоне мантии также принимались постоянными по глубине в сочетании с естественным требованием отсутствия инверсии плотности по глубине dr/dH ≥ 0 (условие Радо).
Результаты решения обратной задачи представлены в табл. 3 и 4, в которых приведены химический состав зональной мантии и силикатных оболочек Луны. Совокупности сейсмических и гравитационных данных наилучшим образом отвечают две модели внутреннего строения — модели I и II, для которых рассчитан фазовый состав минеральных ассоциаций и химический состав сосуществующих фаз (Kuskov, Kronrod, 1998a, 1998b). Поскольку решение замкнуто на условия сохранения массы и момента инерции, химический состав и физические свойства моделей зависят от скачка плотности на границе кора-мантия, которое принято следующим (табл. 3): модель-I – ρcr-m = 3.24 г/см3; модель-II – ρcr-m = 3.32 г/см3.
Таблица 3. Химический состав (мас. %), фазовый состав (мол. %) и физические свойства мантии Луны по моделям I и II в рамках системы CaO-FeO-MgO-Al2O3-SiO2 (Kuskov, Kronrod, 1998a; Кусков и др., 2009)
Мантия Луны: состав, свойства | Модель I: ρm (60 км) = 3.24 г/см3 | Модель II: ρm (60 км) = 3.32 г/см3 | ||||||
верхняя | средняя 400 км | нижняя 800 км | верхняя | средняя 400 км | нижняя 800 км | |||
60 км | 270 км | 60 км | 270 км | |||||
MgO | 31.0 | 31.0 | 25.4 | 34.4 | 32.9 | 34.3 | 25.9 | 34.4 |
FeO | 7.9 | 8.4 | 15.1 | 10.1 | 11.4 | 11.8 | 16.6 | 9.6 |
Al2O3 | 2.5 | 2.5 | 4.2 | 6.4 | 2.0 | 2.0 | 2.6 | 6.7 |
CaO | 2.2 | 2.2 | 3.3 | 5.1 | 1.6 | 1.6 | 2.1 | 5.3 |
SiO2 | 56.4 | 55.9 | 52.0 | 44.0 | 52.1 | 50.3 | 52.8 | 44.0 |
Mg# | 84.0 | 840 | 73.5 | 860 | 870 | 870 | 750 | 86 |
Шпинель | 00 | 00 | 0 | 00 | 1.7 | 00 | 00 | 0 |
Анортит | 2.0 | 00 | 0 | 00 | 00 | 00 | 00 | 0 |
Кварц | 0.3 | 0.5 | 0 | 00 | 00 | 0 | 00 | 0 |
Ортопироксен | 93.7 | 95.8 | 91.9 | 00 | 78.7 | 72.1 | 96.4 | 0 |
Клинопироксен | 4.0 | 3.7 | 3.5 | 34.5 | 5.9 | 3.7 | 3.6 | 35.2 |
Оливин | 00 | 00 | 3.8 | 56.5 | 14.0 | 24.2 | 0.0 | 55.8 |
Гранат | 00 | 00 | 0.8 | 9.0 | 00 | 0 | 00 | 9.0 |
T, °C | 4350 | 8540 | 9930 | 1175 | 4660 | 7720 | 9220 | 1254 |
ρ, г/см3 | 3.239 | 3.260 | 3.367 | 3.389 | 3.319 | 3.319 | 3.375 | 3.376 |
VP, км/с | 7.67 | 7.67 | 7.57 | 8.22 | 7.75 | 7.77 | 7.53 | 8.20 |
VS, км /с | 4.49 | 4.46 | 4.30 | 4.55 | 4.51 | 4.46 | 4.29 | 4.53 |
R (FeS-ядро), км R (Fe-ядро), км | 590 390 | 470 310 | ||||||
Таблица 4. Химический состав силикатных оболочек Луны (мас. %) по моделям I и II (Kuskov, Kronrod, 1998a; Кусков и др., 2009)
Состав | Кора (Taylor, 1982) | Кора + верхняя мантия | Кора + средняя + верхняя+ мантия | Валовый состав силикатной Луны (кора + вся мантия) | |||
I | II | I | II | I | II | ||
MgO | 7.0 | 25.5 | 27.7 | 25.5 | 27.0 | 28.5 | 29.6 |
FeO | 6.5 | 7.7 | 10.4 | 10.6 | 12.8 | 10.4 | 11.7 |
Al2O3 | 25.0 | 7.7 | 7.2 | 6.3 | 5.4 | 6.3 | 5.9 |
CaO | 16.0 | 5.5 | 4.9 | 4.6 | 3.8 | 4.8 | 4.3 |
SiO2 | 45.5 | 53.6 | 49.8 | 53.0 | 51.0 | 50.0 | 48.5 |
Результаты расчетов по сейсмическим и гравитационным данным позволили впервые получить модельно-независимые в геохимическом отношении ограничения (которые впоследствии уточнялись) на состав трехслойной мантии Луны (табл. 3, 4). Кроме того, был сделан вывод о существовании небольшого ядра с радиусом ~300 км для Fe-ядра и ~500 км для троилитового FeS-ядра.
Определенные из геофизических данных лунные концентрации FeO, SiO2, CaO и Al2O3 превышают таковые для мантии Земли, в то время как концентрация MgO — заметно более низкая (табл. 3, 4). Лунные массовые отношения (Mg/Si)мас = 0.73–0.78 существенно меньше, принятых для примитивного вещества мантии Земли (1.1) и хондритов (McDonough, Sun, 1995). Отношения (Al/Si) и (Ca/Si)мас, равные 0.14 для Луны, больше таковых для пиролитовой мантии Земли (0.11–0.12) (McDonough, Sun, 1995) и хондритов (0.06–0.09) (Дьяконова и др., 1979; Jarosewich, 1990; McDonough, Sun, 1995). Для силикатной оболочки Луны (Mg/Al)мас = 5.1–5.7 значительно меньше, чем для Земли и хондритов (10–12), а отношение (Ca/Al)~1.0 близко к пиролитовым значениям. Величина Mg# 80–81 для силикатной оболочки Луны сильно отличается от Mg# 89 для пиролитовой мантии Земли (McDonough, Sun, 1995), имеющей гораздо большую магнезиальность, нежели Луна.
С учетом ограничений на содержания основных оксидов, в том числе CaO и Al2O3, приведенные в табл. 3 данные, можно сгруппировать в две петрологические модели (табл. 5), потенциально возможные для описания минералогии мантии Луны на различных глубинах: модели Ca–Al-обедненного оливинового пироксенита (Ol-Px) в верхней мантии и Ca-Al-обогащенного оливин-клинопироксен-гранатового состава (Ol-Cpx-Gar) в нижней мантии (Кусков и др., 2015). Структурная особенность модели Nakamura (1983) состоит в том, что скорости P-, S-волн в средней мантии ниже, нежели в верхней и нижней мантии — зона пониженных скоростей в интервале 270–500 км. Для ее объяснения требуются повышенные содержания закисного железа (15–16% FeO) с неясной петрологической интерпретацией (табл. 3). Впоследствии существование такой зоны было поставлено под сомнение (Kuskov et al., 2019a, 2019b). Кроме того, в табл. 5 приведен модельный состав однородной мантии (Khan et al., 2007) и пиролитовая модель (Ringwood, 1977). Содержания Al2O3 варьируют в диапазоне от 2–3% для Ol-Px и модели гомогенной мантии до 4.5–6.5% для Ol-Cpx-Gar и пиролитовой моделей.
Таблица 5. Состав и физические свойства петрологических моделей мантии Луны
Химический состав (мас. %) | Ol-Px | Пиролит | Ol-Cpx-Gar | Однородный состав |
MgO | 32.0 | 37.58 | 34.1 | 37.0 |
FeO | 11.6 | 8.48 | 10.05 | 12.8 |
Al2O3 | 2.25 | 4.50 | 6.4 | 2.6 |
CaO | 1.8 | 3.64 | 5.1 | 2.5 |
SiO2 | 52.0 | 45.25 | 44.0 | 45.1 |
Na2O | 0.05 | 0.34 | 0.05 | 0.0 |
TiO2 | 0.3 | 0.21 | 0.3 | 0.0 |
MG# | 83.0 | 88.8 | 85.8 | 83 |
Фазовый состав (мол. %), физические свойства — 2 ГПа (~ 400 км / 850°C) | ||||
Оливин | 14 (Fo85) | 53.9 (Fo91) | 53.6 (Fo90) | 54 (Fo85) |
Ортопироксен | 77.7 (En78) | 6.1 (En86) | 0.0 | 26.5 (En79) |
Клинопироксен | 7.0 (Fs9) | 35.6 (Fs6) | 37.7 (Fs7) | 17.0 (Fs9) |
Гранат | 0.9 | 4.0 | 8.1 | 2.5 |
Ильменит | 0.4 | 0.4 | 0.6 | 0 |
ρ, г/см3 | 3.337 | 3.340 | 3.400 | 3.370 |
VP, км/с | 7.780 | 8.120 | 8.170 | 7.980 |
VS, км/с | 4.444 | 4.560 | 4.565 | 4.470 |
KS, ГПа | 114.0 | 127.2 | 132.6 | 124.6 |
G, ГПа | 65.9 | 69.4 | 70.85 | 67.4 |
Примечания. Химические составы фаз в мантии при различных Р-Т условиях для разных валовых составов приведены в (Кусков и др., 2009; Кусков и др., 2015). Для примера приведем состав граната для моделей при 2ГПа/850 °C: Ol-Px — Gros6Py66Alm28; пиролит — Gros5Py77Alm18; Ol-Cpx-Gar — Gros11Py68Alm21; однородный состав — Gros8Py65Alm27.
Ca–Al-обедненный состав верхней мантии (оливиновый пироксенит, Ol-Px). До глубин порядка 500 км мантия (модель I + модель II) состоит в основном из оливин-содержащего пироксенита. Ортопироксен — доминирующая фаза верхней и средней мантии. Концентрации Al2O3 и CaO в верхних оболочках ниже, чем в нижней мантии. Петрологически это оправдано, поскольку эти оксиды вошли в состав анортозитовой коры, выплавляемой в основном из верхних оболочек. Однако из-за противоречивости топологии сейсмического профиля, связанной с зоной пониженных скоростей в интервале 270–500 км (Nakamura, 1983), подразделение Луны на верхнюю и среднюю мантию пока является умозрительным. Но в целом мы придерживаемся мнения, что внешняя оболочка мантии до глубин порядка 500 км имеет оливин-пироксенитовый (70–80% Opx) состав и содержит Al-содержащие фазы (Кусков и др., 2009). Впоследствии наша интерпретация (Kuskov, Kronrod, 1998a; Kuskov, 1997) была поддержана в работах французских (Lognonné et al., 2003; Gagnepain-Beyneix et al., 2006) и датских (Khan et al., 2006a, 2006b) геофизиков. Khan et al. (2007) нашел, что верхняя мантия содержит около 75% Opx. Примеры фазовой диаграммы приведены в (Kuskov, 1997).
Ca, Al-обогащенный состав нижней мантии (оливин — клинопироксен –гранат, Ol-Cpx-Gar). Породы нижней мантии Луны (500–1000 км) отличаются как от состава пород вышележащих оболочек, так и от мантийных пород Земли. Минеральный состав, приведенный в табл. 3 (мол. %) — 56% Ol (Fo90) + 35.5% Cpx (Di45) + 8.5% Gar (Py68), обогащен тугоплавкими оксидами (5–6 мас. % CaO и Al2O3) и не похож на ультраосновные породы Земли. Khan et al. (2007) нашел, что нижняя мантия имеет оливин-гранатовый состав и содержит около 60% оливина.
Пиролитовая модель. Рингвуд (Ringwood, 1977, 1979) предположил, что валовый состав Луны близок к составу пиролита за исключением того, что Луна обеднена летучими элементами и обогащена закисным железом. В табл. 5 приведен состав пиролита, модифицированный в классических работах (McDonough, 1990; McDonough, Sun, 1995) и соответствующий составу примитивной мантии Земли. Пиролитовая модель по содержанию СaO и Al2O3 является промежуточной по отношению к Ol-Px и Ol-Cpx-Gar моделям, но обеднена FeO (Кусков, Кронрод, 2009). Важно выяснить соответствуют ли физические характеристики земного пиролита сейсмическим лунным профилям и распределению температуры.
Однородный состав. Модельный состав мантии Луны (Khan et al., 2007) выведен совместной инверсией гравитационных и сейсмических данных в упрощенной системе CFMAS в предположении химической гомогенности верхней и нижней мантии без сейсмических границ и скоростных скачков.
4.2. Термическое состояние мантии
По тепловой истории Луны опубликовано множество работ (Юри, Макдональд, 1973; Любимова, 1968; Левин, Маева, 1975; Токсоц, Джонстон, 1975; Schubert et al., 1986; Орнатская и др., 1975; Konrad, Spohn, 1997; Hagermann, Tanaka, 2006; Zhang et al., 2013; Laneuville et al., 2013; Andrews-Hanna et al., 2023). Источники тепла включают энергию, накопленную в период аккреции, последующих ударов, гравитационной дифференциации, радиоактивного распада, приливного воздействия, энергии химических превращений. В лунных недрах распределение температур в основном определяется внутренним радиогенным теплом за счет распада долгоживущих радиоактивных изотопов, поскольку аккреционное тепло теряется с течением времени, а другие источники тепла, в том числе приливное нагревание, вносят незначительный вклад (Токсоц, Джонстон, 1975; Walterová et al., 2023). Поскольку свидетельств полно-мантийной конвекции нет, основным механизмом переноса тепла является теплопроводность. Интерпретация данных по тепловому потоку представляет большую проблему, которая заключается в неопределенности термических экспериментов Apollo, разделении коровой и мантийной составляющих теплового потока и в оценке вклада, обусловленного теплогенерацией долгоживущих радиоактивных элементов коры в общий тепловой поток.
Лунная кора крайне асимметрична в распределении тепловыделяющих элементов. Большая часть этих элементов сосредоточена в области Океана Бурь, которая включает в себя посадочные площадки Apollo-15 и Apollo-17. Это затрудняет оценки теплового потока на основе ограниченных измерений на поверхности и разделение вкладов мантии и коры в глобальный тепловой поток. По данным орбитальных исследований тепловой поток на поверхности Луны из-за различий в распределении радиоактивных элементов, таких как U, Th и K, изменяется в широких пределах от ~10 мВт/м2 в полярных регионах до ~60 мВт/м2 на небольших участках внутри области PKT (Procellarum Kreep Terrane); дополнительные латеральные вариации могут быть внесены мантийными термическими аномалиями, обусловленными асимметричным распределением радионуклидов (Paige et al., 2010; Zhang et al., 2014; Laneuville et al., 2013; Siegler et al., 2020; Zhang, Liu, 2024).
Эксперименты по измерению теплового потока в местах посадок Apollo-15 и -17 проводились с помощью зондов, внедренных в лунный реголит на небольшой глубине (до 2.4 метра). Измерения, ограниченные видимым полушарием (районы Hadley Rille (Море Дождей) и Taurus Littrow (Море Ясности)), дали лишь предварительные значения современного теплового потока 21 ± 3 и 16 ± 2 мВ/м2, соответственно (Langseth et al., 1976; Barnes et al., 2012; Haviland et al., 2022), которые в 3–4 раза меньше среднего теплового потока через поверхность Земли. Проведенные измерения и данные по распространенности тория (Keihm, Langseth, 1977) позволили оценить температуру в верхней мантии с погрешностью ±250°С. Впоследствии отмечалось, что экспериментальные измерения, пострадавшие от ряда возможных помех и размещенные вдоль границ PKT, обогащенного тепловыделяющими элементами (например, Jolliff et al., 2000), могут оказаться нерепрезентативным и по этой причине не отражают глобальный тепловой поток (Warren, Rasmussen, 1987; Wieczorek et al., 2006; Haviland et al., 2022), что необходимо для определения современного температурного градиента. Асимметричное распределение KREEP-содержащих пород приводит к асимметричному распределению теплового потока, что еще больше усложняет тепловые модели (Laneuville et al., 2013). Латеральное изменение мантийного теплового потока в местах посадок Apollo-15 и –17 подтверждается исследованием с использованием трехмерной модели теплопроводности и данных по распространенности тория; оцененные на этой основе значения мантийного теплового потока составили 9–13 мВт/м2 (Siegler, Smrekar, 2014). В ходе эксперимента Diviner Lunar Radiometer Experiment на борту Lunar Reconnaissance Orbiter с учетом предположений о составе и толщине коры был оценен мантийный тепловой поток около 3 мВт/м2 внутри безымянного ударного кратера для чрезвычайно холодного региона (“Region 5”), близкого к южному полюсу Луны (Paige, Siegler, 2016). В ходе другого эксперимента по данным микроволнового радиометра Chang’E-2 и орбитальным наблюдениям оценены тепловые потоки в постоянно затененных кратерах Haworth и Shoemaker южного полюса Луны, равные в среднем 4.9 ± 0.2 мВт/м2 (Wei et al., 2023).
Сейсмические данные дают возможность восстановить распределение температуры по глубине (см. ниже), сделать оценки мантийного теплового потока с учетом предположений о составе мантии и сравнить их с экспериментом Apollo. Конверсия скоростей P-, S-волн сейсмических моделей (Nakamura, 1983; Lognonné, 2005; Gagnepain-Beyneix et al., 2006), имеющих достаточно хорошее разрешение в верхней мантии, в температурные эффекты позволяет оценить температурный градиент ~1.17 К/км (см. уравнение 8) на глубинах 50–500 км (Kuskov et al., 2014a), что с учетом коэффициента теплопроводности мантийных пород 3.3–4 Вт/м⋅К (Gagnepain-Beyneix et al., 2006) приводит к величинам теплового потока в верхней мантии 3.8–4.7 мВт/м2 (Kuskov et al., 2014a; Кусков и др., 2015), которые в 2–3 раза ниже ранее найденных на глубине 300 км на основе локальных измерений теплового потока Apollo-15, 17 и содержании Th (Keihm, Langseth, 1977).
Эксперименты Apollo-15, 17 по измерению теплового потока на Луне и орбитальные исследования показали, что большие латеральные изменения теплового потока обусловлены не только вариациями поверхностного распределения радионуклидов, но зависят как от состава и толщины лунной коры и мантийной распространенности долгоживущих радиоактивных изотопов, так и от геологического региона. Измерение физико-химических и теплофизических свойств лунного грунта и теплового потока вблизи южного полюса Луны в ходе научных экспериментов миссий Artemis и Луна-27 может стать важным расширением существующего набора данных.
Термические модели, основанные на измерении поверхностного теплового потока, распространенности радиоактивных элементов, решении стационарной тепловой задачи, инверсии сейсмических и электромагнитных данных, показывают заметные расхождения в оценках температуры лунных недр (Keihm, Langseth, 1977; Hood, Jones, 1987; Warren, Rasmussen, 1987; Khan et al., 2006а, 2006б, 2014; Кронрод и др., 2014; Kuskov et al., 2014a; Karato, 2013; Laneuville et al., 2013; Kawamura et al., 2017; Garcia et al., 2019; Schwinger, Breuer, 2022; Кусков и др., 2023; Grimm, 2023; Andrews-Hanna et al., 2023), что связано с неопределенностью термических свойств (теплогенерации, теплопроводности пород) и вклада коровой составляющей в полный тепловой поток. Оценки распределения температуры, основанные на измерениях электропроводности, также носят косвенный характер, поскольку опираются на лабораторные эксперименты электропроводности образцов, моделирующих лунный состав (Hood, 1986; Hood, Jones, 1987; Grimm, 2013, 2023). В ряде работ было высказано предположение о горячем состоянии лунных недр с температурами около 1500–1600 К, предполагающими существование частично расплавленного переходного слоя на границе мантия-ядро и жидкое состояние внешнего ядра (Laneuville et al., 2013; Weber et al., 2011; Garcia et al., 2011; Harada et al., 2014; Khan et al., 2014). Однако столь высокие температуры вступают в противоречие с наличием глубокофокусных лунотрясений, предполагающих на основе теории прочности состояние хрупкого разрушения в нижней мантии (Kawamura et al., 2017) с температурами около 1300–1400 К.
Распределение температуры по сейсмическим моделям. Синтез и согласование геофизических и петролого-геохимических моделей методами термодинамического моделирования позволяет связать тепловой режим и химическую природу мантии с ее физическими характеристиками и выявить вариации состава с глубиной. Поскольку прямые методы определения температуры в недрах Луны отсутствуют, то сейсмические модели представляют наиболее перспективный (хотя и косвенный) путь для оценки термального режима и/или химического состава Луны. Проблема заключается в разделении эффектов влияния состава и температуры на сейсмические свойства. Вероятно, первые оценки температуры в мантии были осуществлены в (Кронрод, Кусков, 1997; Kuskov, Kronrod, 1998a) на основе сейсмической модели (Nakamura, 1983). Впоследствии (Кусков, Кронрод, 2009; Kuskov et al., 2014a), проверка на соответствие термических, сейсмических и петрологических моделей осуществлялась обращением профилей скоростей P-, S-волн — глубина (VP,S — Н) в зависимости температура — глубина (ТP,S — Н).
Теоретические скорости P-, S-волн, зависящие от Р-Т условий и химического состава и учитывающие эффекты ангармонизма, фазовых превращений и неупругости, связаны соотношением (Karato, 1993):
, (6)
где первый член в правой части (6) определяется при фиксированном составе (Х) в результате термодинамического расчета по уравнениям состояния в системе NaTiCFMAS, а второй — характеризует неупругое поглощение сейсмических волн и связан с затуханием в поликристаллических породах мантии (Karato, 1993; Cammarano et al., 2003; Кусков, Кронрод, 2009). Распределение температуры по глубине находилось посредством минимизации отклонений теоретических значений Vanel(P, T, Х, ω) с поправкой на ангармонизм и неупругость от экспериментальных V °P,S. Значения фактора добротности QP,S (Garcia et al., 2011) показывают, что эти поправки пренебрежимо малы в верхней мантии, но становятся более существенными в нижней мантии, когда температура приближается к солидусу. При выбранных ограничениях на валовый состав системы в каждой j-точке минимизируется функционал (Кусков, Кронрод, 2009)
, (7)
где ω — частота, j = 1, 2 … n — число точек по глубине. Минимизация функционала производится итерационным методом Ньютона. Выведенные термические модели (семейство селенотерм) позволяют оценить достоверность предложенных сейсмических и петрологических моделей мантии Луны. Очевидно, что различия в скоростных разрезах разных авторов (связанные с методами и трудностью анализа лунных сейсмограмм) должны отражаться на интерпретации термохимической структуры мантии Луны в терминах распределения температуры.
Оценки температур по референц-модели VPREMOON. Как отмечалось выше, в работе (Garcia и др., 2011) предложена предварительная референц-модель Луны, VPREMOON. В этой модели, в отличие от всех других сейсмически зональных моделей мантии (Goins и др., 1981; Nakamura, 1983; Gagnepain-Beyneix и др., 2006; Khan и др., 2000; Lognonné и др., 2003; Lognonné, 2005; Weber и др., 2011), скоростные разрезы интерпретируются монотонным ростом скоростей (рис. 3). Результаты конверсии скоростей Р-, S-волн модели VPREMOON в соотношения температура — глубина для петрологических моделей, обедненных и обогащенных Ca, Al, Fe — оливинового пироксенита (Ol-Px) и пиролита (табл. 5), представлены на рис. 6а, б, ряд особенностей которого представляет особый интерес. Первая — слишком высокие температуры (800–1300 °C) непосредственно под корой не согласуются с высокой добротностью мантии. Вторая — сильное расхождение между TP и TS (до 200 °C), что вызывает вопросы относительно согласования модельных скоростей P- и S-волн. Третья — все TP,S систематически сдвинуты в сторону высоких температур на мелких глубинах и в сторону низких на бóльших глубинах. Это обусловлено тем, что положительный градиент скоростей Р-, S-волн в модели VPREMOON (dVP,S/dH > 0) приводит к отрицательному градиенту температуры в мантии. Такой обратный тренд температуры не имеет физической основы, что подчеркивают важность связи термодинамики и физики минералов с сейсмологией (Кусков и др., 2016; Kuskov et al., 2014a).
Рис. 6. Профили ТР, ТS в мантии Луны, полученные обращением скоростей P-, S-волн референц-модели VPREMOON для оливинового пироксенита и пиролита (табл. 5); пилообразный характер кривых ТР,S обусловлен темпом изменения значений VP,S — H в модели (Garcia et al., 2011). Изменение градиента температуры на глубинах 200–300 км связано с фазовым переходом шпинель — гранат (Ol + Sp + Opx + Cpx ↔ Ol + Gar + Opx + Cpx). (а) Ca, Al-обедненный оливиновый пироксенит, (б) Ca, Al-обогащенный пиролит. Модифицировано по Кусков и др. (2016)
Оценки температур по сейсмическим моделям с постоянной скоростью в пределах слоя. На рис. 7 приведены сейсмически допустимые интервалы температур для моделей оливинового пироксенита и пиролита (табл. 5) с разным содержанием оксидов Ca, Al, Fe, что позволяет получить дополнительные ограничения на совместимость сейсмических, термальных и петрологических моделей мантии Луны. Профили ТР, ТS построены на основе сейсмических моделей (Lognonné, 2005; Gagnepain-Beyneix et al., 2006), в которых VP и VS имеют нулевой градиент (см. рис. 3), хотя фактически реальный градиент не известен, ибо профиль может проходить любым путем в пределах допустимой ошибки; погрешности в скоростях VS и VP составляют 1–1.5% на глубинах до 500 км и ~2.5% на глубинах 500–1000 км (Gagnepain-Beyneix et al., 2006). Такие погрешности не позволяют восстановить температуру в мантии Луны точнее, чем ± 100–150 °C.
Рис. 7. Распределение профилей TP,S в верхней и нижней мантии Луны, полученное обращением скоростей Р-, S-волн по моделям с постоянной скоростью в пределах слоя L05 (Lognonné, 2005) и GB06 (Gagnepain-Beyneix et al., 2006) для составов из табл. 5. (а) — оливиновый пироксенит (Ol-Px), обедненный Ca и Al и пиролит (Pyr), обогащенный Ca и Al; (б) — оливиновый пироксенит Ol-Px (заштрихованная область) по модели GB06, пунктирные линии — погрешности температур; (в) — пиролит (заштрихованная область) с учетом погрешности (синие пунктирные линии) в сравнении с температурами для состава Ol-Px (красная линия). Серая зона — диапазон температур по (Khan et al., 2007). Штрих-пунктирная линия — солидус для перидотитового состава по (Hirschmann, 2000). Модифицировано по (Кусков и др., 2016; Kuskov et al., 2014a)
В верхней мантии селенотермы, рассчитанные из моделей (Lognonné, 2005; Gagnepain-Beyneix et al., 2006) для Ol-Px состава, обедненного тугоплавкими оксидами (~2 мас. % CaO и Al2O3) и обогащенного FeO (~12%) по отношению к пиролиту, на глубинах 50–250 км разумно (например, ТР(150 км) = 600 ± 100°С), а на глубинах 250–500 км, хорошо согласуются между собой в отношении профиля ТР (рис. 7а), а также со спектром термальных моделей (рис. 7б), найденным совместным обращением гравитационных и сейсмических данных для однородной модели мантии из табл. 5 (Khan et al., 2007).
Аналогичным образом сделаны оценки температур в работах (Lognonné et al., 2003, Gagnepain-Beyneix et al., 2006), в которых задавался спектр модельных составов и из условий оптимизации невязки расчетных и наблюденных значений сейсмических скоростей определялось поле вероятных температур. Согласно (Lognonné et al., 2003), температура достигает 675°С на глубинах 238–458 км; в работе (Gagnepain-Beyneix et al.., 2006) с учетом различных концентраций тория в коре (Th = 1050 и 4080 ppb) на глубинах 400 км сообщаются температуры 810–825°С для варианта 1050 ppb Th, как более реалистичного. Эти определения соответствуют расчетам, приведенным на рис. 7а,б.
Модель (Gagnepain-Beyneix et al., 2006) характеризуется скачками в значениях скоростей на глубине около 240 км — положительным для VP и отрицательным для VS (рис. 3), что отражается на профилях температуры (рис. 7а,б). Анти-коррелированное поведение VP,S можно объяснить тем, что профили построены по средним значениям на интервале глубин. С другой стороны, на глубинах 200–300 км имеет место фазовый переход шпинель — гранат (Ol + Sp + Opx + Cpx ↔ Ol + Gar + Opx + Cpx) с положительными скачками физических свойств, величина которых зависит от содержания Al2O3 в петрологической модели (Kuskov et al., 2014a, 2015). Этот фазовый переход проявляется при конверсии скоростей P-, S-волн в профили ТР, ТS (рис. 6) и, вероятно, должен находить отражение (но не всегда находит) в сейсмических моделях любого уровня. Остается неясным, отражен ли он в модели (Gagnepain-Beyneix et al., 2006), поскольку скачки на профилях VP и VS имеют анти-коррелированное поведение на глубинах 240–250 км (рис. 3а, б).
Из рис. 7а следует, что селенотермы для пиролитового состава, обогащенного Ca и Al (табл. 5), уже на подкоровых глубинах находятся вблизи или выше температуры солидуса. Столь высокие температуры входят в противоречие с добротностью (QP,S ~4000–7000) жесткой, не конвектирующей верхней мантии Луны (Garcia et al., 2011), равно как и с термическими моделями (Laneuville et al., 2013; Zhang et al., 2013). Верхняя мантия является твердой и не содержит рассеянных включений расплава. Этого же требует факт существования масконов — мощность, вязкость и жесткость подстилающих слоев должны быть достаточными для того, чтобы удержать соответствующую нагрузку в виде масконов. Таким образом, расчеты (рис. 7а) исключают Ca-, Al-обогащенный (пиролитовый) состав верхней мантии Луны.
В нижней мантии для моделей, обогащенных Ca и Al (4.5–6.4 мас. % Al2O3), TS (равно, как и TP) практически совпадают для пиролитового (рис. 7в) и Ol-Cpx-Gar (не показано на рисунке) составов. На глубине 1000 км температура оценивается в интервале 900–1300°С, что хорошо согласуются с результатами инверсии (Khan et al., 2007). Напротив, модели типа Ol-Px, обедненные Ca и Al, и, предполагающие разумные оценки теплового режима верхней мантии (рис. 7а,б), приводят к заниженным температурам в нижней мантии (рис. 7в). Эти оценки показывают, что композиционные модели с низким содержанием Al2O3 (~2–3 мас. %, табл. 5), а значит и низким содержанием граната не пригодны для нижней мантии. Вопрос о распространенности Al2O3 в верхней и нижней мантии обсуждается ниже.
Cопоставление температур, восстановленных по скоростям P-, S-волн для моделей с разным содержанием Ca и Al (табл. 5), показывают, что наиболее вероятным составом верхней мантии является оливин-содержащий пироксенит (рис. 7а,б), обедненный тугоплавкими оксидами (~2–2.5% CaO и Al2O3). Модели пиролита земного типа, обогащенные Ca и Al (~3.6–4.5% CaO и Al2O3), не могут рассматриваться в качестве петрологической основы верхней мантии Луны, поскольку приводят к нереалистичным температурам — вблизи или выше солидуса (рис. 7а). Напротив, наиболее вероятная порода нижней мантии может быть представлена классом моделей, обогащенных Ca, Al, типа пиролита или оливин — клинопироксен — гранатового состава с более высоким содержанием FeO ~ 10–12% (табл. 5, рис. 7в).
Обсуждение показывает, что гипотеза гомогенного состава лунной мантии приводит к отрицательному температурному градиенту, что не имеет физического объяснения и наглядно иллюстрируется поведением температур (ТР, ТS) для петрологических моделей, обедненных и обогащенных Fe, Al и Ca (рис. 6, 7). Чтобы иметь петрологическую основу и получить монотонное изменение температуры с глубиной, необходимо либо отказаться от идеи фиксированного состава мантии и рассматривать непрерывное изменение состава с глубиной, либо предполагать стратификацию мантии по химическому составу с изменением состава от деплетированного вещества верхней мантии (обедненного базальтоидными компонентами) до фертилизированного вещества примитивной нижней мантии (Kuskov et al., 2014a, 2015). Это предположение было бы справедливым при условии достоверности опубликованных сейсмических моделей. Однако, как отмечалось в разделе 3.1, лишь скоростная структура верхней мантии определена достаточно надежно, в то время как на глубинах ниже 500 км наблюдается значительный разброс сейсмических скоростей (Lognonné, Johnson, 2007; Andrews-Hanna et al., 2023; Haviland et al., 2022).
Тем не менее важно отметить, что влияние состава становится определяющим при конверсии скоростей P-S-волн в температурные профили мантии Луны, поскольку селенотермы, восстановленные из одной и той же сейсмической модели для оливинового пироксенита и пиролита, различаются на сотни градусов в пределах верхней и нижней мантии (рис. 6а, б, 7а, в). Такие температурные вариации означают сильную чувствительность сейсмических моделей мантии Луны к изменению состава, хотя чувствительность скоростей P-S-волн к изменению состава литосферной мантии Земли гораздо слабее, чем к вариациям температуры (Kuskov et al., 2006, 2014b). Так, например, химически различные составы гранатового перидотита, гарцбургита, лерцолита и пиролита приводят к близким скоростным характеристикам фазовой ассоциации, а рассчитанные для этих составов геотермы слабо различаются между собой (Kuskov et al., 2011, 2014b). Это означает, что выявление тонких минералогических различий в составе пород литосферной мантии Земли только сейсмическими методами не представляется возможным (Kuskov et al., 2006; Afonso et al., 2008; Jones et al., 2009).
Сейсмические модели (Lognonné, 2005; Gagnepain-Beyneix et al., 2006) с близкими скоростями в верхней мантии (рис. 3) позволяют оценить температуры для оливин-пироксенитового состава (рис. 7а), которые могут быть описаны выражением на глубинах Н = 50–500 км (Kuskov et al., 2014a; Кусков и др., 2015):
. (8)
Следует отметить, что найденные скорости (Lognonné, 2005; Gagnepain-Beyneix et al., 2006) представляют собой не столько модели с постоянными скоростями, сколько модели со средними постоянными скоростями внутри слоев. Поскольку разрешение моделей недостаточно для исследования градиента скорости или температуры, приходится принимать постоянные скорости в однородном слое, которые приводят к постоянному градиенту температуры, близкому к максимальному значению. Градиент температуры в уравнении (8) в два-три раза меньше найденного в (Keihm, Langseth, 1977), но на порядок выше адиабатического, принятого ad hoc (Garcia et al., 2011). Если сравнить термальное состояние Луны и Земли, то оказывается, что Луна более холоднее тело, в котором Т ~ 700–750°С на глубине 300 км (рис. 7а,б), что существенно ниже, нежели Т = 1450 ± 100°С в холодной литосфере Сибирского кратона на той же глубине (Kuskov et al., 2011, 2014b). Karato (2013) на основе данных по электропроводности, рассмотрев различные комбинации температуры и содержания воды в мантии Луны, также пришел к заключению, что Луна холоднее Земли (на одних и тех де глубинах), но нашел, что содержание воды в лунной мантии аналогично таковому в астеносфере Земли, что, по-видимому, не согласуется с выводом о сухом состоянии лунных недр в области молодых морских базальтов по данным Chang’E-5 (Hu et al., 2021). Селенотермы (рис. 7) выведены из моделей, в которых средние скорости, оставаясь постоянными в пределах ограниченного числа слоев (dVP,S/dH = 0), контролируют температурный градиент в каждом слое. В связи с недостаточным разрешением сейсмических данных, средние скорости не означают, что модель обладает строго постоянными скоростями. По этой причине, приведенные здесь оценки, представляют средние селенотермы в каждом слое, а не реальное распределение температур.
Распределение температур в мантии Луны по геофизическим данным. Сейсмические, термические и электромагнитные данные (Khan et al., 2006a, 2006b; Laneuville et al., 2013; Keihm, Langseth, 1977; Karato, 2013; Kawamura et al., 2017; Garcia et al., 2019; Grimm, 2013, 2023) позволяют оценить диапазон температур в мантии Луны. На рис. 8 приведено распределение температур в интервале потенциально возможных селенотерм T1–T5, от низких температур, соответствующих холодным селенотермам T1/T2, до высоких температур, соответствующих горячим селенотермам T4/T5, со сдвигом 100‒200 °C, позволяющим оценить влияние вариаций температуры на химический состав и физические свойства мантии Луны. Средние температурные градиенты изменяются от ~0.41 °C/км для профиля T1 до ~0.88 °C/км для профиля T5, что соответствует изменениям температуры на глубине 1000 км от 950°С до 1350°С с дальнейшим небольшим возрастанием к подошве мантии до 1400–1500°С (Hood, Jones, 1987; Khan et al., 2006a, 2006b; Кусков, Кронрод, 2009). На границе ядро-мантия температура оценивается в диапазоне 1200–1600°С (Garcia et al., 2019). Такие вариации температуры соответствуют существованию глубокофокусных лунотрясений (Kawamura et al., 2017; Schwinger, Breuer, 2022). Все температурные профили намного ниже солидуса пироксенитовой или перидотитовой мантии (Ringwood, Essene, 1970; Hirschmann, 2000). Следует отметить, что сейсмические модели, приведенные на рис. 3–5, не позволяют оценить положительные и отрицательные вариации скоростей сейсмических волн по отношению к их средним значениям на одной и той же глубине, то есть скоростные неоднородности мантии по латерали. По этой причине одномерные модели, приведенные на рис. 8, относятся только к радиальным изменениям температуры и, следовательно, не учитывают возможные латеральные вариации температуры на ближней и дальней сторонах Луны. Таким образом, несмотря на обилие геофизических данных и существенный прогресс при инвертировании этих наборов данных, остается значительная неопределенность в термическом строении мантии и распределении температуры с глубиной, которая сильно зависит содержания главных элементов, погрешностей в зависимостях скорость P-, S-волн-электропроводность-глубина, а также вертикального и латерального распределения радиогенных элементов и теплопроводности.
Рис. 8. Допустимое распределение температур в мантии Луны по совокупности геофизических данных. Короткие штриховые линии с квадратами и ромбами — область температур для холодных (синих) и горячих (красных) селенотерм (Kuskov et al., 2019a, 2019b). Длинная пунктирная линия — профиль температуры по (Кусков, Кронрод, 2009). Сплошные линии — профили температур на средних глубинах мантийных резервуаров с Т150 км = 600°С и Т1000 км = 950–1350°С. Горизонтальные сплошные линии — предполагаемые границы на глубинах 250, 500 и 750 км (Gagnepain-Beyneix et al., 2006). Серая заштрихованная зона — интервал температур из совместного обращения сейсмических и гравитационных данных по (Khan et al., 2007). Штрихпунктирная (розовая) линия — солидус перидотита по Hirschmann (2000). Остальные обозначения см. на рис. 2. Модифицировано по (Kuskov et al., 2019a, 2019b; Кусков и др., 2023)
РЕКОНСТРУКЦИЯ ХИМИЧЕСКОГО СОСТАВА МАНТИИ ЛУНЫ СОВМЕСТНОЙ ИНВЕРСИЕЙ СЕЙСМИЧЕСКИХ И ГРАВИТАЦИОННЫХ ДАННЫХ
Тепловой режим и минеральные ассоциации, слагающие вещество Луны, задают физико-химические параметры внутреннего строения спутника, его массу, среднюю плотность и момент инерции. Состав и температура, оставаясь неизвестными, могут быть реставрированы инверсией сейсмических, гравитационных, электромагнитных и термических данных в сочетании с расчетами фазовых равновесий (Kuskov, Kronrod, 1998a, 1998b; Lognonné et al., 2003; Gagnepain-Beyneix et al., 2006; Khan et al., 2006a, 2006b; Kronrod, Kuskov, 2011; Grimm, 2013; Williams et al., 2014). Такие задачи, являясь существенно нелинейными, позволяют связать набор геохимических и геофизических параметров на фундаментальном уровне и представляют особый интерес для реконструкции состава, внутреннего строения и теплового режима Луны и других планетарных тел (Khan, Connolly, 2008; Khan et al., 2022; Кусков, Кронрод, 2009). Основной удельный вес в таких подходах составляют сейсмические данные Apollo. Поскольку построенные на их основе модельные профили зависимостей скорость P-, S-волн — глубина, лишь косвенно отражают такие важные переменные, как состав и термические свойства, о последних нельзя делать выводы, не прибегая к дополнительным предположениям, равно как и к геохимическим и петрологическим наблюдениям и экспериментам о составе морских базальтов и пикритовых стекол, отражающих ключевые особенности магматической истории Луны.
В качестве такого предположения принята модель LMO (Andrews-Hanna et al., 2023; Gaffney et al., 2023), согласно которой внешняя оболочка Луны претерпела дифференциацию в результате образования магматического океана. В соответствии с постановкой задачи это означает, что химический состав нижней мантии, не затронутой процессами частичного плавления и дифференциации, идентичен среднему составу вышележащих оболочек (коры, верхней и средней мантии) и одновременно отражает валовый состав силикатной Луны. Эта идея использована в качестве дополнительного петрологического ограничения на состав мантии в виде балансовых соотношений (1) с погрешностью ≤ 0.5–1%. Химический состав мантии в рамках системы NaTiCFMAS варьировался в интервалах соотношения (3). В расчетах получаем не одно оптимальное решение, а набор возможных решений, что позволяет найти вероятные распределения концентраций породообразующих оксидов в резервуарах мантии, средние значения распределений и их девиации (Кусков, Кронрод, 2009).
Химический состав трехслойной мантии. На рис. 9 представлены результаты совместной инверсии гравитационных и сейсмических данных в соотношения для химического состава минеральных ассоциаций, термодинамически устойчивых в каждой зоне трехслойной мантии для двух термальных моделей при фиксированных температурах на средних глубинах мантийных резервуаров (рис. 8), условно обозначенных, как холодная и горячая модели (Kuskov et al., 2019a, 2019b). Результаты приведены в виде частотных распределений концентраций оксидов, средние значения которых соответствуют решениям, оптимально удовлетворяющим ограничениям по массе, моменту инерции (Williams et al., 2014) и сейсмическим скоростям (Gagnepain-Beyneix et al., 2006); невязка между расчетными и наблюденными величинами для момента инерции и сейсмических скоростей не превышает погрешности заданных параметров (табл. 2).
Рис. 9. Вероятностные оценки химического состава (концентраций основных оксидов) в трехслойной мантии Луны. Расчеты проведены при фиксированной Т = 600°С в верхней мантии на глубине 150 км для двух вариантов термального состояния на средних глубинах мантийных резервуаров: холодная модель (cold) соответствует изотермам T2 — T3 = 1050–1150°С, а горячая модель (hot) — изотермам T4 – T5 = 1250–1350°С на глубине 1000 км. Цветом обозначены мантийные слои (1, 2, 3): 1 — верхняя мантия (от границы кора-мантия до 240 км), 2 — средняя мантия (240–750 км), 3 — нижняя мантия (750 км — граница ядро — мантия). (а, а′) — Al2O3, (б, б′) — FeO, (в, в′) — MgO, (г, г′) — SiО2. Модифицировано по (Kuskov et al., 2019a, 2019b)
Из рис. 9 следует, что состав Луны существенно отличается от вещества пиролитовой мантии (McDonough, Sun, 1995) в отношении концентраций основных оксидов (обедненность MgО, обогащенность SiO2 и FeO). По гистограммам видно, что вне зависимости от температуры (то есть, как для холодной, так и для горячей моделей), содержания FeO ~ 11–14% (Mg# 80–83) (рис. 9б, б′) и MgO ~ 28–31% (рис. 9в, в′) достаточно стабильны в верхней и нижней мантии. Напротив, оценки C(Al2O3) в мантии довольно заметно зависят от температуры и глубины, что, по-видимому, указывает на стратификацию мантии в отношении тугоплавких оксидов. Для обоих типов термальных моделей распространенность Al2O3 увеличивается от 2–5% в верхней и средней мантии до 4–7% в недифференцированной нижней мантии (рис. 9а, а′) с количеством граната до 10–15 мас. %, причем для горячей модели C(Al2O3) во всех трех зонах мантии выше, чем для холодной. Для холодных моделей Луны валовое содержание Al2O3 ~ 1 × BSE, а для горячих моделей может находиться в интервале 1.2 — 1.4 × BSE. Распространенность SiO2 (рис. 9г, г′) в мантии в меньшей степени зависит от термального состояния и как для холодной, так и горячей моделей оценивается на уровне 50% с вариациями от 50–53% в верхней до 45–50% в нижней мантии.
Дискуссионный состав средней зоны мантии. Вывод о химическом составе Луны был бы неполным без учета внутренней структуры спутника, а именно степени дифференциации мантии. Существование границы на глубине 200–300 км, разделяющей верхнюю и среднюю зоны мантии Луны, предполагается по сейсмограммам Apollo на основе анализа зависимостей времен пробега сейсмических волн, на которых замечено небольшое запаздывание времен вступления продольных и поперечных волн (Латем и др., 1975; Nakamura, 1983; Gagnepain-Beyneix et al., 2006). Геофизические инверсии не однозначны: есть аргументы и за (Khan et al., 2000; Khan, Mosegaard, 2002) и против (Hood Jones, 1987; Longonné et al., 2003; Khan et al., 2007) наличия границы. По данным (Nakamura, 1983) мантия Луны подразделяется на три слоя, причем на глубинах 270–500 км проявляется резко выраженная зона пониженных скоростей, объяснение которой требовало повышенных концентраций FeO вплоть до 15% (табл. 3). Позже, существование такой зоны было поставлено под сомнение (Kuskov et al., 2019a, 2019b).
Такие же, но менее выраженные зоны введены и в работе (Gagnepain-Beyneix et al., 2006) на глубинах 240–500 и 500–750 км. Если небольшое уменьшение скоростей P-, S-волн (рис. 3а,б) в средней мантии не является артефактом модели (Gagnepain-Beyneix et al., 2006), то при инверсии оно находит отражение в небольшом увеличении концентрации FeO в этой зоне (рис. 9б, б′), что связано с увеличением железистой составляющей в фазовой ассоциации (оливин + два Al-содержащих пироксена + гранат + ильменит), приводящей к уменьшению модуля сдвига и VS, но одновременно к увеличению плотности породы. Судя по гистограммам, в средней зоне на глубинах 240–750 км наблюдаются повышенные концентрации FeO до 14–16% и MgO до 35%, и пониженные концентрации SiO2 до 45–48% (рис. 9г, г′) по отношению к верхней и нижней мантии. Такой результат, вытекающий из решения обратной задачи и условий сохранения момента инерции и массы (табл. 2), означал бы стратифицированный характер лунной мантии. Подчеркнем, что повышенные концентрации FeO до 15% (табл. 3) в слое пониженных скоростей на глубинах 270–500 км были получены и при конверсии сейсмической модели (Nakamura, 1983) в термины химического состава.
Однако выделение в мантии низкоскоростной зоны может оказаться не вполне оправданным, поскольку в средней мантии по модели (Gagnepain-Beyneix et al., 2006) наблюдается анти-коррелированное поведение скоростей P-, S-волн на глубинах 240–750 км (реальное положение границ и их резкость остаются не до конца ясными): на глубинах 240–500 км средние значения VP возрастают, а средние значения VS уменьшаются, в то время как на глубинах 500–750 км VP уменьшаются, а VS возрастают (рис. 3а,б). Вариации VP,S на фазовом переходе шпинель-гранат, зависящие от содержания Al2O3 в петрологической модели (Kuskov, 1995, 1997), и, имеющие положительный градиент и монотонный характер, что отражается на профилях ТР,S (рис. 6), не в состоянии объяснить резкость границы на глубинах 240–270 км по (Nakamura, 1983; Gagnepain-Beyneix et al., 2006) и анти-коррелированное поведение скоростей P-, S-волн по Gagnepain-Beyneix et al. (2006). Khan et al. (2007) предположил, что не требуется скачка скорости в средней мантии для согласования сейсмических данных Apollo с однородным составом мантии.
Такое поведение VP и VS в модели (Gagnepain-Beyneix et al., 2006), равно как и повышенные / пониженные концентрации FeO и SiO2, не поддаются объяснению с петрологических позиций, если верна концепция конвективного магматического океана. Следует обратить внимание на то, что существуют общие области химического состава в верхней и средней мантии, а состав средней мантии может частично перекрываться с составом нижней мантии (рис. 9). Это связано с тем, что при совместной инверсии сейсмических и гравитационных данных модели состава наследуют характерные особенности поведения скоростей P-, S-волн в зональной мантии (Kuskov et al., 2019a, 2019b), в частности, повышенное содержание FeO в породе коррелирует с пониженными значениями VS. Кроме того, в соответствии с концепцией магматического океана гравитационная нестабильность вызвала переворот во время или сразу же после заключительных стадий кристаллизации LMO, что сопровождалось конвективным перемешиванием (Hess, Parmentier, 1995; Boukaré et al., 2018), приводящем к хорошо перемешанным составам и гомогенизации мантии таким образом, что валовое содержание FeO и Mg# сохранялись бы одинаковыми на всех глубинах верхней и средней мантии.
В работе (Dyal et al., 1976) сеть лунных и орбитальных магнитометров использовалась для измерений электропроводности и магнитной проницаемости недр Луны. Неясно, насколько наши численные расчеты и сейсмические модели (Gagnepain-Beyneix et al., 2006) согласуются с экспериментами по электромагнитному зондированию Луны, в которых электропроводность оценивалось по зависящим от времени магнитным передаточным функциям между орбитальным спутником Explorer 35 и магнитометрами станций Apollo, расположенных в Океане Бурь, и, на основании которых не исключается существование слоя повышенной проводимости на глубинах >200 км (Dyal et al., 1976; Дайел и др., 1975; Khan et al., 2014), что может быть обусловлено влиянием точечных дефектов в решетке кристаллов в виде форм железа, алюминия или воды (водорода) при высоких температурах, причем отдается предпочтение либо железу (Grimm, 2013), либо формам воды (Karato, 2013) из-за соответствия данным комбинированного термохимического и сейсмического моделирования (Khan et al., 2006b; Кусков, Кронрод, 2009).
Профили проводимости мантии по глубине заметно различаются, поскольку разные исследователи (Khan et al., 2006b, 2014; Долгинов и др., 1975; Dyal et al., 1976; Дайел и др., 1975; Grimm, 2013; Andrews-Hanna et al., 2023) использовали разные сигналы источников (прямое воздействие магнитного поля солнечного ветра, измерения в полости лунного следа или флуктуации хвоста магнитосферы Земли), методологии и предположения. Тем не менее, общие тенденции заключаются в том, что проводимость увеличивается на глубинах ниже 200–400 км. Не прояснило ситуацию и новое исследование (Grimm, 2023), в котором проведен повторный анализ передаточных функций на разных частотах и восстановлен профиль электропроводности в зависимости от глубины. Анализ низкочастотных данных привел к выводу о практически постоянном составе с Mg# около 81, что отлично согласуется с Mg# 83–85 по инверсии электромагнитных данных (Khan et al., 2006a) и нашими результатами 11–14% FeO, Mg# 80–83 в верхней и нижней мантии (рис. 9б, б′), что может означать гомогенность состава мантии, обусловленную эффективным конвективным перемешиванием. Напротив, высокочастотные данные (Grimm, 2023) показали более высокую проводимость, что объясняется нереально высокой концентраций железа и низким значением Mg# или высоким содержанием воды на глубинах 200–400 км, что подтверждает данные “Лунохода-2” по электропроводности Луны (Долгинов и др., 1975), а также не противоречит приведенным здесь данным о повышенных концентрациях FeO до 15% в средней мантии (рис. 9б, б′, табл. 3). С другой стороны, если выделяющаяся вода находится в виде сверхкритической жидкости (Yang, 2012), это может сильно повлиять на последующие измерения проводимости, что подчеркивает ненадежность высокочастотных данных Grimm (2023).
Приходится констатировать, что как сейсмологическая информация, так и данные электромагнитного зондирования не прояснили ситуацию и не выявили дополнительных ограничений на внутреннюю структуру Луны в отношении однородного или стратифицированного состава мантии. По мнению (Lognonné, Johnson, 2007) зона низких скоростей (или отрицательный градиент скорости) допустима, но не является обязательной. В сейсмологическом обзоре (Garcia et al., 2019) авторы приходят к выводу, что четких доказательств существования средней мантии нет. Таким образом, по причине возникшей дихотомии вопрос о химическом составе, структуре и существовании средней зоны мантии Луны остается дискуссионным, поскольку мы не можем доказать более железистый состав средней мантии, а сейсмические и электромагнитные эксперименты не имеют обоснованных доказательств существования зоны пониженных скоростей или повышенной проводимости на глубинах ниже ~250 км.
ВОЗМОЖЕН ЛИ КОНСЕНСУС МЕЖДУ ГЕОХИМИЧЕСКИМИ, ГЕОФИЗИЧЕСКИМИ И ГЕОЛОГИЧЕСКИМИ МОДЕЛЯМИ ВНУТРЕННЕГО СТРОЕНИЯ МАНТИИ ЛУНЫ?
При инвертировании геофизических характеристик в химические модели состава Луны основным источником неопределенности, влияющим на распределение главных элементов в мантийных зонах, является интерпретация сейсмограмм различными авторами, поскольку масса и момент инерции Луны определены с беспрецедентной точностью (Williams et al., 2014). Несмотря на одни и те же данные, записанные в 1969–1977 годах четырьмя сейсмическими станциями Apollo, сейсмические модели, опубликованные различными исследователями (Goins et al., 1981; Nakamura, 1983; Lognonné et al., 2003; Gagnepain-Beyneix et al., 2006; Khan et al., 2000, 2007; Lognonné, 2005; Garcia et al., 2019), существенно отличаются по топологической структуре профилей и скоростям P-, S-волн, что связано с разной методикой обработки сейсмограмм и разным объемом информации по зарегистрированным сейсмическим событиям. Взаимные противоречия в значениях VP, VS в верхней, средней и нижней мантии (рис. 3–5) неизбежно отражаются на реконструкции теплового режима (рис. 6, 7), химического и минерального состава (табл. 3–5, рис. 9).
6.1. Совместная инверсия сейсмических, гравитационных и геохимических данных для определения химического состава Луны
По этой причине в этом разделе мы используем не сейсмические модели, связанные с применением разных априорных ограничений и не лишенные субъективного подхода при решении любой обратной задачи, а наблюденные данные, записанные сейсмометрами Apollo. В качестве таковых использованы оригинальные записи времен пробега 177 P-волн и 125 S-волн из 59 источников (Lognonné et al., 2003), масса, момент инерции и другие параметры из табл. 2. Согласование селенофизических и сейсмических параметров для девятислойной модели Луны (рис. 2), дифференцированной на оболочки, осуществляется в наиболее полной постановке с помощью байесовского формализма с применением алгоритма MCMC (Khan et al., 2007; Matsumoto et al., 2015; Kronrod et al., 2022) на основе расчета функции правдоподобия по уравнению (5) в сочетании с расчетами фазовых равновесий в системе NaTiCFMAS в интервале концентраций оксидов (3) и с учетом масс-балансовых соотношений (1). Близкий подход изложен в работе (Khan et al., 2007), в которой те же самые записи времен пробега (Lognonné et al., 2003) использованы для инверсии сейсмических данных в термины химического состава и температуры на основе метода MCMC.
Отличительная особенность постановки задачи состоит во включении дополнительных геохимических параметров силикатной порции Луны (валовых концентраций FeO и Al2O3), которые на основе совокупности имеющихся данных рассматриваются в качестве наблюденных величин, и, которые, наряду с геофизическими наблюденными параметрами, участвуют в расчете функции правдоподобия (Кусков и др., 2023). Вероятностный подход, основываясь на уже известных параметрах (табл. 2), дает возможность предсказывать неизвестные результаты и позволяет дать прогнозные оценки о распределении искомых геофизических и геохимических параметров в мантии.
Исходя из современного уровня знаний (рис. 1, табл. 1), противоречий между концептуальными геохимическими моделями TWM (Taylor, 1982, 1987) и LPUM (Longhi, 2006) и полученными результатами (рис. 9), модели Луны по валовому содержанию оксида алюминия (С(Al2O3)) можно разделить на два типа (Kronrod et al., 2022; Кусков и др., 2023): модели земного типа 3.5 ≤ CE(Al2O3) ≤ 5 мас. % (модели Е, Al2O3 ~ 1 × BSE) и модели, существенно обогащенные тугоплавкими оксидами 5 ≤ CM(Al2O3) ≤ 7 мас. % (модели M, Al2O3 ~ 1.2 — 1.4 × BSE) по сравнению с силикатной Землей (4–4.5% Al2O3, Taylor, 1987; McDonough, Sun, 1995). Модели с земными значениями CaO и Al2О3 обозначены как модели Е (условно Earth-like models), а модели с более высоким содержанием тугоплавких оксидов — как модели М (условно Moon-like models). Концентрации оксида железа для холодных и горячих моделей (рис. 9) находятся в пределах 11 ≤ С(FeO) ≤ 14 мас. %. Из рис. 1 видно, что за исключением оценок (Warren, 2005; Longhi, 2006) валовое содержание С(FeO) в Луне оценивается в этих же пределах. Для обеих Е-, М-моделей средние значения геохимических параметров приняты в качестве априорных (наблюденных) величин при расчете функции правдоподобия (табл. 2):
. (9)
Поскольку, как показано выше, существование средней зоны мантии остается дискуссионным, то здесь рассматривается модель двухслойной по химическому составу мантии, подразделенной на два разных резервуара с химической границей на глубине 750 км: дифференцированная верхняя мантия Mantle 1–3 на глубинах 34–750 км и примитивная нижняя мантия Mantle 4 (от 750 км до границы с LVZ). Гистограммы (рис. 9) показывают, что составы верхней и средней мантии могут частично перекрываться в диапазоне как холодных, так и горячих селенотерм, поскольку процесс эволюции LMO сопровождался конвективным перемешиванием, что привело к изохимическому выравниванию составов в резервуарах верхней и средней мантии (CM1 = CM2 = CM3), в то время как вещество нижней мантии Mantle 4 = BSM (CM4) оставалось в недифференцированном состоянии. Состав нижней мантии CM4 = C(Mantle 4) = BSM (CM1,2,3 ≠ CM4), идентичный составу LMO и отражающий валовый состав BSM, параметром не является и зависит от концентраций оксидов, найденных в вышележащих оболочках. В каждой зоне мантии состав, физические свойства и температура считаются постоянными и равными значениям в некоторых средних точках по глубине в сочетании с естественным требованием отсутствия инверсии плотности. Изменения состава допускаются только на границе кора-мантия и сейсмическом разрыве 750 км; глубина границы между нижней мантией и LVZ является параметром, поэтому толщина слоя Mantle 4 определяется в результате решения обратной задачи (Кусков и др., 2023; Kronrod et al., 2022).
В соответствии с этим будем считать, что неизвестный химический состав верхних слоев мантии, будучи одинаковым CM1 = CM2 = CM3 (C(Mantle 1) = C(Mantle 2) = C(Mantle 3)), является параметром, то есть изменяется на каждой итерации в расчете. При заданных условиях, состав недифференцированной нижней мантии CM4 = C(Mantle 4) = BSM (где CM4 ≠ CM1,2,3) зависит от концентраций оксидов, найденных в вышележащих оболочках (коре и верхних слоях мантии), и находится из масс-балансовых соотношений (1) с учетом ограничений из табл. 2. Численные эксперименты (Kronrod et al., 2022) показали, что удовлетворительное согласование геохимических и геофизических параметров на основе решения уравнения (5) наблюдается при утроенной ошибке относительно данных по временам пробега сейсмических волн (Lognonné et al., 2003). Пространство параметров опробовано с помощью 21×106 итераций MCMC с десятью параллельными цепочками. Решение для искомых параметров, для которых проявляется нормальное, либо близкое к таковому, распределение, определяется из их апостериорного распределения. Результаты наиболее вероятного распределения геохимических (концентраций оксидов) и геофизических (VP, VS, r) параметров в мантии, наилучшим образом удовлетворяющих принятым моделям и априорной информации с учетом неопределенности данных (табл. 2), представлены на рис. 10–12 в диапазоне допустимых селенотерм.
Рис. 10. Апостериорное распределение концентраций оксидов Al2O3, FeO, MgO, SiO2 для Е-, М-моделей в интервале профилей Т1–Т5 в мантии Луны. Mantle 1–3 — верхняя мантия на глубинах от границы кора-мантия до ~ 750 км, Mantle 4 (= BSM) — недифференцированная нижняя мантия от 750 км до границы с зоной пониженной вязкости/скорости. Термический режим показан цветом: от синего (холодные селенотермы) до коричневого (горячие селенотермы), на глубине 1000 км температура изменяется от 950°С (синий цвет) до 1350°С (коричневый цвет). Модифицировано по Kronrod et al. (2022)
Рис. 11. Гистограммы вероятностного распределения концентраций оксидов и геофизических параметров (скорости P-, S-волн и плотность) для Е/М моделей вдоль селенотермы Т3 в двухслойной по химическому составу мантии Луны. Mantle 1–3 — верхняя мантия с границами на глубинах 34 км (граница кора-мантия), 250, 500 и 750 км, Mantle 4 (= BSM) — примитивная нижняя мантия в диапазоне глубин от 750 км до границы с LVZ
Рис. 12. Гистограммы вероятностного распределения концентраций оксидов и геофизических параметров (скорости P-, S-волн и плотность) для Е/М моделей вдоль селенотермы Т4 в двухслойной по химическому составу мантии Луны. Остальные обозначения см. на рис. 11
На рис. 10 приведены результаты расчетов геохимических параметров Е/М моделей в химически двухслойной мантии — в дифференцированной верхней оболочке Mantle 1–3 и недифференцированной нижней мантии Mantle 4. Гистограммы в виде сгенерированных случайных композиционных выборок построены в геофизически допустимом диапазоне селенотерм T1–T5, соответствующих температурам на средних глубинах мантийных резервуаров, — от холодных T1-T2, промежуточных T3-T4 и до горячих селенотерм T5 (рис. 8, 10). При оценке влияния температуры на химический состав следует иметь в виду, что горячие селенотермы в верхней мантии и холодные селенотермы в нижней мантии маловероятны. На рис. 11 и 12 приведены вероятностные распределения геохимических параметров Е/М моделей вдоль селенотерм Т3 и Т4 и проиллюстрировано влияние состава на физические свойства верхней и нижней мантии Луны.
6.2. Геохимические особенности Е/М модельных классов
В поведении геохимических параметров, отраженных на каждой панели рис. 10–12, прослеживаются общие закономерности. Содержания оксидов довольно устойчивы в слоях Mantle 1–3 и Mantle 4 с некоторым понижением концентрации (C) закисного железа и повышением оксидов магния и алюминия с возрастанием температуры (рис. 10). Для Е-моделей наблюдаются отклонения C(Al2O3) от нормального распределения при Т > Т4 ~1200–1250°С в слое Mantle 4 (рис. 10), что, по-видимому, определяет верхнюю границу температуры. Содержания MgO в слоях составляют 23–29% для Е/М моделей (рис. 11, 12), что меньше, чем в инверсиях (Kronrod, Kuskov, 2011; Khan et al., 2007), но больше, нежели в (Lognonné et al., 2003). Все удачные модели в обеих мантийных зонах находятся в узком интервале значений 10.8–13.3% FeO (Mg# 79–81), что соответствует нашим результатам на рис. 9, согласуется с геофизическими инверсиями (Buck, Toksoz, 1980; Lognonné et al., 2003; Khan et al., 2006a, 2006b) и геохимическими определениями (O’Neill, 1991; Wanke, Dreibus, 1986) но вступает в противоречие с (Longhi, 2006).
Во-вторых, для обеих моделей наблюдается повышение концентраций Al2O3 с повышением температуры от Т1 до Т5 (рис. 10), причем C(Al2O3) в слое Mantle 4 (= BSM) выше, нежели в слое Mantle 1–3 (рис. 11–12), что не исключает разный химический состав в слоях. Возможно, похожая проблема существует и для Земли. Считается, что мантия Земли имеет гомогенный состав с содержанием Al2O3 ~ 3.7–4.5% (табл. 1). Репрезентативность такого предположения неясна, поскольку в геофизических моделях, основанных на глобальной инверсии сейсмических и геодезических данных, предполагаются разные концентрации основных оксидов в мантии Земли, в том числе с более высоким содержанием тугоплавких оксидов Al2O3 и CaO в нижней мантии (Khan et al., 2008).
В-третьих, из результатов инверсии следует, что для обоих классов Е/М моделей содержание SiO2 в слоях Mantle 1–3 и Mantle 4 ( = BSM) составляет 50–52% (рис. 10–12), что противоречит большинству прямолинейных геохимических определений (44–46% SiO2), предполагающих идентичные распространенности SiO2 в Луне и Земле (табл. 1). Следует заметить, что содержание SiO2 в земной мантии известно с точностью до 10%, причем оценка относится к изохимической модели состава мантии или точнее к верхней мантии, в то время как содержание SiO2 в нижней мантии (на глубинах более 650 км) может отличаться от верхней (Kaminsky, 2012). Добавим, что в марсианской мантии С(SiO2) оценивается на таком же уровне, как в земной мантии и Луне (табл. 1), что не представляется столь очевидным в связи с уникальными условиями формирования планет земной группы.
Влияние состава и температуры на скорости P-, S-волн и плотность E-, M-моделей. На рис. 11, 12 проиллюстрировано влияние состава и температуры (вдоль селенотерм Т3 и Т4) на физические свойства мантии. Из гистограмм видно, что скорости Р-волн в нижней мантии выше, чем в дифференцированных слоях верхней мантии. Скорости S-волн ведут себя более консервативно, оставаясь практически постоянными во всех четырех слоях мантии (4.4–4.5 км/с). В верхней части мантии (50–500 км) скорости Р-волн моделей Е и М хорошо согласуются с сейсмическими данными (Gagnepain-Beyneix et al., 2006) и моделью М2 (Garcia et al., 2019), в то время как на глубинах 500–750 км они выше, чем VP по (Gagnepain-Beyneix et al., 2006), но близки к инверсиям Garcia et al. (2019). Фазовые переходы на Н > 500 км не обнаружены. В слоях Mantle-3 (500–750 км) и Mantle-4 (750 км — LVZ) значения скоростей P-, S-волн перекрываются для обеих моделей. На Н > 500–750 км существует заметный разброс скоростей P-, S-волн среди геофизических моделей (Nakamura, 1983; Lognonné, 2005; Gagnepain-Beyneix et al., 2006; Garcia et al., 2019), что затрудняет сопоставление с Е/М моделями. Плотность в мантии немного увеличивается с ростом давления. Увеличение C(FeO) и уменьшение C(Al2O3) в модели приводит к уменьшению скоростей, но может компенсировать изменение плотности, что отчетливо проявляется при сравнении плотности в слоях Mantle-1, Mantle-2, Mantle-3 и Mantle-4 (рис. 11, 12).
6.3. Сравнительный анализ минерального состава, скоростей упругих волн и плотности геофизических Е/М и геохимических LPUM/TWM моделей
Результаты расчетов и литературные данные выявляют заметные разногласия в геохимико-геофизических моделях лунной мантии. Для выяснения сущностной стороны этой проблемы проведем сопоставление скоростей P-, S-волн и плотности геофизических Е-, М-моделей и концептуальных геохимических моделей LPUM (Longhi, 2006) и TWM (Taylor, 1982, 1987) с независимыми сейсмическими данными, не участвующими в инверсии. В качестве таковых по данным Apollo приняты модели внутренней структуры Луны (см. раздел 3.1. Сейсмические модели), недавно предложенные в работе международной группы сейсмологов (Garcia et al., 2019). Обновленные модели G19_M1, G19_M2 и G19_M3 (рис. 5, 13) приняты в качестве референц-моделей.
Петрологические модели и расчет сейсмических скоростей. Как отмечалось выше, модели LPUM/TWM с земным содержанием SiO2, разными значениями Mg# и с концентрациями Al2O3 и FeO, отличающимися в 1.5 раза, представляют собой два предельных класса наиболее популярных геохимических моделей, на которых основаны петрологические эксперименты последних лет по кристаллизации LMO (например, Elardo et al., 2011; Schmidt, Kraettli, 2022). Эксперименты решают прямую задачу по определению минералогии LMO по уже заданному валовому составу, но не дают возможности установить, какой из них соответствует реальному составу мантии. Такая информация может быть получена посредством расчета физических свойств фазовых ассоциаций и их сравнения с сейсмическими моделями. В табл. 6 приведен состав моделей. Расчеты минерального состава, скоростей P-, S-волн и плотности приведены в табл. 7 и на рис. 13 вдоль селенотермы T4, которая является промежуточной между холодными и горячими селенотермами (рис. 8), и не должна приводить к инверсии плотности; для этого профиля приняты градиенты температуры 0.763 °C/км (34–750 км), 0.5 °C/км (750–1000 км) и 0.4 °C/км (1000–1200 км) в соответствии с (Kuskov et al., 2019a).
Таблица 6. Модели химического состава мантии Луны
Состав Модель | MgO | FeO | Al2O3 | CaO | SiO2 | Na2O | TiO2 | Mg# |
LPUM (Longhi, 2006) | 38.55 | 7.67 | 3.96 | 3.20 | 46.40 | 0.05 | 0.17 | 90.0 |
TWM (Taylor, 1982) | 33.0 | 11.00 | 6.15 | 4.60 | 44.85 | 0.09 | 0.31 | 84.0 |
Е-модели E_(Mantle 1–3) | 30.00 | 13.00 | 3.00 | 2.40 | 51.35 | 0.05 | 0.20 | 80.4 |
M-модели M_(Mantle 1–3) | 27.00 | 12.50 | 5.00 | 4.00 | 51.25 | 0.05 | 0.20 | 79.4 |
BSE (McDonough, Sun, 1995) | 38.06 | 8.14 | 4.52 | 3.52 | 45.20 | 0.36 | 0.20 | 89.0 |
Таблица 7. Сопоставление минерального состава (мол. %) и физических свойств геофизических Е/М и геохимических LPUM/TWM моделей для температурного профиля T4
Модель Состав | E-модели E(Mantle 1–3) | M-модели M(Mantle 1–3) | LPUM | TWM |
0.83 ГПа / 600°C (~150 км) | ||||
Ol | 11.0 (Fo82) | 3.2 (Fo82) | 39.4 (Fo92) | 32.2 (Fo88) |
Opx | 74.0 | 70.6 | 36.8 | 30.5 |
Cpx | 12.8 | 22.1 | 19.9 | 30.8 |
Sp | 1.9 | 3.8 | 3.6 | 6.0 |
Gar | 0.9 | 0.9 | 0.9 | 0.9 |
Ilm | 0.3 | 0.3 | 0.3 | 0.5 |
ρ, г/см3 | 3.349 | 3.357 | 3.294 | 3.355 |
VP, км/с | 7.70 | 7.69 | 8.02 | 7.93 |
VS, км/с | 4.437 | 4.432 | 4.600 | 4.510 |
KS, ГПа | 110.5 | 110.8 | 118.9 | 120.0 |
G, ГПа | 65.9 | 65.9 | 69.6 | 68.3 |
1.35 ГПа / 675°C (~250 км) | ||||
Ol | 13.6 (Fo82) | 7.9 (Fo84) | 39.8 (Fo92) | 46.8 (Fo89) |
Opx | 72.1 | 65.5 | 34.9 | 11.3 |
Cpx | 12.0 | 22.0 | 21.9 | 33.9 |
Sp | 0.9 | 0.9 | 3.1 | 0.9 |
Gar | 2.0 | 4.3 | 0.9 | 7.4 |
Ilm | 0.3 | 0.3 | 0.3 | 0.6 |
ρ, г/см3 | 3.372 | 3.399 | 3.299 | 3.411 |
VP, км/с | 7.78 | 7.84 | 8.03 | 8.12 |
VS, км/с | 4.46 | 4.48 | 4.58 | 4.58 |
KS, ГПа | 114.5 | 117.6 | 120.2 | 129.5 |
G, ГПа | 67.0 | 68.4 | 69.4 | 71.4 |
3.40 ГПа / 1060°C (~750 км) | ||||
Ol | 13.8 (Fo82) | 8.0 (Fo83) | 48.8 (Fo92) | 47.7 (Fo88) |
Opx | 74.9 | 65.5 | 21.2 | 1.3 |
Cpx | 8.5 | 21.2 | 25.2 | 42.2 |
Sp | 0.9 | 0 | 0.9 | 0.9 |
Gar | 2.5 | 5.0 | 4.5 | 8.2 |
Ilm | 0.3 | 0.3 | 0.3 | 0.6 |
ρ, г/см3 | 3.388 | 3.416 | 3.339 | 3.424 |
VP, км/с | 7.86 | 7.92 | 8.18 | 8.17 |
VS, км/с | 4.42 | 4.44 | 4.57 | 4.52 |
KS, ГПа | 121.0 | 124.4 | 130.7 | 135.7 |
G, ГПа | 66.0 | 67.4 | 69.7 | 69.9 |
Рис. 13. Профили VP (а), VS (б) и плотности (в) в мантии Луны для композиционных моделей E (E_Mantle 1–3) и М (М_Mantle 1–3), TWM и LPUM вдоль температурного профиля T4 в сопоставлении с референц-моделями G19_M1/М2/М3 (Garcia et al., 2019): M1 (пунктирная синяя линия), M2 (штрих-пунктирная зеленая линия), M3 (штрих-пунктир-пунктирная оранжевая линия). Жирная красная линия — модель GB06 (Gagnepain-Beyneix et al., 2006). Штрих-пунктирная черная линия — модель W11 (Weber et al., 2011). Модифицировано по (Кусков и др., 2023)
Химический состав. В связи с тем, что значения концентраций основных оксидов в мантийных слоях в значительной степени перекрываются в диапазоне холодных и горячих селенотерм (рис. 9–12), а сейсмические данные Apollo не позволяют различить гомогенную или стратифицированную структуру мантии (Lognonné, Johnson, 2007; Garcia et al., 2019) рассмотрим однородные в химическом отношении слои, обозначенные как модели E_(Mantle 1–3) и M_(Mantle 1–3), спектр составов и физических свойств которых приведен на рис. 10–12, а один из характерных примеров приведен в табл. 6 в сравнении с BSE (McDonough, Sun, 1995). Е/М-модели имеют более низкие концентрации MgO и более высокие концентрации SiO2 по сравнению с изохимическими моделями TWM и LPUM и заметно отличаются от них, равно как и от BSE, по содержанию FeO, Al2O3, CaO.
Фазовый состав. Модели Е/М и TWM/LPUM, разные по химическому составу (табл. 6), отличаются и по пропорциям минеральных фаз, содержащих Opx, Cpx, Ol, Ilm ±Sp, ±Gar (табл. 7). Плагиоклаз стабилен при низких давлениях (< 3 кбар) и высоких температурах (≥ 500 °C), что соответствует (Johnson et al., 2021; Nazarov et al., 2011; Wittmann et al., 2018). При повышенных давлениях плагиоклаз замещается Cpx. Шпинель исчезает с появлением граната при ~13 кбар в моделях Е/М и TWM, в то время как гранат отсутствует в модели LPUM. Увеличение концентрации Al2O3 в модели приводит к возрастанию доли граната по отношению к Sp + Opx.
Наиболее вероятные решения совокупности геофизических данных методом MCMC приводят к оливин-пироксенитовому (> 80 мол. % ортопироксен + клинопироксен) составу верхней мантии на глубинах до ~250 км (табл. 7), что находит подтверждение в работах международного сообщества сейсмологов и геофизиков (Lognonné et al., 2003; Gagnepain-Beyneix et al., 2006; Khan et al., 2006a, 2006b). В обзоре (Wieczorek et al., 2006) отмечается, что область источника морских базальтов должна отвечать гарцбургитовому, а не лерцолитовому составу. Увеличение С(Al2O3) в мантии приводит к увеличению доли граната с глубиной по отношению к шпинели и ортопироксену с минеральным составом, близким к Py70Alm23Gr7, достигающей порядка 10–15 мас. %. В ряде петрологических исследований предполагается существование граната, образовавшегося при плавлении в глубокой мантии (Neal, 2001; Draper et al., 2006; Barr, Grove, 2013). Физико-химические эксперименты (Elardo et al., 2011) показали, что гранат не приближается к ликвидусу при любом валовом составе Луны. Это означает, что глобальный океан магмы не в состоянии производить гранат в кумулятивной последовательности путем фракционной кристаллизации и, следовательно, присутствие граната в глубоких недрах, по-видимому, подразумевает более мелкий LMO и подстилающую недифференцированную гранат-содержащую мантию. С другой стороны, термодинамические расчеты, петрологические и ультразвуковые эксперименты при лунных Р-Т параметрах (Johnson et al., 2021; Jing et al., 2022; Wood et al., 2024) показывают, что гранат кристаллизуется в глубокой мантии на заключительных стадиях кристаллизации LMO. Это позволяет квалифицировать гранат как один из основных минералов первичной нижней мантии. Гранат становится важной алюминий-содержащей фазой, контролирующей физические свойства мантии, поскольку при заданных параметрах (табл. 2) решение задачи настраивается в основном за счет изменения С(Al2O3) в петрологической модели при почти постоянных концентрациях закисного железа.
Физические характеристики. На рис. 11, 12 приведены гистограммы распределения физических свойств Е/М моделей для селенотерм T3 и T4, а на рис. 13 их выборка для моделей E_(Mantle 1–3) и М_(Mantle 1–3), наряду с TWM и LPUM, вдоль селенотермы T4 в сопоставлении с референц-моделями G19_M1/M2/M3 (Garcia et al., 2019). На глубинах >150 км для моделей E/М, TWM/LPUM, равно как и для G19_M3, наблюдаются небольшие положительные изменения в значениях VP, VS и r вдоль фазового перехода Sp-Gar в зависимости от С(Al2O3) в модели (табл. 6).
В верхней мантии до ~500 км значения VP, VS для Е/М-моделей, независимо от С(Al2O3), хорошо согласуются со скоростными моделями Garcia et al. (2019). Невозможно отдать предпочтение одной из них в отношении тугоплавких оксидов. Оба класса моделей отражают скоростные свойства обогащенной SiO2 (~50 мас. %) оливин- пироксенитовой мантии (табл. 6), преобладающим минералом которой является low-Ca-Opx (72–74 мол. %) (табл. 7). На глубинах >750 км скорости P-, S-волн Ol-Opx-Cpx-Gar-Ilm фазовых ассоциаций Е/М-моделей плохо согласуются с G19_M1/M2/M3 (рис. 13) из-за неустойчивости моделей Garcia et al. (2019), в которых проявляется сильный разброс скоростей P-, S-волн. Как отмечают Garcia et al. (2019), заметная разница между M1/M2 и M3 предполагает разрешающую способность сейсмических данных лишь до 600 км.
Для Е/М моделей скорости Р-волн немного возрастают, в то время как скорости S-волн практически постоянны или слабо уменьшаются с глубиной (рис. 13) в соответствии с гистограммами на рис. 11, 12. TWM и LPUM модели с ~45 мас. SiO2, основным минералом которых является оливин (табл. 7), имеют более высокие скорости по сравнению с E/M и G19_M1/M2/M3 моделями (рис. 13). Форстеритовая составляющая оливина имеет также и более высокие значения модулей сжатия и сдвига по сравнению с энстатитовым конечным членом в пироксенах при почти одинаковой плотности форстерита и энстатита (Anderson et al., 1991, 1992). Скорости P-, S-волн геохимических моделей TWM и LPUM с большим количеством высокоскоростного оливина в фазовых ассоциациях по сравнению с Е/М-моделями (табл. 7) выходят за пределы референц-моделей Garcia et al. (2019), что, вероятно, исключает оливин в качестве существенной составляющей верхней мантии. Изменение температуры на ±100°С не влияет на это утверждение, как это следует из сравнения химического состава и физических свойств на рис. 11 и 12. Напротив, пироксен-содержащие Е/М-модели с более высоким содержанием SiO2 (~50%) попадают в диапазон скоростных структур моделей M1/M2/M3 и соответствуют спектральным данным лунных пород ударных бассейнов, в которых обнаружено преобладающее содержание пироксенов с низким содержанием кальция (Hu et al., 2019; Lemelin et al., 2019; Moriarty et al., 2021a, 2021b; Yamamoto et al., 2023).
На глубинах около 250 км более фертильная модель TWM содержит значительное количество граната, а в составе фазовой ассоциации LPUM граната нет (табл. 7). На H > 250 км одновременное увеличение C(FeO) и С(Al2O3) в TWM по сравнению с LPUM практически компенсирует значения VP (рис. 13а), но приводит к небольшим различиям в VS (рис. 13б) за счет снижения модуля сдвига железосодержащих минералов и к значительному увеличению плотности (рис. 13в). Фертилизация сопровождается возрастанием количества граната и понижением доли ортопироксена с глубиной. В нижней мантии содержание граната может достигать 4.5 мол. % Py80Alm14Gr6 для LPUM и 8 мол. % Py74Alm20Gr6 для TWM (табл. 7).
Референц-модели (Garcia et al., 2019) дают определенные ограничения на плотность до глубин около 1200 км, ниже которых плотность G19_М3 уменьшается — трудно объяснимый результат (рис. 13в) даже в предположении существования зоны пониженной вязкости/скорости. Плотности Е/М моделей хорошо согласуются с моделью Weber et al. (2011) на глубинах 300–1200 км и попадают в диапазон плотности моделей G19_М2 G19_М3 до глубин порядка 500–600 км. Плотность возрастает с появлением граната (табл. 7), плотность которого выше плотности Ol-Px смесей. Напротив, класс земле-подобных моделей типа LPUM с плотностью минеральных фаз более низкой, нежели Е/М и TWM, не соответствует геофизическим инверсиям G19_М2/М3.
Результаты расчетов (рис. 11–13, табл. 7) выявляют нетривиальную зависимость физических свойств (VP, VS, r) от химического состава и минералогии мантийных пород. Так, например, значения VP, VS и плотности Е-модели в слое Mantle 1 выше, нежели в М-модели, в то время как значения VP, VS и плотности Е-модели в слое Mantle 4 ниже, чем в М-модели, что отчетливо видно на рис. 11 и 12, а также на рис. 13а,б,в. Это связано со сложным влиянием концентраций оксидов, особенно FeO и Al2O3, на физические свойства оливин-пироксен-шпинелевых и оливин-пироксен-гранатовых смесей за счет изменения соотношения фаз с глубиной при шпинель-гранатовом переходе, когда происходит уменьшение доли ортопироксена и увеличение пропорции граната, имеющего более высокие значения модулей сжатия и сдвига и плотности относительно низкобарных фаз (табл. 7).
ОБСУЖДЕНИЕ РЕЗУЛЬТАТОВ
7.1. Сходство и различия геохимических и геофизических моделей Луны
Как следует из предыдущего материала, существуют фундаментальные противоречия в моделях химического состава Луны. Оценки состава основаны либо на геохимических анализах образцов лунных пород, взятых с поверхности и не отражающих глубинное вещество, и хондритовых элементных отношениях, заметно различающихся среди метеоритов (Wanke, Dreibus, 1986; Jones, Delano, 1989; O’Neill, 1991; Warren, 2005; Longhi, 2006; Taylor et al., 2006; Фегли, Пальме, 1991; Dauphas et al., 2014), либо на совместной инверсии гравитационных и сейсмических данных (Khan et al., 2000, 2002, 2007, 2014; Buck, Toksoz, 1980; Hood, Jones, 1987; Kuskov, Kronrod, 1998a, 1998b; Lognonné et al., 2003; Gagnepain-Beyneix et al., 2006; Kronrod, Kuskov, 2011; Kuskov et al., 2019a,b, 2023; Kronrod et al., 2022). Главное преимущество геофизического подхода заключается в том, что он опирается на основной источник информации о физическом состоянии глубоких недр Луны — сейсмические эксперименты экспедиций Аpollo, что в сочетании с методами термодинамики и физики минералов позволяет определить изменения химии и минералогии фазовых ассоциаций с глубиной (давлением). Основные противоречия геохимических и геофизических моделей Луны связаны с оценкой концентраций закисного железа, кремнезема и тугоплавких оксидов. Ниже, обсуждаются апостериорные модели химического состава мантии, основанные на результатах инверсии (рис. 9–12).
FeO, Mg#. Из основных оксидов, слагающих космическое вещество, распространенность FeO находится в самых широких пределах, варьируя от практически нулевых значений для восстановленных энстатитовых хондритов, до 8% для Земли, 8–14% для Луны, 14–18% для Марса и вплоть до 30% в окисленных типах углистых хондритов (Jarosewich, 1990; Khan et al., 2022; Taylor, 1987; McDonough, Sun, 1995;Yoshizaki, McDonough, 2020). Оценки концентраций FeO и магнезиального числа Mg# или молярного отношения MgO/(MgO + FeO) плохо поддаются определениям по морским базальтам (Warren, 2005) из-за малой доли последних и из-за дифференциации Луны с образованием магматического океана (Jones, Palme, 2000). В обширной работе (Warren, 2005) на основе синтеза литературных данных по образцам лунных пород и метеоритов, хондритовых отношений Mg/Th, Mg/Si и оценок MgO/FeO = 3.4–4.4 распространенности оксидов оцениваются на уровне 8–9% FeO и 35–36% MgO; величина Mg# 87–91, по существу, такая же, как и у Земли. Эти определения нашли поддержку в модели LPUM (Longhi, 2006), но не согласуются с результатами настоящей работы, петролого-геохимическими оценками (Wanke, Dreibus, 1986; Ringwood, 1977; Jones, Delano, 1989; O’Neill, 1991; Snyder et al., 1992; Taylor et al., 2006), геофизическими инверсиями (Buck, Toksoz, 1980; Lognonné et al., 2003; Khan et al., 2006a, 2006b; Grimm, 2023) и геологическими наблюдениями (Ivanov et al., 2018). Обратим внимание, что уже первые модельно-независимые в геохимическом отношении ограничения на состав силикатной порции Луны (табл. 3, 4), основанные на ранних сейсмических работах, привели к оценкам содержания закисного железа на уровне 11–12% FeO (Kuskov, 1997; Kuskov, Kronrod, 1998a), впоследствии подтвержденным новыми данными.
Один из основных выводов, который можно сделать из результатов инверсии как для холодных и горячих моделей (рис. 9), так и для обеих Е/М-моделей (рис. 10–12) состоит в том, что С(FeO) ~ 11–13% и значения Mg# 79–81, слабо зависящие от термального состояния, достаточно стабильны во всех зонах мантии, что обусловлено условиями сохранения массы и момента инерции и сейсмическими данными (табл. 2), а также космохимическими условиями. Валентное состояние железа и содержание FeO в лунной мантии обусловлено как степенью окисления солнечной туманности, в которой железо, конденсируясь в виде металла, вступало в реакции с охлаждающимся газом, превращаясь частично в FeS и компонент FeO ферромагнезиальных силикатов (Lodders, 2003), так и конкретными условиями формирования Луны. Кроме того, Fe2+, преимущественно входит в структуры основных минералов мантии — оливина и ортопироксена, в то время как присутствие трехвалентного железа в лунных породах не обнаружено (Gu et al., 2023). Добавим также, что скоростные и плотностные вариации при изменении содержания FeO имеют разнонаправленный характер: повышение С(FeO) в породе увеличивает ее плотность, но приводит к уменьшению VP и VS. Оба этих фактора следуют из термодинамики и физики минералов. Лунные значения FeO и Mg# для Е/М-моделей резко отличаются от таковых для BSE, что указывает на принципиальные различия в геохимии силикатных оболочек Земли и ее спутника.
Schwinger, Breuer (2022), рассмотрев разное термальное состояние лунных недр, нашли, что содержание FeO в BSM находится в пределах 8–11% для холодных селенотерм по (Kuskov, Kronrod, 1998a) и 9.4–12.7% для горячих селенотерм по (Laneuville et al., 2013). Узкий интервал С(FeO) = 11–13%, вытекающий из наших результатов (рис. 10–12), хорошо согласуется с геофизическими инверсиями (Lognonné et al., 2003; Khan et al., 2006a, 2006b), данными фото-геологического анализа северной части бассейна Южный полюс–Эйткен древнейшие материалы дна которого содержат 11–14.5% FeO (Ivanov et al., 2018), но заметно отличается от петролого-геохимических и космохимических оценок BSM, показывающих широкий разброс от 7.6% до 13–14% FeO (табл. 1). Величина Mg# 79–81 хорошо согласуется с геофизическими инверсиями (Buck, Toksoz, 1980; Khan et al., 2006a, 2006b), но несколько больше, чем в моделях Луны, полученных из сейсмических и электромагнитных данных Mg# 75–80 (Lognonné et al., 2003; Grimm, 2013), и существенно ниже Mg# 87–88 (Warren, 2005) и Mg# 85 (Dauphas et al., 2014).
Мы полагаем, что вывод об обогащении силикатной порции Луны закисным железом 11–13% FeO (С(FeO)BSM ~ 1.5 × BSE, Mg# 79–81) по отношению к пиролитовой мантии Земли является достаточно обоснованным.
Al2O3 / CaO дихотомия. Широко распространено мнение, что все тугоплавкие литофильные элементы, имеющие соответствующие температуры конденсации в солнечной туманности, в том числе Al2O3, CaO, Th, находятся в планетных телах в хондритовых или около хондритовых пропорциях, причем в результате фракционирования в магматическом океане Al2O3, CaO и Th должны быть сконцентрированы в анортозитовой коре (Taylor et al., 2006; Warren, 2005). При этом, следует иметь в виду, что условия равновесия в газе солнечного состава при низких давлениях (Lodders, 2003) на много порядков отличаются от Р-Т условий протолунного диска (Canup et al., 2023). Отношение Al2O3/Th используется в качестве основного индикатора для оценки распространенности Al2O3 и CaO в Луне в сочетании с расплывчатыми предположениями о толщине мегареголита, коровых слоев, их плотности и составе, а также вариаций изменения Th на поверхности (Zhang, Liu, 2024) и с глубиной (Taylor, Wieczorek, 2014). Проблема заключается в том, что консенсусное мнение о концентрации тория в коре отсутствуют, а имеющиеся оценки сильно отличаются друг от друга (O’Neill, 1991; Jolliff et al., 2000; Taylor et al., 2006; Warren, 2005; Wei et al., 2023; Zhang, Liu, 2024), что приводит к существенному различию в значениях распространенности Al2O3 в Луне (табл. 1).
Анализы первых образцов из Моря Спокойствия показали их обеднение летучими и сидерофильными элементами и обогащение тугоплавкими элементами по сравнению с земными базальтами (Taylor, 1987); согласно Taylor et al. (2006), Moon/Earth (Al2O3) = 1.5, Moon/Earth (Th) = 1.5. На этом основании в сочетании с локальными измерениями поверхностного теплового потока Apollo 15, 17, орбитальными данными о содержании Th и предполагаемой толщиной коры (Langseth et al., 1976; Keihm, Langseth, 1977) было сделано предположение об обогащении Луны Al2O3 (5–6%) по сравнению с мантией Земли (модель TWM, Taylor, 1982, 1987; Taylor, Jakes, 1977), позже подтвержденное инверсией сейсмических и геофизических данных в модели химического состава (Buck, Toksoz, 1980; Nakamura, 1983; Hood, Jones, 1987; Mueller et al., 1988; Kuskov, 1997; Kuskov, Kronrod, 1998a).
Впоследствии, на основе петрологических экспериментов, оценок толщины и состава коры, и масс-балансовых соотношений было высказано противоположное мнение (Longhi, 2006), согласно которому измерения поверхностного теплового потока и концентраций урана и тория были сделаны в аномальной области вдоль границ PKT (Procellarum Kreep Terrane), и по этой причине не отражают средние значения для Луны в целом (Warren, Rasmussen, 1987; Zhang et al., 2023), а обогащенная Al2O3 мантия не удовлетворяет ограничениям в области источника зеленых стекол; валовый состав Луны был определен на уровне 4% Al2O3, аналогично верхней мантии Земли — модель LPUM (Longhi, 2006), что близко к последующим оценкам (Taylor, Wieczorek, 2014), основанным на геодезических наблюдениях миссии GRAIL и пропорциях пироксена и оливина в мантии. Наиболее популярные в геохимической литературе модели TWM и LPUM не достигли консенсуса из-за различия в содержаниях Al2O3 и FeO в 1.5 раза.
Дихотомия в отношении распространенности тугоплавких элементов сохраняется до сих пор (табл. 1). Содержание Al2O3 составляет 4‒5% в холодных моделях (рис. 9) и моделях Е (рис. 10–12), что согласуется с рядом геохимических и геофизических оценок 3.7–4.4% Al2O3 (Ringwood, 1977; O’Neill, 1991; Longhi, 2006; Khan et al., 2007; Kronrod, Kuskov, 2011; Dauphas et al., 2014) и сопоставимо c 4–4.5% Al2O3 для BSE (McDonough, Sun, 1995; Dauphas et al., 2014). Напротив, содержание Al2O3 составляет 5–6% в горячих моделях (рис. 9) и моделях М (рис. 10–12), которые существенно обогащены Al2O3 по сравнению с BSE и хондритами, и близки к другим оценкам Al2O3 как по геохимическим (Morgan et al., 1978; Taylor, 1987; Snyder et al., 1992; Taylor et al., 2006), так и геофизическим определениям (Hood, Jones, 1987; Kuskov, Kronrod, 1998a, 1998b; Buck, Toksoz, 1980; Lognonné et al., 2003). Используя хондритовое соотношение CaO/Al2O3 ~ 0.8, получаем содержание CaO ~ 3.2–4% для моделей E и 4–5% для моделей M. В работе (Wu et al., 2020) по измерениям изотопного состава кальция в лунных метеоритах содержание CaO оценивается в 4.3–6.5% для BSM, что соответствует моделям М, но выше, чем для моделей Е и BSE ~ 3.5% (McDonough, Sun, 1995).
Первые определения состава силикатной порции Луны (табл. 3, 4), основанные на результатах Apollo, привели к оценкам содержания оксида алюминия на уровне 2–2.5% в верхней и 6% в нижней мантии (Kuskov, 1997; Kuskov, Kronrod, 1998a). Из рис. 9–12 также следует увеличение содержания Al2O3 в мантии с повышением температуры и давления (глубины). Вероятные вариации C(Al2O3) в слоях мантии возрастают в диапазоне селенотерм Т1–Т5 от 2.5–5% для моделей Е до 4–6% для моделей М. Высокие концентрации СаО и Al2O3 соответствуют геохимическим моделям Луны, обогащенным тугоплавкими оксидами (Morgan et al., 1978; Wanke, Dreibus, 1986; Snyder et al., 1992; Taylor, 1987; Taylor et al., 2006), но противоречат хондритовым содержаниям (Дьяконова и др., 1979; Jarosewich, 1990; Додд, 1986) и земле-подобным моделям Луны, имеющим пиролитовые концентрации СаО и Al2O3 (Ringwood, 1977; Jones, Delano, 1989; O’Neill, 1991; Warren, 2005; Dauphas et al., 2014). Обращение селенофизических и сейсмических данных также не позволяет получить однозначные выводы в отношении содержания оксида алюминия — 4–6% Al2O3 (Khan et al., 2006a, 2006b; Kronrod, Kuskov, 2011; Lognonné et al., 2003; Kuskov et al., 2019a, 2019b; Kronrod et al., 2022), которые часто вступают в противоречие с геохимическими данными (рис. 1, табл. 1).
В связи с тем, что содержания Al2O3 не могут быть надежно определены из совокупности геофизических параметров (табл. 2), уравнений состояния минералов и зависят от термического режима на существующем уровне знаний, можно лишь высказать предположение, что для холодных моделей и моделей Е распространенность оксида алюминия в Луне составляет (Al2O3)bulk ~ 0.9–1.1 × BSE, а для горячих моделей и моделей М — (Al2O3)bulk ~ 1.2 –1.4 × BSE (рис. 9–12). Из постановки задачи следует, что главное различие Е- и М-моделей состоит в разных содержаниях Al2O3, что отчетливо проявляется в виде нормального распределения на гистограммах (рис. 11 и 12), из которых, однако, нельзя сделать столь же очевидного вывода в отношении распределения Al2O3 с глубиной. Верхняя и нижняя части мантии могут рассматриваться как гомогенные, так и гетерогенные резервуары и, следовательно, мантия Луны может быть однородна или стратифицирована по содержанию Al2O3. Рациональное объяснение дихотомии по Al2O3 может состоять в том, что разрешающая способность сейсмических событий (Lognonné, Johnson, 2007; Nunn et al., 2020; Garcia et al., 2019), особенно на глубинах нижней мантии, недостаточна для получения надежных оценок содержания Al2O3 в Луне. Заметим, что в этом отношении Луна не уникальна. Точно такая же дихотомия существует в оценках содержания тугоплавких оксидов в силикатных оболочках Земли (3% Al2O3 (Khan et al., 2008) против 4.5% Al2O3 (McDonough, Sun, 1995) и Марса (2.5% Al2O3 (Khan, Connolly, 2008) против 3.6% Al2O3 (Yoshizaki, McDonough, 2020). Интересно отметить, что содержание тугоплавких элементов в марсианской мантии оценивается на уровне 2.2–2.9% для СаО и 2.5–3.6% для Al2O3, что соответствует (Al2O3)bulk (Марс) ~ 0.55–0.8 × BSE (Khan, Connolly, 2008; Khan et al., 2022; Taylor, 2013; Yoshizaki, McDonough, 2020), которое меньше, нежели для Луны (табл. 1).
Что остается неясным? Содержание SiO2. Согласно большинству геохимических оценок, распространенность SiO2 в Луне составляет 44–46%; геофизические инверсии оценивают распространенность SiO2 на уровне 46–53% (табл. 1). В работе (Warren, 2005), основанной на хондритовых отношениях Mg/Si, MgO/FeO, MgO/Th, обладающих существенной неопределенностью, концентрация кремнезема составляет 46–48%. Среди работ, посвященных составу мантии Марса, распространенность SiO2 оценивается на уровне 44–46% SiO2 (Khan, Connolly, 2008; Khan et al., 2022; Taylor, 2013; Yoshizaki, McDonough, 2020), что идентично составу силикатных оболочек как Земли, так и Луны, что представляется не очевидным, учитывая разные условия формирования этих небесных тел. Заметим при этом, что распространенность SiO2 в верхней мантии Земли, основанная главным образом на изучении ксенолитов, продуктов плавления мантии и метеоритного вещества, оценивается с погрешностью около 10%, изменяясь в пределах от 45 до 50% (табл. 1).
Состав лунной коры определен более надежно (Taylor, 1982; Demidova et al., 2007). Содержание SiO2 в коре составляет ~45%; оценки состава основаны на анализах образцов, отобранных из мест посадок космических аппаратов, дистанционных определениях, относящихся к сантиметровому слою лунного реголита, и популяции лунных метеоритов, характеризующих вещество коры до глубин не более одного километра. Отсутствие информации о мантийной распространенности SiO2, привело к разногласиям в составах мантии от оливиных (Taylor, 1982; Jones, Delano, 1989; Khan et al., 2006b; Longhi, 2006) до обогащенных пироксенитом (Ringwood, Essene, 1970; Kuskov, 1997; Lognonné et al., 2003; Khan et al., 2006a). Ранние геохимические и геофизические интерпретации (Hood, Jones, 1987), основанные на традиционном понимании сейсмических данных эпохи Аполлона, отдавали предпочтение составу мантии с преобладанием оливина. Однако эти интерпретации пересматриваются с учетом новых данных и методов анализа. В коллекции образцов и орбитальных данных немного доказательств, подтверждающих преобладание оливина в верхней мантии Луны, что согласуется со стратиграфией мантии по данным экспериментального и численного моделирования дифференциации LMO и предполагаемыми обнажениями мантии в пределах ударных бассейнов (Melosh et al., 2017; Prissel, Gross, 2020; Moriarty et al., 2021b). Спектральные данные, полученные китайской миссией Chang’E-4, предполагают обнаружение пироксенитовых пород мантийного генезиса (Hu et al., 2019; Moriarty et al., 2021a). Несмотря на то, что недавние открытия вносят некоторые нюансы в минералогию Луны, присутствие небольшого количества оливина в мантии, по-видимому, неоспоримо (рис. 13, табл. 7).
В связи с тем, что валовая концентрация оксида кремния известна плохо, а влияние SiO2 на физические свойства лунных пород при высоких давлениях изучены в недостаточной мере, распространенность SiO2 становится одним из основных индикаторов, контролирующих минеральное строение и физические свойства мантии Луны. Характерная особенность, вытекающая из результатов инверсии, заключается в том, что содержание SiO2 в верхней мантии Луны оценивается на уровне 50–52% (рис. 9–12), что примерно на 5% превышает распространенность SiO2 в земной и марсианской мантии (табл. 1). Обогащенность кремнеземом предполагает оливин-пироксенитовый состав мантии с преобладанием ортопироксеновой составляющей и второстепенным количеством оливина и других минералов (табл. 7). Скоростные свойства такой минеральной ассоциации (рис. 11, 12) соответствуют референц-моделям М1/М2/М3 (рис. 13), что исключает обедненную кремнеземом и обогащенную оливином Луну и фактически подтверждает концепцию FeO-SiO2-обогащенной верхней мантии Луны с ограничениями ее состава в пределах 11–13% для оксида железа и 50–52% для оксида кремния. Преобладающим компонентом кремнезем-обогащенной верхней мантии Луны является ортопироксен, а не оливин — основной минерал перидотитовой мантии Земли (рис. 9–12). Предположение об оливине как индикаторе лунной мантии, основанное на постулате одинакового отношения Mg/Si для Земли и Луны (Jones, Delano, 1989), а также различии в плотности кумулатов магнезиального и железистого оливина, не подтверждают данные дистанционного зондирования о существовании крупномасштабных богатых оливином толщ в импактных бассейнах, в которых могут быть обнажены мантийные материалы; напротив, крупные бассейны на Луне, как правило, демонстрируют литологию с преобладанием пироксена с низким содержанием кальция в их ударном расплаве и выбросах (Lemelin et al., 2019; Moriarty, 2021a, 2021b), что подтверждается геофизическими наблюдениями и расчетами (например, Melosh et al., 2017; Кусков и др., 2015).
Обогащенность мантии Луны кремнеземом с преобладанием ортопироксена вытекает из обращения совокупности не связанных между собой гравитационных и сейсмических параметров, обусловлена условиями сохранения массы и момента инерции и скоростными свойствами мантии, но определяется в первую очередь космохимическими условиями и механизмом формирования Луны, что будет рассмотрено ниже. Важно подчеркнуть, что именно ортопироксен-содержащие породы оказываются наиболее совместимыми как с сейсмическими профилями (Nakamura, 1983; Gagnepain-Beyneix et al., 2006), так и с наблюденными данными по временам пробега сейсмических волн (Lognonné et al., 2003), как это видно из табл. 3, 4, 7 и рис. 9–12, и подтверждаются референц-моделями G19_М1/М2/М3 (рис. 13). Подчеркнем, что уже первые геохимические ограничения (табл. 3, 4) привели к оценкам содержания кремнезема на уровне 50–55% в верхней мантии и 50% SiO2 для силикатной порции Луны (Kuskov, 1997; Kuskov, Kronrod, 1998a), впоследствии подтвержденные обращением данных сейсмического (Lognonné et al., 2003) и электромагнитного (Khan et al., 2006a) зондирования. Приведенные на рис. 11 и 12 графики для Е/М моделей также приводят к концентрациям кремнезема на уровне около 50% SiO2, что соответствует концентрации 70–80 мол. % Opx + Cpx и 10–15 мол. % Ol (табл. 7), хорошо согласуется с нашими ранними определениями (Кусков и др., 2015) и подкрепляется петрологическими экспериментами и геохимическими наблюдениями (Ringwood, Essene, 1970; Hu et al., 2019; Li et al., 2019; Lemelin et al., 2019).
Пироксен-содержащая верхняя мантия подтверждается спектральными данными пород бассейна Южный полюс-Эйткен (SPA) и ряда других лунных ударных бассейнов (Crisium, Imbrium). Минералогическое картирование Mg# и основных минералов вокруг бассейна SPA и выбросах с помощью визуализирующего спектрометра (the Moon Mineralogy Mapper) показывает, что в верхней мантии преобладают высокомагнезиальные ортопироксениты, а не оливин, который в составе SPA может принадлежать Mg-серии (Sun, Lucey, 2024). Свидетельств наличия обильного оливина мало, что дискредитирует кремнезем-ненасыщенные канонические модели типа TWM и LPUM, поскольку именно пироксен с низким содержанием Ca доминирует в спектральных характеристиках ударного расплава SPA (Moriarty et al., 2021a, 2021b). Результаты инверсии (рис. 10–12) и анализ данных дистанционного зондирования не подтверждают справедливость геохимических моделей оливин-содержащей лунной мантии с земным содержанием кремнезема (~45 мас. % SiO2) как обогащенных FeO и Al2O3 (TWM), так и обедненных (LPUM), равно как и существование крупномасштабных богатых оливином толщ в импактных бассейнах, а там, где это наблюдается, оливин встречается в небольших, локализованных обнажениях или в бассейнах с тонкой корой (Lemelin et al., 2019; Prissel, Gross, 2020; Yamamoto et al., 2023; Andrews-Hanna et al., 2023).
Моделирование импактных процессов и спектральные данные показывают, что в крупнейшем бассейне SPA, расположенном на обратной стороне Луны, и ряде других бассейнов породы, обогащенные низко-Са пироксеном, более многочисленны и более широко распространены, нежели обогащенные оливином, что позволяет предположить, что пироксенитовые породы были извлечены из мантии во время формирования бассейнов в ходе ударных событий (Elkins-Tanton, Bercovici, 2014; Melosh et al., 2017; Moriarty et al., 2021a, 2021b; Yamamoto et al., 2023). Представляет интерес интерпретация спектральных данных, полученных китайской станцией Chang’E-4, совершившей мягкую посадку в кратере Von Kármán, лежащем внутри бассейна SPA. Так в работе (Li et al., 2019), сообщается об обнаружении глубоко залегающих материалов, извлеченных в виде выбросов в результате ударного события, в которых преобладает смесь оливина и низко-Са пироксена, что согласуется с наблюдениями (Yamamoto et al., 2023). В работе Hu et al. (2019) по данным спектроскопии отражения в ближнем инфракрасном диапазоне с борта лунохода Yutu-2 сообщается о преобладании Opx в мантийных выбросах. При исследовании колец лунных ударных бассейнов по данным многоканального имидж-сканера миссии Kaguya обнаружено уменьшение содержания высокомагнезиального низко-кальциевого пироксена с повышением доли коровой составляющей, что свидетельствует о его мантийном генезисе (Lemelin et al., 2019).
В совокупности, композиционные закономерности выбросов и ударного расплава бассейна SPA преодолевают традиционное представление об оливин-содержащей мантии, основанное на ранних анализах образцов лунных пород и метеоритов, и свидетельствуют о стратифицированной, слоистой структуре верхней мантии Луны, содержащей в основном ортопироксен (+ оливин + клинопироксен), что согласуется с инверсией комплекса селенофизических, сейсмических и геохимических параметров в сочетании с расчетами фазовых равновесий и физических свойств (рис. 13, табл. 5, 7). Эти представления согласуются также со спектральным и минералогическим картированием по данным миссий Chang’E-4 и Kaguya и подтверждаются моделированием тепловой эволюции и анализом спектральных данных ряда других ударных бассейнов (Melosh et al., 2017; Hu et al., 2019; Lemelin et al., 2019; Prissel, Gross, 2020; Moriarty et al., 2021a, 2021b). Заметим, что пироксен-содержащая верхняя мантия не исключается для астероида 4 Веста (например, Toplis et al., 2013).
7.2. Геохимические ограничения в сценариях формирования Луны
Происхождение Луны — ключевая проблема астрофизики и сравнительной планетологии — с давних пор обсуждается в литературе (Юри, Макдональд, 1973; Рускол, 1975; Harris, Kaula, 1975; Discussion Meeting Issue, 2014). Любые успешные сценарии формирования Луны должны отражать ее физические характеристики и объяснять геохимические маркеры — распространенность летучих и сидерофильных элементов, а также соотношение стабильных изотопов (Clayton, Mayeda, 1996; Georg et al., 2007; Armytage et al., 2012; Nielsen et al., 2021; Yang et al., 2022), и не противоречить динамическим особенностям системы Земля-Луна, в том числе времени формирования земного ядра в Hf–W и U–Pb системах (Костицын, 2012; Rubie et al., 2015; Галимов, 2019) и времени образования Луны по U-Pb датировке лунных цирконов (Barboni et al., 2017). Поскольку имеющиеся сценарии не учитывают химию главных элементов, а различия в содержаниях породообразующих оксидов между Землей и Луной столь значительны, то возникает вопрос о причине обогащения Луны FeO и SiO2, дихотомии в отношении Al2O3 и, связанный с этим вопрос о происхождении Луны и системы Земля-Луна.
Каждый из сценариев формирования Луны (отделения от Земли, захвата, коаккреции, сценарии гигантского столкновения (мегаимпакт) или множественных столкновений (мультиимпакт), модель синестии (некий гибрид планеты и диска), образования Луны путем фрагментации разреженного протопланетного сгущения, столкновения двух сгущений и их объединения) в той или иной степени объясняет происхождение системы Земля-Луна — малая масса и низкая плотность Луны по сравнению с Землей, угловой момент системы, дефицит металлического железа, обедненность Луны летучими и сидерофильными элементами, сходство в относительном содержании изотопов кислорода 16О/17О/18О и ряда других элементов (Рускол, 1975; Ringwood, 1977; Weidenschilling et al., 1986; Taylor, 1987; Боярчук и др., 1998; Newsom, Taylor, 1989; Cameron, Benz, 1991; Ćuk, Stewart, 2012; Галимов, 2011, 2019; Herwartz et al., 2014; Taylor, Wieczorek, 2014; Hartmann, 2014; Canup, 2012; Svetsov et al., 2012; Reufer et al., 2012; Rufu et al., 2017; Lock et al., 2018; Маров, Ипатов, 2023; Discussion Meeting Issue, 2014; Печерникова, Сергеев, 2019; Сергеев, Печерникова, 2020, и ссылки в них).
Однако в целом, как уже неоднократно отмечалось в литературе, ни один из них не дает обоснованной оценки динамических характеристик, различий в содержании основных оксидов по сравнению с пиролитовой мантией Земли, а также адекватного объяснения проблемы совмещения изотопной идентичности ряда элементов (O, Si, Cr, Ti и др.) (Clayton, Mayeda, 1996; Georg et al., 2007; Armytage et al., 2012; Dauphas et al., 2014; Canup et al., 2023; Yang et al., 2022), хотя некоторые высокоточные анализы изотопного состава кислорода предполагают, что метод усреднения изотопных данных при игнорировании литологических различий не дает точного представления о сходстве / различии между Землей и Луной (Cano et al., 2020). Остается дискуссионным, соответствуют ли друг другу Земля и Луна по изотопному составу железа (Polyakov, 2009; Poitrasson et al., 2019; Галимов и др., 2020; Okabayashi et al., 2020). Подробный анализ фракционирования изотопов Si, V, Fe, летучих элементов (K, Rb, Cu, Ga, Zn, Sn), а также изотопных вариаций элементов радиогенного происхождения приведен в недавнем обзоре (Canup et al., 2023).
В обзорах (Hartmann, 2014; Asphaug, 2014; Canup et al., 2023) обсуждается несколько современных сценариев происхождения системы Земля-Луна. Наибольшую популярность приобрела гипотеза гигантского столкновения (giant impact) или мегаимпакта, которая стала доминирующей парадигмой в астрофизике и планетных исследованиях, подобно феноменам Big Bang (гипотеза Большого Взрыва, лежащая в основе Стандартной космологической модели), Biological Big Bang (Кембрийский взрыв скелетной фауны) или вымирания динозавров в результате падения астероида. Согласно классической модели гигантского столкновения, формирование Луны происходило в результате коллизии прото-земли и ударного тела (Theia) марсианского размера. Исследование динамики процесса показывает, что наилучшее согласие с ограничениями на угловой момент достигается при угле удара около 45 градусов, причем вещество, выброшенное на околоземную орбиту, происходит не из силикатной мантии Земли, а в основном из мантии ударника (Canup, 2004), следовательно, в изотопном отношении Луна должна соответствовать импактору.
Привлекательность катастрофической гипотезы заключается в объяснении ограничений на массы ядер Земли и Луны и среднюю плотность Луны, близкую к плотности верхней мантии Земли. Помимо гидродинамических проблем, ее, один из основных недостатков, имеет геохимический аспект (Taylor et al., 2006; Dauphas et al., 2014; Галимов, 2013, 2019), ибо импактная модель не позволяет адекватно объяснить изотопную идентичность целого ряда элементов (железа, кремния, титана, калия, вольфрама, хрома, кислорода), поскольку Луна, в основном образовавшаяся из ударного тела в другом изотопном резервуаре, имела бы изотопный состав, отличный от земного и, следовательно, состав земных и лунных пород должен различаться. Однако высокоточные измерения не выявили значимых изотопных различий (Clayton, Mayeda, 1996; Georg et al., 2007; Armytage et al., 2012; Dauphas et al., 2014; Nielsen et al., 2021).
Сходство в изотопных соотношениях можно объяснить тремя способами: бóльшая часть Луны сформировалась из материала земной мантии, изотопное уравновешивание достигалось во время ударного столкновения и, наконец, прото-земля и ударное тело были образованы из изотопно-подобного материала на таком же гелиоцентрическом расстоянии (Wiechert et al., 2001; Barr, 2016; Pahlevan, Stevenson, 2007; Dauphas et al., 2017; Hauri et al., 2015; Lock et al., 2020; Nielsen et al., 2021; Canup et al., 2023). При неканонических столкновениях, рассматривающих быстро вращающуюся Землю (Cuk, Stewart, 2012) или ударное тело гораздо большего размера (Canup, 2014), массовая доля пара становится выше, а выброшенный материал приближается к составу BSE, что лучше согласуется с наблюдениями. Сводка успешных и неудачных решений моделирования гигантского удара, в результате которых был создан спутник с параметрами, сравнимыми с параметрами реальной Луны приведена в (Meier et al., 2014), а все возможные сценарии формирования Луны — в (Canup et al., 2023).
Поскольку происхождение и химический состав ударника неизвестны, то изотопное сходство Земли и Луны стало ключевой проблемой для канонической модели и привело к поиску геохимических аргументов для поддержки ударной гипотезы. Разрешение этого противоречия до сих пор не найдено, хотя и было предложено несколько альтернативных решений с подбором параметров столкновения для требуемого ограничения на момент количества движения в системе Земля — Луна, помимо канонической модели мегаимпакта: (1) прото-земля и ударник имели идентичный изотопный состав (Melosh, 2014; Nielsen et al., 2021; Dauphas 2014); (2) Луна преимущественно формировалась из земной мантии при воздействии планетарных объектов размером от Луны до Марса и вплоть до сравнимого по размеру с прото-землей, в том числе в результате деления быстро вращающейся Земли с потерей углового момента посредством резонанса с Солнцем и достижением изотопной гомогенности (Ringwood, 1977; O’Neill, 1991; Canup, 2012; Ćuk, Stewart, 2012; Desch, Robinson, 2019); (3) Луна образовалась из прото-земного вещества путем столкновения твердого ударника (на самом деле неизвестно, был ли он твердым) с расплавленной прото-землей (океан магмы с более высоким ad hoc содержанием FeO, чем BSE, Hosono et al., 2019), что из-за более сильного нагрева магмы объясняло бы сходство изотопного состава и (по определению) различия в содержаниях FeO в оболочках Земли и Луны (8% против 12%), но не объясняет различия в содержаниях SiO2; кроме того, неясно была ли Земля дифференцирована и существовал ли океан магмы во время столкновения; (4) сценарий образования Луны за счет воздействия более массивного тела и/или множества ударных тел (протолун) с вариациями угла и скорости удара (Svetsov et al., 2012; Desch, Robinson, 2019; Reufer et al., 2012; Meier et al., 2014; Rufu et al., 2017); (5) изотопное уравновешивание между прото-землей и прото-луной в результате мегаимпакта с высокой энергией и большим угловым моментом достигалось за счет обмена материала в окружающем диске магмы и газа, сглаживая различия в их изотопном составе (Pahlevan, Stevenson, 2007; Pahlevan, 2018; Lock et al., 2018), что, однако, было поставлено под сомнение на основе небольшого различия изотопного состава ванадия между BSE и BSM (Nielsen et al., 2021); (6) ударное тело представляло собой модель ледяного тела кометного типа (Taylor, 2016) или «ледяного» тела Theia, пришедшего из внешней части Солнечной системы, с плотностью и свойствами CI-хондритовых метеоритов, сложенных силикатами и филлосиликатами (Wissing, Hobbs, 2020).
Альтернативная гипотеза предложена Э.М. Галимовым (Галимов, 2011, 2013, 2019; Galimov, Krivtsov, 2012) на основе компьютерного моделирования и анализа изотопных систем (Hf–W, Rb–Sr, J–Pu–Xe, U–Pb), смысл которой состоит в том, что Луна сформировалась не вследствие катастрофического удара, а как двойная система одновременно с Землей в результате фрагментации облака пылевых частиц. Принципиальное отличие этой модели от гипотезы мегаимпакта состоит в том, что она предполагает существование дисперсного состояния вещества, с последующим его сжатием, фрагментацией и образованием высокотемпературных зародышей Земли и Луны; испарительной механизм образования Луны определяет утрату летучих без заметного фракционирования изотопов и объясняет обогащение Луны тугоплавкими и обеднение летучими компонентами. Сходство изотопного состава объясняется тем, что Земля и Луна должны были формироваться из общего источника. Но в этом случае возникает другая, не менее сложная проблема, ибо модель требует, чтобы в течение ранней стадии развития протопланетного диска в нем возникали и росли до почти планетарной массы крупные сгущения пыли, а не ансамбль твердых тел. К сожалению, гипотеза образования Луны и Земли из общего супрапланетного газопылевого сгущения (Галимов, 2019; Galimov, Krivtsov, 2012) не была подвергнута тщательному анализу со стороны как российских, так и зарубежных специалистов.
Напротив, гипотеза гигантского столкновения в виде разнообразных сценариев в основном была одобрена большинством исследователей, что связано не столько с ее адекватностью, сколько с высокой степенью гибкости при объяснении особенностей химического состава, физических и динамических характеристик системы Земля — Луна. На сегодняшний день ни один из предложенных вариантов происхождения Луны не удовлетворяет совокупности геохимических наблюдений. Во всех предложенных моделях состав ударника по существу является свободным параметром в пределах тех ограничений, которые не противоречат его формированию в той же части солнечной туманности, что и Земля. Существуют различные взгляды на вещественный состав Theia, зависящие от механизма формирования в протопланетном диске, в том числе образования этого тела внутри орбиты Земли, равно как и в пределах или за пределами орбиты Юпитера (Desch, Robinson, 2019; Budde et al., 2019; Wissing, Hobbs, 2020). Сходство стабильных изотопов, таких как O, Cr, Ti и V, предполагает, что BSM имеет тот же изотопный состав, что и BSE, поскольку Луна формировалась из материалов прото-земли и ударного тела, состав которого предположительно может варьировать от вещества восстановленных энстатитовых хондритов (Wade, Wood, 2016; Dauphas, 2017; Meier et al., 2014; Desch, Robinson, 2019; Nielsen et al., 2021), обыкновенных хондритов и вплоть до окисленного вещества, подобного углистым хондритам (O’Neill, 1991; Budde et al., 2019; Wissing, Hobbs, 2020). В качестве простейшего объяснения изотопного сходства допускается Тейя с земным изотопным составом и более высоким мантийным FeO (20%), хотя содержание FeO в силикатных оболочках Земли и Луны, унаследованное от прото-земли и Тейи, зависит от неизвестного соотношения размеров и масс ударника и мишени (Meier et al., 2014).
Достоинства и недостатки этих предположений, связанные с использованием разных изотопных систем и механизмом формирования (Луна преимущественно произошла из мантии ударника и/или прото-земли, или сценарий последовательности множества более мелких столкновений) критически рассмотрены в литературе (Discussion Meeting Issue, 2014; Meier et al., 2014; Wade, Wood, 2016; Rufu et al., 2017; Dauphas, 2017; Budde et al., 2019; Desch, Robinson, 2019; Nielsen et al., 2021; Yang et al., 2022). Одно из предпочтительных объяснений близости изотопных составов состоит в том, что ударное тело предположительно относилось к семейству энстатитовых метеоритов (Wade, Wood, 2016; Dauphas, 2017; Desch, Robinson, 2019; Nielsen et al., 2021), а небольшое различие в изотопном составе кислорода между ними и Землей объясняется добавкой окисленного вещества на поздней стадии (Herwartz et al., 2014). Следует отметить, что модель энстатитовых хондритов, изотопно близких к земным породам, предлагалась и для валового состава Земли (Javoy et al., 2010).
Возникает вопрос — могут ли последние претендовать на роль лучшего химического аналога, поскольку остается неясным, как это может сочетаться с тем, что энстатитовые хондриты практически лишены FeO, несмотря на довольно изощренные способы подгонки параметров, например, относительно окисленная (~11% FeO) мантия прото-земли, но сильно восстановленное вещество (~0.3% FeO) ударника, похожее на состав мантии Меркурия (Wade, Wood, 2016), или, напротив, окисленная мантия (~15% FeO) Theia и ~5% FeO для прото-земли (Desch, Robinson, 2019), что противоречит предположению об окисленном характере ударного тела CI хондритового состава за вычетом летучих (Budde et al., 2019; O’Neill, 1991). Сильные химические различия между энстатитовыми хондритами, земными и лунными породами и множество подгоночных параметров делают маловероятной гипотезу о веществе Teia, представляющем этот тип метеоритов. Эти исследования важны для более глубокой проработки различных аспектов изотопного состава Луны и Земли, теории аккумуляции планет и модели происхождения системы Земля-Луна, но не решают проблему в отношении химии главных элементов — обеднения / обогащения Луны тугоплавкими оксидами и заметных различий в распространенности оксидов железа и кремния между земными и лунными породами, что еще больше сужает диапазон приемлемых моделей.
Если полученные в данном исследовании ограничения термодинамически обоснованы, то возникает ключевой вопрос — какова химическая природа ударного тела, образовавшего Луну и в какой области Солнечной туманности оно могло сформироваться? Не является ли различие в химическом составе Земли и Луны таким же препятствием для существующих гипотез, как и сходство в изотопных составах? Большое разнообразие импактных сценариев образования системы Земля — Луна означает, что одних только изотопных данных недостаточно для преодоления изотопного кризиса и адекватного решения проблемы формирования Луны (Melosh, 2014; Галимов, 2013, 2019; Discussion Meeting Issue 2014; Canup et al., 2023). Как вместить эти разные геохимические факторы в прокрустово ложе космогонических моделей происхождения Луны?
Среди множества родительских тел астероидов нам неизвестна группа, которая могла бы рассматриваться в качестве основного материала, слагающего Землю (Campbell, O’Neill, 2012; Burbine et al., 2002). Аналогично, нам неизвестна группа метеоритов, по составу идентичная веществу Тейи. Но нельзя исключать формирование Луны из вещества ахондритового состава. Среди всех известных классов метеоритов (хондритов, примитивных ахондритов и ахондритов) указанные ограничения на лунные концентрации кремнезема и закисного железа, равно как и ограничения в отношении дихотомии тугоплавких оксидов, в большей степени соответствуют ахондритам (Jarosewich, 1990; Lodders, 1998), принадлежащим к группе метеоритов HED (говардиты, эвкриты и диогениты), которые, вероятно, являются ударными выбросами с астероида 4 Веста (McSween et al., 2010; Geiss, Rossi, 2013), и к группе метеоритов SNC (шерготтиты, наклиты и шассиньиты), предположительно выбитых с Марса (Geiss, Rossi, 2013; McSween, McLennan, 2014). Составы SNC и HED метеоритов отражают их обогащение FeO (17–20%) и SiO2 (около 50%) по сравнению с земными и лунными породами; обе группы метеоритов демонстрируют разнообразие изотопного и элементного состава (Clayton, Mayeda, 1996; Jarosewich, 1990; Yanai, 1997; Lodders, 1998; Moynier et al., 2010; McSween et al., 2010; McSween, McLennan, 2014). В работе (Macke et al., 2011) измерена плотность сотни образцов из 56 метеоритов группы HED и 10 метеоритов группы SNC, средняя плотность зерен которых составляет 3250–3360 кг/м3, что соответствует плотности вещества верхней мантии Луны с поправкой на Р-Т условия и удовлетворяет композиционным ограничениям. Многие геохимические черты сходства между Луной и родительским телом HED подразумевают, что они имели одинаковое происхождение и что в варианте катастрофического столкновения образующее Луну ударное тело такого типа, обогащенное FeO и SiO2, и прото-земля в основном формировались из общего изотопного резервуара в ранней Солнечной системе (Ruzicka et al., 2001; Dauphas et al., 2017; Hauri et al., 2015; Wu et al., 2020; Nielsen et al., 2021).
ЗАКЛЮЧЕНИЕ
Плутарх в трактате «De Facie in orbe Lunae» (О внешнем виде или диске Луны) полагает, что поверхность Луны не только усеяна множеством морей, но и представляет собой местопребывание счастливых душ (цитировано по Фламарион, 1994; Кусков и др., 2009). Кажется поучительным, сравнить эти представления с более поздними наблюдениями.
Луна стала первым объектом космических исследований среди планет и спутников Солнечной системы. Геохимические и космохимические аргументы говорят о существенном различии вещества метеоритов, планет земной группы, Луны, крупных спутников Юпитера и Сатурна в отношении главных элементов, в том числе металлического и окисленного железа и разного отношения общего железа к кремнию (Виноградов, 1965; Вуд, 1971; Allugre et al., 1995; McDonough, Sun, 1995; Khan, Connolly, 2008; Khan et al., 2007, 2008, 2022; Lyubetskaya, Korenaga, 2007; Кусков и др., 2009; Yoshizaki, McDonough, 2020; Kronrod et al., 2022; Кусков и др., 2023).
В этой работе мы постарались представить обобщение информации о химическом составе, физических свойствах и внутреннем строении Луны, основанной на геохимических и космохимических данных по лунным породам и метеоритам, петрологических экспериментах, методах сейсмического и электромагнитного зондирования, а также селенофизических параметрах в сочетании с методами математического моделирования и расчетами фазовых равновесий и физических свойств при высоких температурах и давлениях. Выведены и обсуждаются два новых класса моделей химического состава Луны, обогащенных SiO2 (~ 50%) и FeO (~ 12% FeO, (FeO)BSM ~ 1.5 × BSE, Mg# 79–81), по отношению к силикатной оболочке Земли (~ 45% SiO2, 8% FeO, Mg# 89) — модели Е с земными значениями CaO и Al2О3 (Earth-like models) и модели М с более высоким содержанием CaO и Al2О3 (Moon-like models). Их характерная особенность заключается в том, что мантия Луны обогащена кремнеземом по отношению к каноническим геохимическим моделям TWM (~ 44% SiO2), LPUM (~ 46% SiO2) и BSE, что не учитывалось в работах по геохимии Луны как во второй половине XX века, так и в первой четверти XXI века. Оба класса Е-, М-моделей, наилучшим образом удовлетворяющих гравитационным наблюдениям и сейсмическим сигнатурам Apollo в пределах заданных погрешностей, определяют особенности минеральной, скоростной и плотностной структуры лунных недр.
Наиболее надежный результат можно отнести к дифференцированной верхней мантии, состоящей в основном из оливин-содержащего пироксенита, основным минералом которого является высокомагнезиальный низко-кальциевый ортопироксен, а не оливин, что является геохимическим следствием обращения совокупности геофизических данных в модели химического состава, и определяется космохимическими условиями и конкретным механизмом формирования Луны. Верхняя мантия Луны, в которой преобладает ортопироксен предсказывается моделью дифференциации LMO (Moriarty et al., 2021a, 2021b) и подтверждается спектральными, петрологическими и геофизическими данными (Melosh et al., 2017; Kuskov et al., 2014a, 2019a, 2019b; Hu et al., 2019; Lemelin et al., 2019; Prissel, Gross, 2020; Yamamoto et al., 2023; Sheng et al., 2024; Lognonné et al., 2003; Garcia et al., 2019).
Скорости продольных и поперечных волн Е-, М-моделей, обогащенных FeO и SiO2, независимо от содержания тугоплавких элементов, хорошо согласуются с данными сейсмического зондирования по программе Apollo, что поддерживает идею кремнезем-обогащенной (оливин-пироксенитовой) мантии по крайней мере на глубинах до ~500 км, и подтверждается петролого-геохимическими данными на основе анализа спектральных данных ряда ударных бассейнов, полученных космическими аппаратами Chang’E и Kaguya. Напротив, скорости звука моделей Луны с земным содержанием кремнезема как обогащенных FeO и Al2O3 (TWM), так и обедненных (LPUM), традиционно предполагающих, что оливин является основным минералом мантии, не соответствуют сейсмическим записям Apollo. Более того, плотность минеральных ассоциаций моделей с земными концентрациями закисного железа и тугоплавких оксидов (Longhi, 2006) не соответствует геофизическим ограничениям.
Для Е-моделей содержание оксида алюминия в Луне (кора + мантия) составляет Al2O3 ~ 0.9–1.1 × BSE, а для М-моделей — Al2O3 ~ 1.2–1.4 × BSE. Обе модели предполагают присутствие граната в глубинной мантии, что согласуется с экспериментами (Johnson et al., 2021; Jing et al., 2022; Wood et al., 2024). Рациональное объяснение дихотомии в отношении Al2O3 состоит в том, что разрешающая способность сейсмических экспериментов Apollo не позволяет получить адекватные оценки для тугоплавких элементов в Луне. Поэтому, принципиальный для геохимии вопрос о сходстве и/или различии состава Земли и Луны в этом отношении продолжает оставаться дискуссионным. Точно такая же неопределенность и систематические различия существуют и в оценках содержания тугоплавких оксидов в силикатных оболочках Земли (Khan et al., 2008; McDonough, Sun, 1995) и Марса (Khan, Connolly, 2008; Yoshizaki, McDonough, 2020), которые в полтора раза отличаются друг от друга, что требует дальнейших исследований.
Геохимические критерии в отношении распространенности целого ряда летучих, сидерофильных и главных элементов свидетельствуют о различии вещества Луны и Земли, хотя и указывают на высокую степень изотопного сходства между лунными и земными породами. В работе с любопытным авторским коллективом и названием (Taylor S.R., Taylor G.J., Taylor L.A. The Moon: A Taylor perspective. Geochim. Cosmochim. Acta, 2006) подчеркивается, что состав Луны является необычным даже по стандартам Солнечной системы. Мантия Луны характеризуется более высокой долей ортопироксена по сравнению с оливином, включением Ca и Al в ранние кумулаты при высоком давлении и более восстановительной средой, благоприятствующей устойчивости Fe2+ по отношению к Fe3+. Пироксен, особенно ортопироксен, играет доминирующую роль в лунной мантии. Это связано с преимущественным включением пироксен-образующих элементов, таких как Fe2+, Ca и Al, при высоких давлениях и восстановительных условиях дифференциации магматического океана. Fe2+ преимущественно входит в состав ортопироксена, что снижает роль клинопироксена в лунной мантии по сравнению с мантией Земли. Образовавшаяся в результате лунная мантия, обогащенная FeO и пироксеном, значительно отличается от верхней мантии Земли, состоящей из оливина. Эти различия в минералогии и окислительно-восстановительном состоянии по сравнению с мантией Земли объясняются уникальными условиями формирования и дифференциации Луны.
Обнаружение изотопной идентичности лунных и земных образцов по целому ряду элементов стало критическим для любого сценария формирования Луны, но является недостаточным условием для выявления сходства или различия строительных блоков Земли и Луны, основанных на веществе хондритов, ибо не дает удовлетворительного объяснения особенностям лунной геохимии в отношении главных элементов (Кусков и др., 2023). Одновременное обогащение Луны закисным железом и кремнеземом трудно примирить с гипотезой образования Луны в результате столкновения Земли с небесным телом Theia из вещества пиролитовой мантии Земли или из вещества ударного тела хондритового состава, что предполагает необходимость рассмотрения альтернативных вариантов в виде объектов, вероятно, близких к родительским телам некоторых ахондритов и приводит к дополнительным ограничениям на состав ударного тела (или тел) при анализе космогонических концепций происхождения Луны и моделировании физических, динамических и космохимических процессов формирования системы Земля–Луна. Если Луна в значительной степени формировалась из ударника, имеющего композиционные характеристики тела, например, подобного родительскому телу HED, это могло бы лучше согласовываться с данными. Разумеется, образцы с обратной стороны Луны предоставили бы более полный взгляд на химию мантии (Li et al., 2019). По данным Национального космического управления Китая, лунная миссия «Чанъэ-6» собрала 1935.3 грамма образцов из кратера Аполлон, расположенного в ударном бассейне Южный полюс-Эйткин, на дальней стороне Луны; образцы доставлены на Землю в июне 2024 г.
Создание унифицированной модели происхождения и внутреннего строения Луны, удовлетворяющей совокупности астрофизических, геофизических, космохимических и петролого-геохимических параметров требует комплексных междисциплинарных усилий и, несмотря на интегрированные исследования, предпринятые по сравнению с более традиционными подходами, является задачей будущих исследований. Если придерживаться аналогии с теоремой неполноты Гёделя, то для построения удовлетворительной модели космического объекта необходимо выйти за пределы знания какой-либо отдельной дисциплины, вводя новые факты, сведения, аргументы и ограничения, включая новейшие, полученные с помощью последних наблюдений и лабораторных экспериментов, а также доказательства из смежных наук, объединенных общим физико-химическим подходом и согласованных с данными астрофизики, космохимии, геохимии и геофизики. Поиск космогонической парадигмы происхождения системы Земля-Луна должен продолжаться, а химический состав лунных образцов, отобранных космическими миссиями, должен выполнять роль важнейшего геохимического ограничения при построении детальных моделей формирования и истории системы Земля-Луна, проясняя более четкую картину их общего происхождения и уникальных путей эволюции.
Авторы признательны Koji Matsumoto за плодотворное сотрудничество. Авторы благодарны научному редактору А.В. Боброву и рецензентам за внимательное и доброжелательное отношение к нашей работе и конструктивные замечания.
Работа выполнена в рамках бюджетной темы Института геохимии и аналитический химии им. В.И. Вернадского РАН.
About the authors
O. L. Kuskov
Vernadsky Institute of Geochemistry and Analytical Chemistry of the Russian Academу of Sciences
Author for correspondence.
Email: ol_kuskov@mail.ru
Russian Federation, Moscow
E. V. Kronrod
Vernadsky Institute of Geochemistry and Analytical Chemistry of the Russian Academу of Sciences
Email: ol_kuskov@mail.ru
Russian Federation, Moscow
V. A. Kronrod
Vernadsky Institute of Geochemistry and Analytical Chemistry of the Russian Academу of Sciences
Email: ol_kuskov@mail.ru
Russian Federation, Moscow
References
- Альвен Х., Аррениус Г. (1979) Эволюция Солнечной системы. М.: Мир, 512 с.
- Андерсон Д.Л. (1975) Происхождение и состав Луны. Космохимия Луны и планет / Ред. Виноградов А.П. М.: Наука, 651–670.
- Ащепков И.В. (2006) Эмпирический гpанатовый теpмобаpометp для мантийных перидотитов. Геология и геофизика. 47, 1075–1089.
- Базилевский А.Т., Абдрахимов А.М., Дорофеева В.А. Вода и другие летучие на Луне (обзор) (2012) Астрономический вестник. 46, 99–118.
- Барсуков В.Л. (1985) Сравнительная планетология и ранняя история Земли. Геохимия (1), 3–19.
- Боярчук А.А., Рускол Е.Л., Сафронов В.С., Фридман А.М. Происхождение Луны: спутниковый рой или мегаимпакт? (1998) ДАН 361, 481–484.
- Бушман А.В., Фортов В.Е. (1983) Модели уравнения состояния веществ. Успехи физических наук. 140, 177–232.
- Вегенер А. (1923 Происхождение Луны и ее кратеров. М.: ГИЗ, 48 с.
- Виноградов А.П. Вещество метеоритов (1965) Геохимия. (11), 1275–1312.
- Виноградов А.П. (1975) Дифференциация вещества Луны и планет на оболочки. Космохимия Луны и планет / Ред. Виноградов А.П. М.: Наука, 5–28.
- Витязев А.В., Печерникова Г.В. (1996) Ранняя дифференциация Земли и проблема лунного состава. Физика Земли. (6), 3–16.
- Витязев А.В., Печерникова Г.В., Сафронов В.С. (1990) Планеты земной группы. Происхождение и ранняя эволюция. М.: Наука, 295 с.
- Вуд Дж. (1971) Метеориты и происхождение Солнечной системы. М.: Мир, 172 с.
- Галимов Э.М. (1995) Проблема происхождения Луны. Основные направления геохимии. К 100-летию со дня рождения А.П.Виноградова / Ред. Галимов Э.М. М.: Наука, 8–43.
- Галимов Э.М. (2011) Образование Луны и Земли из общего супрапланетного газо-пылевого сгущения (доклад на XIX Всеросс. Симпозиуме по геохимии изотопов 16 ноября 2010 г.) Геохимия. (6), 563–580.
- Galimov E.M. (2011) Formation of the Moon and the Earth from a Common Supraplanetary Gas Dust Cloud. Lecture Presented at the XIX All-Russia Symposium on Isotope Geochemistry, November 2010. Geochem. Int. 49(6), 537–554).
- Галимов Э.М. (2019) Особые черты геохимии Луны и Земли, определяемые механизмом образования системы Земля–Луна (Доклад на 81-й Международной метеоритной конференции, Москва, июль 2018). Геохимия 64 (8), 762–776.
- Galimov E.M. (2019) Features of the geochemistry of the Moon and the Earth, determined by the mechanism of formation of the Earth — Moon system (report at the 81st international meteorite conference, Moscow, july 2018. Geochem. Int. 57 (8), 837–850.)
- Галимов Э.М. (2013) Анализ изотопных систем (Hf–W, Rb–Sr, J–Pu–Xe, U–Pb) применительно к проблемам формирования планет на примере системы Земля–Луна / Проблемы зарождения и эволюции биосферы. М.: Красанд, 47–61.
- Галимов Э. М., Okabayashi S., Yokoyama T., Hirata T., Terakado K. (2020) Проблема изотопного состава железа Земли и Луны. Измерения δ57Fe в образцах лунного грунта «Луна-16, -20, -24» (доклад на ХХII симпозиуме по геохимии стабильных изотопов, М., 29–31 октября 2019). Геохимия 65, 1043–1048.
- Galimov E.M., Okabayashi S., Yokoyama T., Hirata T., Terakado K. (2020) Problem of iron isotope composition of the Earth and Moon. Data on δ57Fe of Luna 16, Luna 20, and Luna 24 lunar soil samples (Report on the XXII Symposium on the Geochemistry of Stable Isotopes, Moscow, October 29–31, 2019). Geochem. Int. 58, 1193–1198.
- Галкин И.Н. Геофизика Луны. М.: Наука, 1978. 176 с.
- Горькавый Н.Н. (2007) Образование Луны и двойных астероидов. Изв. Крымской Астрофизической. Обсерватории 103 (2), 143–155.
- Гудкова Т.В., Раевский C.Н. (2013) О структуре собственных колебаний Луны. Астрономический вестник. 47, 13–20.
- Дайел П., Паркин К., Дейли В. (1975) Лунная электропроводность, магнитная проницаемость и температура по данным магнитных экспериментов экспедиций “Аполлон”. Космохимия Луны и планет / Ред. Виноградов А.П. М.: Наука, 1975. С. 5–28.
- Демидова С.И., Аносова М.О., Кононковa Н.Н., Нтафлос Т., Брандштеттер Ф. (2019) Фосфорсодержащие оливины лунных пород: Источники и их локализация в лунной коре. Геохимия 64, 803–825.
- Demidova S.I., Anosova M.O., Kononkova N.N., Brandstätter F., Ntaflos T. (2019) Phosphorus-bearing olivines of lunar rocks: Sources and localization in the lunar crust. Geochem. Int. 57, 873–892.
- Додд Р.Т. (1986) Метеориты. М.: Мир, 1986. 384 с.
- Долгинов Ш.Ш., Ерошенко Е.Г., Жузгов Л.Н., Шарова В.А. (1975) Магнетизм и электропроводность Луны по данным “Лунохода-2”. Космохимия Луны и планет / Ред. Виноградов А.П. М.: Наука, 197314–322.
- Дьяконова М.И., Харитонова В.Я., Явнель А.А. (1979) Химический состав метеоритов. М.: Наука.
- Жарков В.Н. (2003) Геофизические исследования планет и спутников. М.: ОИФЗ РАН.
- Жарков В.Н. (2013) Внутреннее строение Земли и планет. Элементарное введение в планетную и спутниковую геофизику. М.: ООО «Наука и образование», 414 с.
- Жарков В.Н., Калинин В.А. (1968) Уравнения состояния твердых тел при высоких давлениях и температурах. М.: Наука, 312 с.
- Зеленый Л.М., Хартов В.В., Митрофанов И.Г., Долгополов В.П. (2012) Луна: исследование и освоение. Вчера, сегодня, завтра, послезавтра. Природа (1), 23—29.
- Иванов А.В. (2014) Летучие компоненты в образцах лунного реголита. Обзор. Астрономический Вестник 48, 120–138.
- Иванов М.А., Базилевский А.Т., Бричева С.С., Гусева Е.Н., Демидов Н.Э., Захарова М., Красильников С.С. (2017) Фундаментальные проблемы изучения Луны, технические средства подходов к их решению и потенциальные регионы исследования. Астрономический Вестник 51, 473–489.
- Каминский Ф.В. (2018) Вода в нижней мантии Земли. Геохимия (12), 1099–1117.
- Kaminsky F.V. (2018) Water in the Earth’s lower mantle. Geochem. Int. 56, 1117–1134.
- Костицын Ю.А. (2012) Возраст земного ядра по изотопным данным: Согласование Hf–W И U–Pb систем. Геохимия (6), 531–554.
- Kostitsyn Yu.A. (2012) Isotopic constraints on the age of the Earth’s core: Mutual consistency of the Hf-W and U-Pb systems. Geochem. Int. 50, 481–501.
- Кронрод В.А., Кронрод Е.В., Кусков О.Л. (2014) Ограничения на тепловой режим и содержание урана в Луне по сейсмическим данным. ДАН 455, 698–702.
- Кронрод В.А., Кусков О.Л. (1997) Определение химического состава, температуры и радиуса ядра Луны по геофизическим данным. Геохимия (2), 134–142.
- Kronrod V.A., Kuskov O.L. (1997) Chemical composition, temperature, and radius of the lunar core from geophysical evidence. Geochem. Int. 35, 4–12.
- Кусков О.Л., Кронрод В.А. (2009) Геохимические ограничения на модели состава и теплового режима Луны по сейсмическим данным. Физика Земли (9), 25–40
- Кусков О.Л, Кронрод В.А., Кронрод Е.В. (2015) Термохимические ограничения на тепловой режим, состав и минералогию верхней мантии Луны по сейсмическим моделям. Астрономический вестник. Исследования Солнечной системы. 49 (2), 83–99
- Кусков О.Л, Кронрод В.А., Кронрод Е.В. (2016) Тестирование референц-модели Луны по отношению к термальному режиму и химическому составу мантии: Термодинамика против сейсмологии. Физика Земли 3, 10–18
- Кусков О.Л, Кронрод В.А., Кронрод Е.В. (2023) Внутреннее строение мантии Луны: Согласование геохимических и геофизических моделей. Астроном. вестник. Исследования Солнечной системы 57 (5), 415–438.
- Kuskov O.L., Kronrod E.V., Kronrod V.A. (2023) Internal Structure of the Lunar Mantle: Matching of geochemical and geophysical models. Solar System Research 57 (5), 426–448.
- Кусков О.Л., Галимзянов Р.Ф., Калинин В.А., Бубнова Н.Я., Хитаров Н.И. (1982) Построение термического уравнения состояния твердых фаз (периклаз, коэсит, стишовит) по их модулям сжатия и расчет фазового равновесия коэсит-стишовит. Геохимия (7), 984–1001.
- Kuskov O.L., Galimzyanov R.F., Kalinin V.A., Bubnova N.Ya., Khitarov N.I. (1982) Construction of the thermal equation of states of solids (periclase, coesite, stishovite) based on bulk modulus data and calculation of coesite-stishovite phase-equilibrium. Geochem. Int. 19, 48–65.
- Кусков О.Л., Галимзянов Р.Ф., Трускиновский Л.М., Пильченко В.А. (1983) Достоверность термодинамических расчетов химических и фазовых равновесий при сверхвысоких давлениях. Геохимия (6), 849–871.
- Kuskov O.L., Galimzanov R.F., Truskinovski L.M., Pil’chenko V.A. (1983) The reliability of thermodynamic calculations on chemical and phase equilibria at ultrahigh pressures. Geochem. Int. 20 (3), 37–48.
- Кусков О.Л., Дорофеева В.А., Кронрод В.А., Макалкин А.Б. (2009) Системы Юпитера и Сатурна. Формирование, состав и внутреннее строение крупных спутников. М.: Изд-во ЛКИ, 576 с.
- Kuskov O.L., Dorofeeva V.A., Kronrod V.A., Makalkin A.B. (2009) Systems of Jupiter and Saturn. Formation, composition and internal structure of large satellites. Moscow: LKI Publishing House, 576 p.
- Латем Г., Накамура И., Дорман Дж., Дьюнебье Ф., Юинг М., Ламлейн Д. (1975) Результаты пассивного сейсмического эксперимента по программе “Апполон”. Космохимия Луны и планет / Ред. Виноградов А.П. М.: Наука, 299–310.
- Лебедев Е.Б., Рыженко Б.Н., Буркхардт Г., Жариков А.В., Рощина И.А., Кононкова Н.Н., Зебрин С.Р. (2014) Влияние состава флюидов на упругие свойства пород (песчаника, кварцита) при высоких температурах и давлениях (в приложении к проблеме коровых волноводов). Физика Земли (3), С. 56–67.
- Левин Б.Ю., Маева С.В. (1975) Загадки происхождения и термической истории Луны. Космохимия Луны и планет. Ред. Виноградов А.П. М.: Наука, 283–298.
- Луна — шаг к технологиям освоения Солнечной системы (2011) Ред. В.П. Легостаев и В.А. Лопота. М.: РКК «Энергия», 584 с.
- Любимова Е.А. (1968) Термика Земли и Луны. М.: Наука, 279 с.
- Маров М.Я. (2016) Космос: От Солнечной системы вглубь Вселенной. М.: ФИЗМАТЛИТ, 536 c.
- Маров М.Я. (2023) Исследования Луны автоматическими космическими аппаратами. Космические исследования 61, № 1, 52–77.
- Маров М.Я., Ипатов С.И. (2023) Процессы миграции в Солнечной системе и их роль в эволюции Земли и планет. Успехи Физических Наук 193, 2–32.
- Орнатская О.И., Альбер Я.И., Рязанцева И.П. (1975) Расчеты тепловой истории Луны при различных концентрациях радиоактивных элементов с учетом дифференциации вещества при плавлении. Космохимия Луны и планет. Ред. А.П. Виноградов. М.: Наука, 258–274.
- Очерки сравнительной планетологии (1981) Флоренский К.П., Базилевский А.Т., Бурба Г.А. М.: Наука, 326 с.
- Павленкова Н.И. (1996) Роль флюидов в формировании сейсмической расслоенности земной коры. Физика Земли 4, 51–61.
- Паньков В., Ульман В., Хайнрих Р., Краке Д.Т. (1998) Термодинамика глубинных геофизических сред. Российский Журнал Наук о Земле 1, 13–52.
- Печерникова Г. В., Сергеев В. Н. (2019) Краткий обзор гипотезы формирования протолунного роя в процессе ко-аккреции с учетом ударных выбросов вещества Земли. Динамические процессы в геосферах. Сборник научных трудов ИДГ РАН 11, 92–99. М.: Графитекс.
- Поляков В.Б., Кусков О.Л. (1994) Самосогласованная модель для расчета термоупругих и калорических свойств минералов. Геохимия (7), 1096–1122.
- Пущаровский Ю.М., Пущаровский Д.Ю. (2010) Геология мантии Земли. М.: ГЕОС, 140 с.
- Раевский С.Н., Гудкова Т.В., Кусков О.Л., Кронрод В. А. (2015) О согласовании моделей внутреннего строения Луны с данными гравитационного поля. Физика Земли 1, 139–147.
- Ризванов Н.Г., Нефедьев Ю.А., Кибардина М.И. (2007) Исследования по селенодезии и динамике Луны в Казани. Астрономический Вестник. 41, 154–164.
- Рускол Е.Л. (1997) Происхождение системы Земля-Луна. М.: ОИФЗ РАН, 16 с.
- Рускол Е.Л. (1975) Происхождение Луны. М.: Наука, 188 с.
- Сергеев В.Н., Печерникова Г.В. (2020) Современные модели происхождения Луны. Динамические процессы в геосферах 12, 130–137. https://doi.org/10.26006/IDG.2020.67.47.014.
- Слюта Е.Н. (2014) Физико-механические свойства лунного грунта (обзор). Астрономический Вестник 48, 358–382.
- Токсоц М.Н., Джонстон Д.Х. (1975) Эволюция Луны и планет земной группы. Космохимия Луны и планет. Ред. А.П. Виноградов. М.: Наука, 210–240.
- Фегли Б., Пальме Г. (1991) Химические процессы в Солнечной туманности. Известия. АН СССР. Физика Земли 8, 22–33.
- Фламарион К. (1994) История неба. М.: Изд-во «Золотой век».
- Чуйкова Н.А., Насонова Л.П., Максимова Т.Г. (2020) Определение глобальных плотностных неоднородностей и напряжений внутри Луны. Астрономический Вестник. 54(4), 325–336.
- Энеев Т.М. (1979) Новая аккумуляционная модель формирования планет и структура внешних областей солнечной системы. Препринт (166). ИПМ АН СССР, 23 с.
- Юри Г.С., Макдональд Г.Дж.Ф. (1973) Возникновение и история Луны. Физика и астрономия Луны. Под ред. З. Копала. М.: Мир, 230–316.
- Afonso J.C., Fernàndez M., Ranalli G., Griffin W.L., Connolly J.A.D. (2008) Integrated geophysical-petrological modeling of the lithosphere and sublithospheric upper mantle: Methodology and applications. Geochem. Geophys. Geosystems 9 (5), Q05008.
- Afonso J.C., Fullea J., Griffin W.L., Yang Y., Jones A.G., Connolly J.A.D., O’Reill, S.Y., (2013) 3D multi-observable probabilistic inversion for the compositional and thermal structure of the lithosphere and upper mantle I: a priori information and geophysical observables. J. Geophys. Res. Solid Earth 118, 2586–2617.
- Albarede F., Albalat E., Lee C.T. (2014) An intrinsic volatility scale relevant to the Earth and Moon and the status of water in the Moon. Meteorit. Planet. Sci. 1–10. doi: 10.1111/maps.12331.
- Anderson D.L. (1975) On the composition of the lunar interior. J. Geophys. Res. 80, 1555–1557.
- Anderson D. (1977) Formation and composition of the Moon / J.H. Pimeroy and N.J. Hubbard (Editors). The Soviet-American Conference on Cosmochemistry of the Moon and planets. NASA U.S. Goverment Print. Office, Washington, DC 20402, 823–845.
- Anderson O.L., Isaak D.L., Oda H. (1991) Thermoelastic parameters for six minerals at high temperature. J. Geophys. Res. 96, 18037–18046.
- Anderson O.L., Isaak D.L., Oda H. (1992) High-temperature elastic constant data on minerals relevant to geophysics. Rev. Geophys. 30, 57–90.
- Andreev A.O, Nefedyev Yu.A., Demina N.Y., Kolosov Yu.A., Korchagina E.P. (2023) Multiparametric analysis of celestial bodies as sources of space resources. St. Petersburg Polytech. Univ. J. Phys. Math. 16, 511–516.
- Andrews-Hanna J.C., Weber R.C., Garrick-Bethell I., Evans A.J., Kiefer W.S., Grimm R.E., Keane J.T., Laneuville M., Ishihara Y., Kamata S., Matsuyama I. (2023) The structure and evolution of the lunar interior. Reviews in Mineralogy & Geochemistry 89, 243–292.
- Armytage R.M.G., Georg R.B., Williams H.M., Halliday A.N. (2012) Silicon isotopes in lunar rocks: Implications for the Moon’s formation and the early history of the Earth. Geochim. Cosmochim. Acta 77, 504–514.
- Artemieva I.M. (2009) The continental lithosphere: Reconciling thermal, seismic, and petrologic data. Lithos 109, 23–46.
- Asphaug E. (2014) Impact Origin of the Moon? Annu. Rev. Earth Planet. Sci. 42, 551–578.
- doi: 10.1146/annurev-earth-050212-124057.
- Barboni M., Boehke P., Keller B., Kohl I.E., Shoene B., Young E.D., McKeegan K.D. (2017) Early formation of the Moon 4.51 billion years ago. Science Advances 3, e1602365.
- Barnes J., French R., Garber J., Poole W., Smith P., Tian Y. (2012) Science concept 2: The structure and composition of the lunar interior provide fundamental information on the evolution of a differentiated planetary body. In: Kring, D. and Durda, D., eds. A Global Lunar Landing Site Study to Provide the Scientific Context for Exploration of the Moon. LPI Contribution No. 1694. Houston, TX: LPI, 47–131.
- Barr A.C. (2016) On the origin of Earth’s Moon. J. Geophys. Res. 121, 1573–1601.
- Barr J.A., Grove T.L. (2013) Experimental petrology of the Apollo 15 group A green glasses: Melting primordial lunar mantle and magma ocean cumulate assimilation. Geochim. Cosmochim. Acta 106, 216–230.
- Bills B.G., Rubincam D.P. (1995) Constraints on density models from radial moments: Applications to Earth, Moon, and Mars. J. Geophys. Res. 100, 26305- 26315.
- Binder A.B. (1986) The initial thermal state of the Moon. Origin of the Moon / Eds. W.K. Hartmann et al. Houston: Lunar Planet. Inst., 425–433.
- Boukaré C.-E., Parmentier E., Parman S. (2018) Timing of mantle overturn during magma ocean solidification. Earth Planet. Sci. Lett. 491, 216–225.
- Buck W.R., Toksoz M.N. (1980) The bulk composition of the Moon based on geophysical constraints. Proc. 11th Lunar Planet. Sci. Conf., 2043–2058.
- Budde G, Burkhardt C., Kleine T. (2019) Molybdenum isotopic evidence for the late accretion of outer Solar System material to Earth. Nature Astronomy https://doi.org/10.1038/s41550–019-0779-y.
- Burbine T.H., McCoy T.J., Meibom A., Gladman B., Keil K. (2002) Meteoritic parent bodies: Their number and identification / Asteroids III, Bottke W.F., Cellino A., Paolicchi P., Binzel R.P. (eds), University of Arizona Press, Tucson, 653–667,
- BVSP, 1981 — Basaltic Volcanism Study Project. Basaltic Volcanism on the Terrestrial Planets. Pergamon, New York, 1286 pp.
- Cameron A.G.W., Benz W. (1991) The origin of the Moon and the single impact hypothesis: IV. Icarus 92, 204–216.
- Cammarano F., Goes S., Vacher P., Giardini D. (2003) Inferring upper-mantle temperatures from seismic velocities. Phys. Earth Planet. Inter. 138, 197–222.
- Cammarano F., Romanowicz B., Stixrude L., Lithgow-Bertelloni C., Xu W. (2009) Inferring the thermochemical structure of the upper mantle from seismic data. Geophys. J. Int. 179, 1169–1185.
- Campbell I.H., O’Neill H.St.C. (2012) Evidence against a chondritic Earth. Nature 483. doi: 10.1038/nature10901.
- Cano E.J., Sharp Z.D., Shearer C.K. (2020) Distinct oxygen isotope compositions of the Earth and Moon. Nature Geosci. 13, 270–274.
- Canup R. M. (2004) Simulations of a late lunar-forming impact. Icarus 168, 433–456.
- Canup R.M. (2012) Forming a Moon with an Earth-like composition via a giant impact. Science 338, 1052–1055.
- Canup R.M. (2014) Lunar-forming impacts: Processes and alternatives. Phil. Trans. R. Soc. A. 372. 20130175.
- Canup R.M., Righter K., Dauphas N., Pahlevan K., Ćuk M., Lock S.J., Stewart S.T., Salmon J., Rufu R., Nakajima M., Magna T. (2023) Origin of the Moon. Reviews in Mineralogy & Geochemistry 89, 53–102. https://doi.org/10.2138/rmg.2023.89.02
- Charlier B., Grove T.L., Namur O., Holtz F. (2018) Crystallization of the lunar magma ocean and the primordial mantle-crust differentiation of the Moon. Geochim. Cosmochim. Acta 234, 50–69.
- Chenet H., Lognonné Ph., Wieczorek M., Mizutani H. (2006) Lateral variations of lunar crustal thickness from the Apollo seismic data set. Earth Planet. Sci. Lett. 243, 1–14
- Clayton R.N., Mayeda T.K. (1996) Oxygen-isotope studies of achondrites. Geochim. Cosmochim. Acta 60, 1999–2018.
- Connolly J.A.D., Khan A. (2016) Uncertainty of mantle geophysical properties computed from phase equilibrium models. Geophys. Res. Lett. 43, doi: 10.1002/2016GL068239.
- Ćuk M., Stewart S.T. (2012) Making the Moon from a fast-spinning Earth: A giant impact followed by resonant despinning, Science 338, 1047–1052.
- Dauphas N. (2017) The isotopic nature of the Earth’s accreting material through time. Nature 541, 521–524.
- Dauphas N., Burkhardt C., Warren P.H., Fang-Zhen T. (2014) Geochemical arguments for an Earth-like Moon-forming impactor. Phil. Trans. R. Soc. A. 372, 20130244.
- de Capitani C., Brown T.H. The computation of equilibrium in complex systems containing non-ideal solutions // Geochim. Cosmochim. Acta 1987. V. 51. P. 2639–2652.
- Demidova S.I., Nazarov M.A., Lorenz C.A., Kurat G., Brandstätter F., Ntaflos Th. (2007) Chemical composition of lunar meteorites and the lunar crust. Petrology 15, 386–407.
- Desch S.J., Robinson K.L. (2019) A unified model for hydrogen in the Earth and Moon: No one expects the Theia contribution. Geochemistry 79, 125546.
- Discussion Meeting Issue (2014) ‘Origin of the Moon: challenges and prospects’ organised and edited by David J. Stevenson and Alex N. Halliday. Phil. Trans. R. Soc. A. 372.
- Draper D. S., duFrane S. A., Shearer, Jr, C. K., Dwarzski R. E., Agee C. B. (2006) High-pressure phase equilibria and element partitioning experiments on Apollo 15 green C picritic glass: Implications for the role of garnet in the deep lunar interior. Geochim. Cosmochim. Acta 70, 2400–2416
- Duffy T.S., Anderson D.L. (1989) Seismic velocities in mantle minerals and the mineralogy of the upper mantle. J. Geophys. Res. 94, 1895–1912.
- Duke M.B., Gaddis L.R., Taylor G.J., Schmitt H.H. (2006) Development of the Moon. Rev. Mineralogy & Geochemistry 60, 597–656.
- Dyal P., Parkin C.W., Daily W.D. (1976) Structure of the lunar interior from magnetic field measurements. 7th. Proc. Lunar Planet. Sci. Conf., 3077–3095.
- Dziewonski A., Anderson D.L. (1981) Preliminary reference Earth model. Phys. Earth Planet. Inter. 25, 297–356.
- Elardo S.M., Draper D.S., Shearer Jr C.K. (2011) Lunar magma ocean crystallization revisited: Bulk composition, early cumulate mineralogy, and the source regions of the highlands Mg-suite // Geochim. Cosmochim. Acta 75, 3024–3045.
- Elkins-Tanton L.T., Bercovici D. (2014) Contraction or expansion of the Moon’s crust during magma ocean freezing? Phil. Trans. Roy. Soc. A. 372, 20130240.
- Elkins-Tanton L.T., Burgess S., Yin Q.-Z. (2011) The lunar magma ocean: Reconciling the solidification process with lunar petrology and geochronology. Earth and Planet. Sci. Lett. 304, 326–336.
- Fabrichnaya O.B., Kuskov O.L. (1994) Constitution of the Moon: 1. Assessment of thermodynamic properties and reliability of phase relation calculations in the FeO-MgO-Al2O3-SiO2 system. Phys. Earth Planet. Inter. 83, 175–196.
- Fabrichnaya O.B., Saxena S.K., Richet P., Westrum E.E. (2004) Thermodynamic Data, Models and Phase Diagrams in Multicomponent Oxide Systems. Springer.
- Feldman W.C., Maurice S., Binder A.B., Barraclough B.L., Elphic R.C., Lawrence D.J. (1998) Fluxes of fast and epithermal neutrons from Lunar Prospector: Evidence for water ice at the lunar poles. Science 281,1496–1500.
- Gaffney A.M., Gross J., Borg L.E., Donaldson Hanna K.L., Draper D.S., Dygert N., Elkins-Tanton L.T., Prissel K.B., Prissel T.C., Steenstra E.S., van Westrenen W. (2023) Magmatic Evolution I: Initial Differentiation of the Moon. Reviews in Mineralogy & Geochemistry 89, 103–145.
- Gagnepain-Beyneix J., Lognonné P., Chenet H., Lombardi D., Spohn T. (2006) A seismic model of the lunar mantle and constraints on temperature and mineralogy. Phys. Earth Planet. Inter. 159, 140–166.
- Galimov E.M., Krivtsov A.M. (2012) Origin of the Moon. New concept. Geochemistry and dynamics. De Gruyter, 168 pp.
- Ganapathy R., Anders E. (1974) Bulk composition of the moon and earth estimated from meteorites. Proc. 5th Lunar Conf. Suppl. 5. Geochim. Cosmochim. Acta 2, 1181–1206.
- Garcia R.F., Gagnepain-Beyneix J., Chevrot S., Lognonné P. (2011) Very preliminary reference Moon model. Phys. Earth Planet. Inter. 188, 96–113.
- Garcia R.F., Khan A., Drilleau M., Margerin L., Kawamura T., Sun D., Wieczorek M.A., Rivoldini A., Nunn C., Weber R.C., Marusiak A.G., Lognonné P., Nakamura Y., Zhu P. (2019) Lunar Seismology: An update on interior structure models. Space Sci. Rev. 215 (50). https://doi.org/10.1007/s11214–019-0613-y.
- Geiss J., Rossi A.P. (2013) On the chronology of lunar origin and evolution. Implications for Earth, Mars and the Solar System as a whole. Astron. Astrophys. Rev. 21:68.
- Georg, R.B.; Halliday, A.N.; Schauble, E.A.; Reynolds, B.C. (2007) Silicon in the Earth’s core. Nature 447, 1102–1106.
- Goins N.R., Dainty A.M., Toksoz M.N. (1981) Lunar seismology: The internal structure of the Moon. J. Geophys. Res. 86, 5061–5074.
- Grimm R.E. (2013) Geophysical constraints on the lunar Procellarum KREEP Terrane. J. Geophys. Res.: Planets 118, 768–777.
- Grimm R.E. (2023) Lunar mantle structure and composition inferred from Apollo 12 — Explorer 35 electromagnetic sounding. https://arxiv.org/ftp/arxiv/papers/2305/2305.01462.pdf.
- Grossman L., Larimer W. (1974) Early chemical history of the solar system. Rev. Geophys. Space Phys. 12, 71–101.
- Gu L., Lin Y., Chen Y., Xu Y., Tang X., Hu S., Mao H., Li J. (2023) Measurement of ferric iron in Chang’e-5 impact glass beads. Earth, Planets and Space 75:151
- Gudkova T.V., Zharkov V.N. (2002) The exploration of the lunar interior using torsional oscillations. Planet. Space Sci. 50, 1037–1048.
- Gusev A., Kawano N., Petrova N. (2003) Gravitation Investigations on the SELENE mission and the existence of a lunar core. Astron. Astroph. Trans. 22, 579–584.
- Hagermann A., Tanaka S. (2006) Ejecta deposit thickness, heat flow, and a critical ambiguity on the Moon. Geophys. Res. Lett. 33, L19203.
- Harada Y., Goossens S., Matsumoto K., Yan J., Ping J., Noda H., Haruyama J. (2014). Strong tidal heating in an ultralow-viscosity zone at the core-mantle boundary of the Moon. Nat. Geosci. 7, 569–572.
- Harris A.W., Kaula W.M. (1975) A co-accretional model of satellite formation. Icarus 24, 516–524.
- Hartmann W.K. (2014) The giant impact hypothesis: past, present (and future?). Phil. Trans. R. Soc. A. 372: 20130249.
- Hartmann W.K, Davis D.R. (1975) Satellite-sized planetesimals and lunar origin. Icarus 24, 504–515.
- Hauri E.H., Saal A.E., Rutherford M.J., Van Orman J.A. Water in the Moon’s interior: Truth and consequences (2015) Earth Planet. Sci. Lett. 409, 252–264.
- Haviland H.F, Weber R.C., Neal C.R., Lognonné P., Garcia R.F. (2022) The Lunar Geophysical Network Landing Sites Science Rationale. The Planet. Sci. J. 3:40.
- Herwartz D., Pack A., Friedrichs B., Bischoff A. (2014) Identification of the giant impactor Theia in lunar rocks. Science 344, 1146–1150.
- Hess P.C., Parmentier E.M. (1995) A model for the thermal and chemical evolution of the Moon’s interior: implications for the onset of mare volcanism. Earth Planet. Sci. Lett. 134, 501–514.
- Hiesinger H., Head J.W. (2006) New Views of Lunar Geoscience: An Introduction and Overview. New Views of the Moon. Rev. Mineral. Geochem. 60, 1–81.
- Hirschmann M.M. (2000) Mantle solidus: Experimental constrain and the effects of peridotite composition // Geochem. Geophys. Geosystem 1, 2000GC000070.
- Hood L.L. (1986) Geophysical constraints on the lunar interior / In: Origin of the Moon. Eds. Hartmann W.K., Phillips R.J., Taylor G.J. Houston, TX: LPI, 361–388.
- Hood L.L., Jones J.H. (1987) Geophysical constraints on lunar bulk composition and structure: A reassessment. J. Geophys. Res. 92E, 396 -410.
- Hosono N., Karato S., Makino J., Saitoh T.R. (2019) Terrestrial magma ocean origin of the Moon. Nature Geoscience 12, 418–423. https://doi.org/10.1038/s41561–019-0354–2
- Hu S., He H., Ji J., Ji J., Lin Y., Hui H., Anand M., Tartèse R., Yan Y., Hao J., Li R., Gu L., Guo Q., He H., Ouyang Z. (2021) A dry lunar mantle reservoir for young mare basalts of Chang’E-5. Nature 2021. https://doi.org/10.1038/s41586–021-04107–9.
- Hu X., Ma P., Yang Y., Zhu M-H., Jiang T., Lucey P.G., Sun L., Zhang H., Li C., Xu R., He Z., Lin H., Huang C., Sun Y. (2019) Mineral abundances inferred from in situ reflectance measurements of Chang’E-4 landing site in South Pole-Aitken basin. Geophys. Res. Lett. 46, 9439–9447.
- Ida S., Canup R.M., Stewart G.R. (1997) Lunar accretion from an impact-generated disk. Nature 389, 353–357.
- Ivanov M.A., Hiesinger H., van der Bogert C.H., Orgel C., Pasckert J.H., Head J.W. (2018) Geologic history of the northern portion of the South Pole-Aitken basin on the Moon. J. Geophys. Res.: Planets 123, 2585–2612.
- Jarosewich E. (1990) Chemical analyses of meteorites: A compilation of stony and iron meteorite analyses. Meteoritics 25, 323–337.
- Javoy M., Kaminski E., Guyot F., Andrault D., Sanloup C., Moreira M., Labrosse S., Jambon A., Agrinier P., Davaille A., Jaupart C. (2010) The chemical composition of the Earth: enstatite chondrite models. Earth Planet. Sci. Lett. 293, 259–268.
- Jing J-J., Lin Y., Knibbe J.S., van Westrenen W. (2022) Garnet stability in the deep lunar mantle: Constraints on the physics and chemistry of the interior of the Moon. Earth Planet. Sci. Lett. 584, id. 117491.
- Johnson T.E., Morrissey L.J., Nemchin A.A., Gardiner N.J., Snape J.F. (2021) The phases of the Moon: modelling crystallisation of the lunar magma ocean through equilibrium thermodynamics. Earth Planet. Sci. Lett. 556, id. 116721.
- Jolliff B.L. (2021) Science and exploration of the Moon: Overview. Oxford Research Encyclopedias, Planetary Science. https://doi.org/10.1093/acrefore/9780190647926.013.19.
- Jolliff, B.L., Gillis, J.J., Haskin, L.A., Korotev, R.L., Wieczorek, M.W. (2000) Major lunar crustal terranes. Surface expressions and crust–mantle origins. J. Geophys. Res. 105, 4197–4216.
- Jones A.G., Evans R.L., Eaton D.W. (2009) Velocity–conductivity relationships for mantle mineral assemblages in Archean cratonic lithosphere based on a review of laboratory data and Hashin–Shtrikman extremal bounds. Lithos. 109, 131–143.
- Jones J.H., Delano J.W. (1989) A three component model for the bulk composition of the Moon. Geochim. Cosmochim. Acta 53, 513–527.
- Jones J.H., Palme H. (2000) Geochemical constraints on the origin of the Earth and Moon. Origin of the Earth and Moon / Eds. Canup R.M. Tucson: Univ. Arizona Press, 197–216.
- Kaminsky F. (2012) Mineralogy of the lower mantle: A review of ‘super-deep’ mineral inclusions in diamond. Earth-Science Rev. 110, 127–147.
- Karato S. (1993) Importance of anelasticity in the interpretation of seismic tomography. Geophys. Res. Lett. 20, 1623–1626.
- Karato S.-I. (2013) Geophysical constraints on the water content of the lunar mantle its implications for the origin of the Moon. Earth Planet. Sci. Lett. 384, 144–153.
- Kawamura T., Lognonné P., Nishikawa Y., Tanaka S. (2017) Evaluation of deep moonquake source parameters: Implication for fault characteristics and thermal state. J. Geophys. Res.: Planets 122, 1487–1504.
- Keihm S.J., Langseth M.G. (1977) Lunar thermal regime to 300 km. Proc. 8th Lunar Sci. Conf., 499–514.
- Kennet B.L.N., Engdahl E.R. (1991) Traveltimes for global earthquake location and phase identification. Geophys. J. Int. 105, 429–465.
- Khan A., Connolly J.A.D. (2008) Constraining the composition and thermal state of Mars from inversion of geophysical data. J. Geophys. Res.: Planets. 113, E07003.
- Khan A., Mosegaard K. (2000) New information on the deep lunar interior from an inversion of lunar free oscillation periods. Geophys. Res. Lett. 28, 1791–1794.
- Khan A., Mosegaard K. (2002) An inquiry into the lunar interior — a non linear inversion of the Apollo seismic data. J. Geophys. Res. 107, doi: 10.1029/2001JE001658.
- Khan A., Connolly J.A.D., Taylor S.R. (2008) Inversion of seismic and geodetic data for the major element chemistry and temperature of the Earth’s mantle. J. Geophys. Res. 113, B09308.
- Khan A., Connolly J.A.D., Maclennan J., Mosegaard K. (2007) Joint inversion of seismic and gravity data for lunar composition and thermal state. Geophys. J. Int. 168, 243–258.
- Khan A., Connolly J.A.D., Olsen N., Mosegaard K. (2006a) Constraining the composition and thermal state of the Moon from an inversion of electromagnetic lunar day-side transfer functions. Earth Planet. Sci. Lett. 248, 579–598.
- Khan A., Maclennan J., Taylor S.R., Connolly J.A.D. (2006b) Are the Earth and the Moon compositionally alike? Inferences on lunar composition and implications for lunar origin and evolution from geophysical modeling. J. Geophys. Res. 111, E05005.
- Khan A., Connolly J.A.D., Pommier A., Noir J. (2014) Geophysical evidence for melt in the deep lunar interior and implications for lunar evolution. J. Geophys. Res. Planets 119, 2197–2221.
- Khan A., Mosegaard K., Rasmussen K.L. (2000) A new seismic velocity model for the Moon from a Monte Carlo inversion of the Apollo lunar seismic data. Geophys. Res. Lett. 27, 1591–1594.
- Khan A., Pommier A., Neumann G., Mosegaard K. (2013) The lunar moho and the internal structure of the Moon: A geophysical perspective. Tectonophys. 609, 331–352.
- Khan A., Sossi P.A., Liebske C., Rivoldini A., Giardini D. (2022) Geophysical and cosmochemical evidence for a volatile-rich Mars. Earth Planet. Sci. Lett. 578, 117330.
- Kirk R.L., Stevenson D.J. (1989) The competition between thermal contraction and differentiation in the stress history of the Moon. J. Geophys. Res. 94, 12133–12144.
- Konrad W., Spohn T. (1997) Thermal history of the Moon: Implications for an early core dynamo and post-accretional magmatism. Adv. Space Res. 19, 1511–1521.
- Kronrod V.A., Kuskov O.L. (2011) Inversion of seismic and gravity data for the composition and core sizes of the Moon. Izv. Phys. Solid Earth 47, 711–730.
- Kronrod E., Matsumoto K., Kuskov O.L., Kronrod V, Yamada R., Kamata S. (2022) Towards geochemical alternatives to geophysical models of the internal structure of the lunar mantle and core. Adv. Space Sci. 69, 2798–2824. https://doi.org/10.1016/j.asr.2022.01.012.
- Kuskov O.L. (1995) Constitution of the Moon: 3. Composition of middle mantle from seismic data. Phys. Earth Planet. Inter. 90, 55–74.
- Kuskov O.L. (1997) Constitution of the Moon: 4. Composition of the mantle from seismic data. Phys. Earth Planet. Inter. 102, 239–257.
- Kuskov O.L., Belashchenko D.K. (2016) Molecular dynamics estimates for the thermodynamic properties of the Fe–S liquid cores of the Moon, Io, Europa, and Ganymede. Sol. Syst. Res. 50, 165–183. https://doi.org/10.1134/S0038094616030035.
- Kuskov O.L., Kronrod V.A. (1998a) Constitution of the Moon: 5. Constraints on composition, density, temperature, and radius of a core. Phys. Earth Planet Inter. 107, 285- 306.
- Kuskov O.L., Kronrod V.A. (1998b) A model of the chemical differentiation of the Moon. Petrology. 6, 564–582.
- Kuskov O.L., Kronrod V.A., Annersten H. (2006) Inferring upper-mantle temperatures from seismic and geochemical constraints: Implications for Kaapvaal craton. Earth Planet. Sci. Lett. 244, 133–154.
- Kuskov O.L., Kronrod V.A., Hood L.L. (2002) Geochemical constraints on the seismic properties of the lunar mantle. Phys. Earth Planet. Inter. 134, 175–189.
- Kuskov O.L., Kronrod V.A., Prokof’ev A.A. (2011) Thermal structure and thickness of the lithospheric mantle underlying the Siberian Craton from the Kraton and Kimberlit superlong seismic profiles. Izv. Phys. Solid Earth. 47, 155–175.
- Kuskov O.L., Kronrod V.A., Kronrod E.V. (2014a) Thermo-chemical constraints on the interior structure and composition of the lunar mantle. Phys. Earth Planet. Inter. 235, 84–95.
- Kuskov O.L., Kronrod V.A., Prokof’ev A.A., Pavlenkova N.I. (2014b) Petrological–geophysical models of the internal structure of the lithospheric mantle of the Siberian craton. Petrology. 22, 17–44.
- Kuskov O.L., Kronrod E.V., Kronrod V.A. (2019a) Thermo-chemical constraints on the lunar bulk composition and the structure of a three-layer mantle. Phys. Earth Planet. Inter. 286, 1–12.
- Kuskov O.L., Kronrod E.V., Kronrod V.A. (2019b) Geochemical constraints on the cold and hot models of the Moon’s interior: 2–Three-layer mantle. Solar System Research. 53 (2), 75–90.
- Kuskov O.L., Fabrichnaya O.B. (1994) Constitution of the Moon: 2. Composition and seismic properties of the lower mantle. Phys. Earth Planet. Inter. 83, 197–216.
- doi: 10.1016/0031-9201(94)90089-2.
- Kuskov O.L., Fabrichnaya O.B., Galimsyanov R.F., Truskinovsky L.M. (1989) Computer simulation of the phase diagram for the MgO–SiO2 system at P–T parameters of the mantle transition zone. Phys. Chem. Minerals. 16, 442–454.
- Kuskov O.L., Shapkin A.I., Sidorov Yu.I. (1996) The scope for hydrosilicates to exist in the lunar mantle. Geochem. Int. 33 (10), 67–79.
- Laneuville M., Wieczorek M.A., Breuer D., Tosi N. (2013) Asymmetric thermal evolution of the Moon. J. Geophys. Res.: Planets 118, 1435–1452.
- Langseth M.G., Keihm S.J., Peters K. (1976) Revised lunar heat flow values. Proc. Lunar Planet. Sci. Conf. 7th, 3143–3171.
- Lemelin M., Lucey P.G., Miljkovic K., Gaddis L.R., Hare T., Ohtake M. (2019) The compositions of the lunar crust and uppermantle: Spectral analysis of the inner rings of lunar impact basins. Planet. Space Sci. 165, 230–243.
- Lewis J.S. (1997) Physics and Chemistry of the Solar System. San Diego: Acad. Press.
- Li C., Liu D., Liu B., Ren X., Liu J., He Z., Zuo W., Zeng X., Xu R., Tan X., Zhang X., Chen W., Shu R., Wen W., Su Y., Zhang H., Ouyang Z. (2019) Chang’E-4 initial spectroscopic identification of lunar far-side mantle-derived materials. Nature 569, 378–382.
- Liebermann R.C., Ringwood A.E. (1976) Elastic properties of anortite and the nature of the lunar crust. Earth Planet. Sci. Lett. 31, 69–74.
- Lock S.J., Bermingham K.R., Parai R., Boyet M. (2020) Geochemical constraints on the origin of the Moon and preservation of ancient terrestrial heterogeneities. Space Sci. Rev. 216:109.
- Lock S.J., Stewart S.T., Petaev M.I., Leinhardt Z., Mace M.T., Jacobsen S.B., Cuk M. (2018) The origin of the Moon within a terrestrial synestia. J. Geophys. Res. Planets. 123, 910–951.
- Lodders K. (1998) A survey of shergottite, nakhlite and chassigny meteorites whole-rock compositions. Meteorit. Planet. Sci. 33, A183-Al90.
- Lodders K. (2003) Solar system abundances and condensation temperatures of the elements. Astrophys. J. 591, 1220–1247.
- Lognonné P. (2005) Planetary seismology. Annu. Rev. Earth Planet. 33, 571–604.
- Lognonné P., Gagnepain-Beyneix J., Chenet H. (2003) A new seismic model of the Moon: implications for structure, thermal evolution and formation of the Moon. Earth Planet. Sci. Lett. 211, 27–44.
- Lognonné P., Johnson C. (2007) Planetary seismology / Shubert G. (Ed.), Planets and Moons. In: Treatise in Geophysics 10. Elsevier., 69–122 (Chapter 4).
- Longhi J. (2006) Petrogenesis of picritic mare magmas: Constraints on the extent of early lunar differentiation. Geochim. Cosmochim. Acta 70, 5919–5934.
- Lucey P.G., Taylor G.J., Malaret E. (1995) Abundance and distribution of iron on the Moon. Science. 268 (5214), 1150–1153.
- Lyubetskaya T., Korenaga J. (2007) Chemical composition of Earth’s primitive mantle and its variance: 1. Method and results. J. Geophys. Res. 112, B03211.
- Marov M.Ya., Slyuta E.N. (2021) Early steps toward the lunar base deployment: Some prospects. Acta Astronautica. 181., 28–39.
- Matsumoto K., Yamada R., Kikuchi F., Kamata S., Ishihara Y., Iwata T., Hanada H., Sasaki S. (2015) Internal structure of the Moon inferred from Apollo seismic data and selenodetic data from GRAIL and LLR. Geophys. Res. Lett. 42. doi: 10.1002/2015GL065335.
- Matsuyama I., Nimmo F., Keane J.T., Chan N.H., Taylor G.J., Wieczorek M.A., Kiefer W.S., Williams J.G. (2016) GRAIL, LLR, and LOLA constraints on the interior structure of the Moon. Geophys. Res. Lett. 43, 8365–8375.
- Maurice M., Tosi N., Schwinger S., Breuer D., Kleine T. (2020) A long-lived magma ocean on a young Moon. Sci. Adv. 6 (28). eaba8949.
- McDonough W.F. (1990) Constraints on the composition of the continental lithospheric mantle. Earth Planet. Sci. Lett. 101, 1–18.
- McDonough W.F., Sun S. (1995) The composition of the Earth. Chem. Geol. 120, 223–253.
- McSween H.Y., McLennan S.M. (2014) Mars / Treatise on Geochemistry. 2.10, 251–300.
- McSween H.Y., Mittlefehldt D.W., Beck A.W., Mayne R. G., McCoy T.J. (2010) HED meteorites and their relationship to the geology of Vesta and the Dawn mission. In: Russell C., Raymond C. (eds) The Dawn Mission to Minor Planets 4 Vesta and 1 Ceres. Springer, New York, 141–174.
- Meier M.M.M., Reufer A., Wieler R. (2014) On the origin and composition of Theia: Constraints from new models of the Giant Impact. Icarus 242, 316–328.
- Melosh H. J. (2014) New approaches to the Moon’s isotopic crisis. Phil. Trans. R. Soc. A. 14 372, 20130168.
- Melosh H. J., Kendall J., Horgan B., Johnson B. C., Bowling T., Lucey P. G., Taylor G. J. (2017). South Pole–Aitken basin ejecta reveal the Moon’s upper mantle. Geology. 45(12), 1063–1066.
- Mittlefehldt D.W. (1979) The nature of asteroidal differentiation processes: Implications for primordial heat sources. Proc. 10-th Lunar. Planet. Sci. Conf., 1975–1993.
- Morgan J.W., Hertogen J., Anders E. (1978) The moon: Composition determined by nebular processes. Moon Planets 18, 465–478. https://doi.org/10.1007/BF00897296.
- Moriarty D.P., Dygert N., Valencia S.N., Watkins R.N., Petro N.E. (2021a) The search for lunar mantle rocks exposed on the surface of the Moon. Nature Comm. 12, 4659.
- Moriarty D.P., Watkins R.N., Valencia S.N. (2021b) Evidence for a stratified upper mantle preserved within the South Pole–Aitken Basin. J. Geophys. Res: Planets 121. id. e2020JE006589.
- Mosegaard K., Tarantola A. (1995) Monte Carlo sampling of solutions to inverse problems. J. Geophys. Res. 100, 12431–12447.
- Moynier F., Agranier A., Hezel D.C., Bouvier A. (2010) Sr stable isotope composition of Earth, the Moon, Mars, Vesta and meteorites. Earth Planet. Sci. Lett. 300, 359–366.
- Mueller S., Taylor G.J., Phillips, R.J. (1988) Lunar composition: A geophysical and petrological synthesis. J. Geophys. Res. 93, 6338–6352.
- Nakajima M., Stevenson D.J. (2018) Inefficient volatile loss from the Moon-forming disk: reconciling the giant impact hypothesis and a wet Moon. Earth Planet. Sci. Lett. 487,117–126.
- Nakamura J., Latham G., Lammlein D., Ewing M., Duennebier F., Dorman J. (1974) Deep lunar interior inferred from recent seismic data. Geophys. Res. Lett. 1, 137 — 140.
- Nakamura Y. (1983) Seismic velocity structure of the lunar mantle. J. Geophys. Res. 88, 677–686.
- Nakamura Y., Koyama J. (1982) Seismic Q of the lunar upper mantle. J. Geophys. Res. 87, 4855–4861.
- Nazarov M.A., Aranovich L.Y., Demidova S.I., Ntaflos T., Brandstätter F. (2011) Aluminous enstatites of lunar meteorites and deep-seated lunar rocks. Petrology 19, 1–13.
- Neal C.R. (2001) Interior of the Moon: The presence of garnet in the primitive deep lunar mantle. J. Geophys. Res.: Planets. 106, 27865–27885.
- Neal C.R. (2009) The Moon 35 years after Apollo: What’s left to learn? Chemie der Erde 69, 3–43.
- Neal C.R., Taylor L.A. (1992) Petrogenesis of mare basalts: A record of lunar volcanism. Geochim. Cosmochim. Acta 56, 2177–2212.
- Neumann G.A., Zuber M.T., Smith. D.E., Lemoine F.G. (1996) The lunar crust: global structure and signature of major basins. J. Geophys. Res. 101, 16841–16863.
- Newcombe M.E., Nielsen S.G., Peterson L.D., Wang J., Alexander C.M.O’D., Sarafian A.R., Shimizu K., Nittler L.R., Irving A.J. (2023) Degassing of early-formed planetesimals restricted water delivery to Earth. Nature 615, 854–857
- Newsom H.E., Taylor S.R. (1989) Geochemical implications of the formation of the Moon by a single giant impact. Nature 338, 29–34.
- Nielsen S.G., Bekaert D.V., Auro M. (2021) Isotopic evidence for the formation of the Moon in a canonical giant impact. Nat. Commun. 12, 1817. https://doi.org/10.1038/s41467-021-22155-7.
- Nimmo F., Faul U.H., Garnero E.J. (2012) Dissipation at tidal and seismic frequencies in a melt-free Moon. J. Geophys. Res. 117, E09005.
- Nunn C., Garcia R.F., Nakamura Y., Marusiak A.G., Kawamura T., Sun, D., Margerin L., Weber R., Drilleau M., Wieczorek M.A., Khan A., Rivoldini A., Lognonne P., Zhu P. (2020) Lunar seismology: A data and instrumentation review. Space Sci. Rev. 216, id. 89.
- Okabayashi S., Yokoyama T., Hirata T., Terakado K., Galimov E.M. (2020) Iron isotopic composition of very low-titanium basalt deduced from iron isotopic signature in Luna 16, 20 and 24 soils. Geochim. Cosmochim. Acta 269, 1–14.
- O’Neill H.St.C. (1991) The origin of the Moon and the early history of the Earth — A chemical model. Part 1: The Moon. Geochim. Cosmochim. Acta 55, 1135–1157.
- Pahlevan K. (2018) Telltale tungsten and the Moon. Nat. Geosci. 11, 16–18.
- Pahlevan K., Stevenson J. (2007) Equilibration in the aftermath of the lunar-forming giant impact. Earth Planet. Sci. Lett. 262, 438–449.
- Paige D.A., Siegler M.A. (2016) New constraints on lunar heat flow rates from LRO Diviner Lunar Radiometer Experiment polar observations. Lunar Planet. Sci. Conf. 47, 2753.
- Paige D.A., Siegler M.A., Zhang J.A., Hayne P.O., Foote E.J. (2010). Diviner lunar radiometer observations of cold traps in the moon’s south polar region. Science 330, 479–482.
- Pavlov D.A., Williams J.G., Suvorkin V.V. (2016) Determining parameters of Moon’s orbital and rotational motion from LLR observations using GRAIL and IERS-recommended models. Celest. Mech. Dyn. Astr. 126, 61–88.
- Petrova N.K., Nefedyev Y.A., Zagidullin A.A., Andreev A.O. (2018) Use of an analytical theory for the physical libration of the Moon to detect free nutation of the lunar core. Astronomy Reports. 62, 1021–1025.
- Poitrasson F., Zambardi T., Magna T., Neal C.R. (2019) A reassessment of the iron isotope composition of the Moon and its implications for the accretion and differentiation of terrestrial planets. Geochimica Cosmochimica Acta 267, 257–274.
- Polyakov V. B. (2009) Equilibrium iron isotope fractionation at core-mantle boundary conditions. Science 323, 912–914.
- Pommier A., Walter M.J., Hao M., Yang J., Hrubiak R. (2024) Acoustic and electrical properties of Fe-Ti oxides with application to the deep lunar mantle. Earth and Planet. Sci. Lett. 628, 118570.
- Prissel T.C., Gross J. (2020) On the petrogenesis of lunar troctolites: New insights into cumulate mantle overturn & mantle exposures in impact basins. Earth Planet. Sci. Lett. 551, 116531.
- Qian W., Wang W., Zou F., Wu Z. (2018) Elasticity of orthoenstatite at high pressure and temperature: Implications for the origin of low VP/VS zones in the mantle wedge. Geophys. Res. Lett. 45, 665–673.
- Raevskiy S.N., Gudkova T.V., Kuskov O.L. et al. (2015) On reconciling the models of the interior structure of the moon with gravity data. Izv., Phys. Solid Earth 51, 134–142. https:// doi.org/10.1134/S1069351315010127.
- Rai N., van Westrenen W. (2014) Lunar core formation: New constraints from metal–silicate partitioning of siderophile elements. Earth Planet. Sci. Lett. 388, 343–352.
- Rasmussen K., Warren P. (1985) Megaregolith thickness, heat flow, and the bulk composition of the Moon. Nature 313, 121–124. https://doi.org/10.1038/313121a0.
- Reufer A., Meier M.M.M., Bentz W., Wieler R. (2012) A hit-and-run giant impact scenario. Icarus 221, 296–9.
- Righter K., Drake M. J. (1997) A magma ocean on Vesta: core formation and petrogenesis of eucrites and diogenites. Meteorit. Planet. Sci. 32, 929–944.
- Ringwood A.E. (1977) Basaltic magmatism and the bulk composition of the Moon. I. Major and Heat-Producing Elements. The Moon 16, 389–423.
- Ringwood A.E. (1979) Origin of the Earth and Moon. New York: Springer, 295 p.
- Ringwood A.E., Essene E. (1970) Petrogenesis of Apollo 11 basalts, internal constitution and origin of the Moon. Proc. Apollo 11th Lunar Sci. Conf. 1, 769–799.
- Ringwood A. E., Kesson S. E. (1976). A dynamic model for mare basalt petrogenesis. 7th Lunar Science Conf. 2, 1697–1722.
- Robinson K.L., Taylor G.J. (2014) Heterogeneous distribution of water in the Moon. Nature Geoscience 7, 401–408.
- Rubie D.C., Nimmo F., Melosh H.J. (2015) Formation of the Earth’s core. Treatise on Geophysics — Evolution of the Earth, second ed. / Stevenson, D. (Ed.), 9, 43–79.
- Rufu R., Aharonson O., Perets H.B. (2017) A multiple-impact origin for the Moon. Nature Geosci. doi: 10.1038/NGEO2866.
- Ruzicka A., Snyder G.A., Taylor L.A. (2001) Comparative geochemistry of basalts from the Moon, Earth, HED asteroid, and Mars: Implications for the origin of the Moon. Geochim. Cosmochim. Acta 65, 979–997.
- Saal A.E., Hauri E.H., Lo Cascio M., Van Orman J.A., Rutherford M.C., Cooper R.F. (2008) Volatile content of lunar volcanic glasses and the presence of water in the Moon’s interior. Nature 454, 192–195.
- Sakai R., Nagahara H., Ozawa K., Tachibana S. (2014) Composition of the lunar magma ocean constrained by the conditions for the crust formation. Icarus 229, 45–56.
- Samuel H., Ballmer M. D., Padovan S., Tosi N., Rivoldini A., Plesa A.-C. (2021) The thermo-chemical evolution of Mars with a strongly stratified mantle. J. Geophys. Res.: Planets 126, e2020JE006613.
- Samuel H., Drilleau M., Rivoldini A., Xu Z., Huang Q., Garcia R.F., Lekic V., Irving J.C.E, Badro J., Lognonné P.H., Connolly J.A.D., Kawamura T., Gudkova T., Banerdt W.B. (2023) Geophysical evidence for an enriched molten silicate layer above Mars’ core. Nature 622, doi: 10.1038/s41586–023-06601–8.
- Saxena S.K., Chatterjee N. (1986) Thermochemical data on mineral phases: The system CaO-MgO-Al2O3-SiO2. J. Petrology 27, 827–842.
- Saxena S.K., Eriksson G. (1984) Theoretical computation of mineral assemblages in pyrolite and lherzolite. J. Petrol. 24, 538–555.
- Saxena S.K., Shen G. (1992) Assessed data on heat capacity, thermal expansion, and compressibility for some oxides and silicates. J. Geophys. Res. 97, 19813–19826.
- Schmidt M.W., Kraettli G. (2022) Experimental crystallization of the lunar magma ocean, initial selenotherm and density stratification, and implications for crust formation, overturn and the bulk silicate Moon composition. J. Geophys. Res.: Planets 127. id. e2022JE007187.
- Schubert G., Spohn T., Reynolds R.T. (1986) Thermal histories, compositions and internal structures of the moons in the Solar systems. Satellites / Eds. J. A. Burns, M.S. Matthews. Tucson: Univ. of Arizona Press, 224–292.
- Schwinger S., Breuer D. (2022) Employing magma ocean crystallization models to constrain structure and composition of the lunar interior. Phys. Earth Planet. Inter. 322, 106831.
- Shearer C.K., Hess P.C., Wieczorek M.A. Pritchard M.E., Parmentier E.M., Borg L.E., Longhi J., Elkins-Tanton L.T., Neal C.R., Antonenko I., Canup R.M., Halliday A.N., Grove T.L., Hager B.H., Lee D-C., Wiechert U. (2006) Thermal and magmatic evolution of the Moon. Rev. Mineral. Geochem. 60, 365–518.
- Sheng Si-Z., Su B., Wang S-J., Chen Y., Li Q-L., Wang H., Hui H., Wu S., Zhang B., Yuan J-Y. (2024) Orthopyroxene-dominated upper mantle melting built the early crust of the Moon. Communications Earth & Environment 5,403.
- Siegler M.A., Smrekar S.E. (2014) Lunar heat flow: Regional prospective of the Apollo landing sites. J. Geophys. Res.: Planets 119, 47–63.
- Siegler M., Nagihara S., Grott M., Warren P., Paige D., Kiefer W., Smrekar S., Wieczorek M. (2020) Lunar Heat Flow: Global Predictions and Reduced Heat Flux. Science Definition Team for Artemis 2017.
- Snyder G.A., Taylor L.A., Neal C.R. (1992) A chemical model for generating the source of mare basalts: Combined equilibrium and fractional crystallization of the lunar magmasphere. Geochim. Cosmochim. Acta 56, 3809–3823.
- Solomon S.C. (1986) On the early thermal state of the Moon / Origin of the Moon / Hartmann W.K. et al. (Eds). Houston, TX: LPI, 435–452.
- Sossi P.A., Moynier F. (2017) Chemical and isotopic kinship of iron in the Earth and Moon deduced from the lunar Mg-Suite. Earth Planet. Sci. Lett. 471, 125–135.
- Steenstra E.S., Berndt J., Klemme S., Fei Y., van Westrenen W. (2020) A possible high-temperature origin of the Moon and its geochemical consequences. Earth Planet. Sci. Lett. 538, 116222.
- Steinberger B., Zhao D., Werne S.C. (2015) Interior structure of the Moon: Constraints from seismic tomography, gravity and topography. Phys. Earth Planet. Inter. 245, 26–39.
- Stevenson D.J. Origin of the Moon — The collision hypothesis (1987) Annu. Rev. Earth Planet. Sci., 271–315.
- Stixrude L., Jeanloz R. (2015) Constraints on seismic models from other disciplines — Constraints from mineral physics on seismological models / Treatise on Geophysics, Seismology and the Structure of the Earth, 1, 829–852.
- Sun L., Lucey P.G. (2024) High Mg# orthopyroxenite exposure sites around the South Pole-Aitken basin: Candidate mantle exposures. 55th Lunar Planet. Sci. Conf., 1435.
- Svetsov V.V., Pechernikova G.V., Vityazev A.V. (2012) A model of Moon formation from ejecta of macroimpacts on the Earth. 43rd Lunar Planet. Sci. Conf. 1808.
- Tao S., Shi Y-L., Zhu B-J. (2023) Preliminary analysis of the relationship between the thermal stress of the Moon in cooling process and moonquake mechanisms. Chinese J. Geophys. 66, 3730–3746.
- Taylor G.J. (2013) The bulk composition of Mars. Chemie der Erde-Geochemistry 73, 401–420.
- Taylor G.J., Wieczorek M.A. (2014) Lunar bulk chemical composition: a post-Gravity Recovery and Interior Laboratory reassessment. Phil. Trans. R. Soc. A. 372: 20130242.
- Taylor R. (2016) The Moon. Acta Geochim. 35, 1–13
- Taylor S.R. (1982) Planetary Science: A Lunar Perspective. Houston. TX. LPI. 481 pp.
- Taylor S.R. (1987) The unique lunar composition and its bearing on the origin of the Moon. Geochim. Cosmochim. Acta 51, 1297–1309.
- Taylor S.R., Jakes P. (1977) Geochemical zoning and early differentiation in the Moon / J.H. Pimeroy and N.J. Hubbard (Editors). The Soviet-American Conference on Cosmochemistry of the Moon and planets. NASA U.S. Government Print. Office, Washington, DC 20402, 55–61.
- Taylor S.R ., Taylor G.J., Taylor L.A. (2006) The Moon: A Taylor perspective. Geochim. Cosmochim. Acta 70, 594–5918.
- Toksoz M.N. (1974) Geophysical data and the interior of the Moon. Annu. Rev. Earth Planet. Sci. 2, 151–177.
- Urey H.C. (1951) The origin and development of the earth and other terrestrial planets. Geochim. Cosmochim. Acta 1 (4–6), 209–277.
- van Kan Parker M., Sanloup С., Sator N., Guillot B., Tronche E.J., Perrillat J.-P., Mezouar M., Rai N., van Westrenen W. (2012) Neutral buoyancy of titanium-rich melts in the deep lunar interior. Nat. Geosci. 5, 186–189.
- Wanke H., Dreibus G. (1986) Geochemical evidence for the formation of the Moon by impact-induced fission of the proto-Earth. Origin of the Moon / Eds. W.K. Hartmann, R.J. Phillips and G.J. Taylor, Lunar Planet. Inst., Houston, 649–672.
- Wade J., Wood B.J. (2016) The oxidation state and mass of the Moon-forming impactor. Earth Planet. Sci. Lett. 442, 186–193.
- Walterová M., Běhounková M., Efroimsky M. (2023). Is there a semi-molten layer at the base of the lunar mantle? J. Geophys. Res.: Planets 128, e2022JE007652.
- Warren P.H. (2005) ‘‘New’’ lunar meteorites: implications for composition of the global lunar surface, lunar crust, and the bulk Moon. Meteorit. Planet. Sci. 40, 477–506.
- Warren P.H., Rasmussen K.L. (1987) Megaregolith insulation, internal temperatures, and bulk uranium content of the Moon. J. Geophys. Res. 92(B5), 3453–3465.
- Watters T.R., Robinson M.S., Banks M.E., Tran T., Denevi B.W. (2012) Recent extensional tectonics on the Moon revealed by the Lunar Reconnaissance Orbiter Camera. Nat. Geosci. 5, 181–185.
- Weber R.C., Lin P., Garnero E.J., Williams Q., Lognonné P. (2011) Seismic detection of the lunar core. Science 331, 309–312.
- Wei G., Li X., Gan H., Shi Y. (2023) Retrieval of lunar polar heat flow from Chang’E-2 microwave radiometer and Diviner observations. Front. Astron. Space Sci. 10,1179558.
- Weidenschilling S.J., Greenberg R., Chapman C.R., Herbert F., Davis D.R., Drake M. J., Jones J., Hartmann W. K. (1986) Origin of the Moon from a circum terrestrial disk. Origin of the Moon / (eds.: W.K. Hartman et al.). Lunar Planet. Inst., Houston, 731–762.
- Wiechert U., Halliday A.N., Lee D.C., Synder G.A., Taylor L.A., Rumble D. (2001) Oxygen isotopes and the moon-forming giant impact. Science 294(5541), 345–348.
- Wieczorek M.A., Phillips R.J. (2000) The “Procellarum KREEP Terrane”: Implications for mare volcanism and lunar evolution. J. Geophys. Res. 105E, 20417–20430.
- Wieczorek M.A., Jolliff B.J., Khan A., Pritchard M.E., Weiss B.J., Williams J.G., Hood L.L., Righter K., Neal C.R., Shearer C.K., McCallum I.S., Tompkins S., Hawke B.R., Peterson C., Gillis J.J., Bussey B. (2006) The constitution and structure of the lunar interior. Rev. Mineral. Geochem. 60, 221–364.
- Wieczorek M.A., Neumann G.A., Nimmo F., Kiefer W.S., Taylor G.J., Melosh H.J., Phillips R.J., Solomon S.C., Andrews-Hanna J.C., Asmar S.W., Konopliv A.S., Lemoine F.G., Smith D.E., Watkins M.M., Williams J.G., Zuber M.T. (2013) The crust of the Moon as seen by GRAIL. Science 339, 671–675.
- Williams J.G., Boggs D.H., Yoder C.F., Ratcliff J.T., Dickey J.O. (2001) Lunar rotational dissipation in solid body and molten core. J. Geophys. Res. 106, 27933–27968.
- Williams J.G., Boggs D.H. (2015) Tides on the Moon: Theory and determination of dissipation. J. Geophys. Res.: Planets 120, 689–724. doi: 10.1002/2014je004755.
- Williams J.G., Konopliv A.S., Boggs D.H., Park R.S., Yuan D-N., Lemoine F.G., Goossen S., Mazarico E., Nimmo F., Weber R.C., Asmar S.W., Melosh H.J., Neumann G.A., Phillips R.J., Smith D.E., Solomon S.C., Watkins M.M., Wieczorek M.A., Andrews-Hanna J.C., Head J.W., Kiefer W.S, Matsuyama I., McGovern P.J., Taylor G.J., Zuber M.T. (2014) Lunar interior properties from the GRAIL mission. J. Geophys. Res.: Planets. doi: 10.1002/2013JE004559.
- Wissing R., Hobbs D. (2020) A new equation of state applied to planetary impacts II. Lunar-forming impact simulations with a primordial magma ocean. Astronom. Astrophys. 643. A40.
- Wood M.C., Gréaux S., Kono Y., Kakizawa S., Ishikawa Y., Inoué S., Kuwahara H., Higo Y., Tsujino N., Irifune T. (2024) Sound velocities in lunar mantle aggregates at simultaneous high pressures and temperatures: Implications for the presence of garnet in the deep lunar interior. Earth Planet. Sci. Lett. 641, 118792.
- Xiao L., Head J.W. (2020) Geological characteristics of the Moon. Oxford Research Encyclopedias, Planetary Science. https://doi.org/10.1093/acrefore/9780190647926.013.90.
- Yamada R., Matsumoto K., Kikuchi F., Sasaki S. (2014) Error determination of lunar interior structure by lunar geodetic data on seismic restriction. Phys. Earth Planet. Inter. 231, 56–64.
- Yamamoto S., Nagaoka H., Ohtake M., Kayama M., Karouji Y., Ishihara Y., Haruyama J. (2023) Lunar mantle composition based on spectral and geologic analysis of low-Ca pyroxene and olivine-rich rocks exposed on the lunar surface. J. Geophys.Res.: Planets. 128, e2023JE007817.
- Yanai K. (1997) General view of twelve martian meteorites. Mineral. J. 19, 65–74.
- Yang B., Wang Y. (2023) Analysis of reliability and accuracy of lunar core detection based on Apollo moonquake observation. Front. Astron. Space Sci. 10:1217990. doi: 10.3389/fspas.2023.1217990.
- Yang H., Zhao W. (2015) Improved views of the Moon in the early twenty first century: A Review. Earth Moon Planets 114, 101–135.
- Yang X. (2012) Orientation-related electrical conductivity of hydrous olivine, clinopyroxene and plagioclase and implications for the structure of the lower continental crust and uppermost mantle. Earth Planet. Sci. Lett. 317–318, 241–250.
- Yang Z., Wang G., Xu Y., Zeng Y., Zhang Z. (2022) A review of the lunar 182Hf-182W isotope system research. Minerals 12, 759.
- Yoshizaki T., McDonough W.F. (2020) The composition of Mars. Geochim. Cosmochim. Acta 273, 137–162.
- Yu S., Tosi N., Schwinger S., Maurice M., Breuer D., Xiao L. (2019) Overturn of ilmenite-bearing cumulates in a rheologically weak lunar mantle. J. Geophys. Res.: Planets 124, 418–436.
- Zhang D., Li X., Li Q., Lang L., Zheng Y. (2014) Lunar surface heat flow mapping from radioactive elements measured by Lunar Prospector, Acta Astronaut., 99, 85–91.
- Zhang J., Liu J. (2024) Thorium anomaly on the lunar surface and its indicative meaning. Acta Geochim. 43, 507–519.
- Zhang J., Head J.W., Liu J., Potter R.W.K. (2023) Lunar Procellarum KREEP Terrane (PKT) stratigraphy and structure with depth: Evidence for significantly decreased Th concentrations and thermal evolution consequences. Remote Sens. 15, 1861.
- Zhang N., Parmentier E.M., Liang Y. (2013) A 3D numerical study of the thermal evolution of the Moon after cumulate mantle overturn: The importance of rheology and core solidification. J. Geophys. Res. Planets 118, 1789–1804.
- Zhu M.‐H., Wünnemann K., Potter R.W.K., Kleine T., Morbidelli A. (2019) Are the Moon’s nearside‐farside asymmetries the result of a giant impact? J. Geophys. Res. Planets 124. https://doi.org/10.1029/2018JE005826.
Supplementary files















