Crystallization of borosilicate melts containing Na and Cs: results of Raman spectroscopy
- Authors: Koroleva O.N.1,2, Nevolina L.A.1,2, Krivenko A.P.2
-
Affiliations:
- South Urals Research Center of Mineralogy and Geoecology of the Urals Branch of the Russian Academy of Sciences
- Vernadsky Institute of Geochemistry and Analytical Chemistry of the Russian Academy of Sciences
- Issue: Vol 69, No 10 (2024)
- Pages: 914–922
- Section: Articles
- URL: https://journals.rcsi.science/0016-7525/article/view/277512
- DOI: https://doi.org/10.31857/S0016752524100035
- EDN: https://elibrary.ru/ILYHUW
- ID: 277512
Cite item
Full Text
Abstract
The structure of borosilicate glass and the glass-ceramic material obtained from it was studied using Raman spectroscopy for samples of two compositions with different Cs/Na ratios. The materials were synthesized in two different modes. The anionic environment of cesium in glass and the structural rearrangements of the network during the formation of crystalline phases have been studied. X-ray diffraction patterns of glass-ceramic samples made it possible to determine the only crystalline phase of CsBSi2O6, the structure of which was not unambiguously determined. Glass ceramics of the studied composition can be used to immobilize cesium by incorporating it into crystalline phases of the CsBSi2O6 composition, while sodium remains located in the glassy matrix. As a result of the research, it was shown that the composition of the crystalline phase does not depend on the initial ratio of alkali cations, while the ratio between the amounts of ordered and amorphous phases depends on the kinetics of the melt cooling process.
Keywords
Full Text
Введение
В настоящее время существует ряд разработок по иммобилизации радиоактивных отходов (РАО), в том числе по остекловыванию их в матрицы различных по составу стекол (боросиликатных, алюмофосфатных). Полученные материалы должны обладать как химической, так и физической стойкостью под воздействием изменяющихся условий в течение длительного времени. Если жидкость охлаждается ниже температуры ликвидуса, и при этом не происходит кристаллизации, вязкость в конечном итоге становится настолько высокой, что в масштабе времени эксперимента течения не происходит и жидкость переходит в стеклообразное состояние, то есть в твердое тело с неупорядоченным расположением атомов (Mysen, Richet, 2019). С другой стороны, стекла метастабильны, то есть их внутренняя энергия выше, чем энергия соответствующего кристаллического вещества при тех же условиях, поэтому в стекле, в частности, наблюдается тенденция к самопроизвольной кристаллизации. Вопрос о том, когда и при каких условиях произойдет кристаллизация может играть ключевую роль при выборе химического состава для остекловывания РАО. Произвольная кристаллизация стекол − зачастую нежелательный процесс, так как может приводить к механическому разрушению стекол за счет формирования напряжений на границе кристалл − стекол, тогда как управляемое формирование определенных упорядоченных фаз способствует упрочнению материала (Serbena et al., 2015) и увеличению стойкости матрицы к выветриванию (Jantzen, 2011). В целом, с помощью прогнозируемой направленной кристаллизации можно получать стеклокерамические материалы, обладающие рядом дополнительных преимуществ. Они включают в себя более высокую термическую стабильность, чем у боросиликатного стекла, превосходные механические свойства и способность адаптировать многие из свойств для решения конкретных задач применения. Кроме того, стеклокерамика обычно более устойчива к изменениям состава РАО, чем соответствующая кристаллическая керамика, полученная традиционными способами, благодаря сочетанию кристаллической и стеклообразной фаз.
Существует ряд работ, в которых была показана возможность применения многофазных систем, состоящих из стекла с кристаллическими включениями, в качестве перспективных материалов для иммобилизации (Лаверов и др., 2009; Donald, 2010; Kim, Heo, 2015; Малинина, 2016; Zhu et al., 2020; Ojovan et al., 2021). В зависимости от типа матричного материала механизмы удержания радионуклидов различны (McCloy, Goel, 2017). В отличие от стекол, где они часто встраиваются в структуру сетки, в стеклокерамике выделяют несколько способов вхождения, что позволяет выделить три типа стеклокерамических материалов. При первом типе в матрице образуется небольшая доля кристаллов, но радионуклиды располагаются не в них, а остаются в стекле. Для второго типа характерно образование кристаллов, в которые входят некоторые радионуклиды, в то время как другие находятся в стекле. При этом стекло образует дополнительный барьер вокруг кристаллов. Во втором типе стеклокерамики, по меньшей мере, один радионуклид удерживается в кристаллической фазе с использованием специально подобранного состава из соображений кристаллохимии для выбора подходящей фазы-носителя. В третьем типе большинство или все радионуклиды включены в кристаллическую структуру одной или нескольких фаз, а окружающее стекло служит для соединения и дополнительной защиты этих кристаллов.
Ранее были исследованы процессы кристаллизации боросиликатов с лейцитоподобной структурой, результаты которых детально представлены в работах (Bubnova et al., 2004; Krzhizhanovskaya et al., 2018; Деркачева, 2021). Фурукава и Уайт (Furukawa, White, 1981) при изучении боросиликатных стекол системы Na2O-B2O3-SiO2, получили кристаллическую фазу, представленную боратом и силикатами натрия. Исследование структуры и термических свойств более сложных смешанно-щелочных стекол с добавлением цезия в пределах 0–9.66 мол. % и представляющих собой базовое стекло для захоронения РАО, было выполнено Паркинсоном и др. (Parkinson et al., 2005). Однако включение цезия в кристаллическую фазу в боросиликатной системе состава Na2O-Сs2O-B2O3-SiO2 ранее не исследовалось. В связи с этим, особый интерес представляет изучение кристаллизации полищелочного расплава и связанные с этим структурные изменения. Если рассматривать стекла как прекурсоры стеклокерамических материалов, то интересно проследить взаимосвязь между фазовым составом последних и структурой исходных стекол. Понимание механизмов катионно-анионного взаимодействия в оксидной многокомпонентной системе позволит прогнозировать формирование определенных фаз при кристаллизации. Структура некристаллических образцов и полученной из них стеклокерамики может быть исследована методом спектроскопии комбинационного рассеяния, поскольку структурные единицы оксидных систем идентифицируются по характерным полосам в спектрах. Одной из задач работы было определение зависимости структуры стекол и получаемой стеклокерамики от соотношения оксидов натрия и цезия в исходном расплаве. Особое внимание было уделено структурному положению цезия в стекле, способности его вхождения в кристаллическую фазу и определению типа стеклокерамического материала.
Экспериментальная часть
Синтез исходных стекол составов xNa2O•(30-x)Cs2O•20B2O3•50SiO2, где x = 7.5 и 15 (1Na3Cs50 и 2Na2Cs50 соответственно), проводился путем плавления шихты с последующей отливкой на воздухе. Для приготовления шихты использовались просушенные реагенты (карбонат натрия и цезия, оксиды кремния и бора) квалификации “хч” и “осч” в соответствующих пропорциях. Для определения навески использовались лабораторные весы Сартогосм СЕ-224С с точностью 0.1 мг. Подготовленная шихта была сплавлена в платиновом тигле в муфельной печи СНОЛ 12/12 в несколько этапов. Предварительно шихта была выдержана при температуре 900 °C в течение 1 ч, затем тигель с образцом нагревался до 1100 °C и выдерживался в течение 1.5 ч для полной гомогенизации расплава. Изображения образцов были получены с помощью поляризационного микроскопа ADF U300P с цифровой камерой ULTRA 09.
Спектры комбинационного рассеяния исходных стекол и стеклокерамических образцов после отжига были зарегистрированы на спектрометре Renishaw inVia Reflex (λ = 532 нм) в спектральном диапазоне 100–1700 см–1. Для получения информации о качественном распределении структурных единиц в стеклах, спектры комбинационного рассеяния были представлены как суперпозиция линий гауссовой формы. Для этого предварительно была выполнена коррекция базовой линии спектров, а также была проведена нормировка по пиковой интенсивности согласно методике, применяемой ранее для оксидных стекол и расплавов (Koroleva, Shabunina, 2013; Koroleva, 2017; Nevolina et al., 2021; Nevolina et al., 2023). Разложение спектров выполнено с помощью программного обеспечения PeakFit v. 4.11.
Результаты
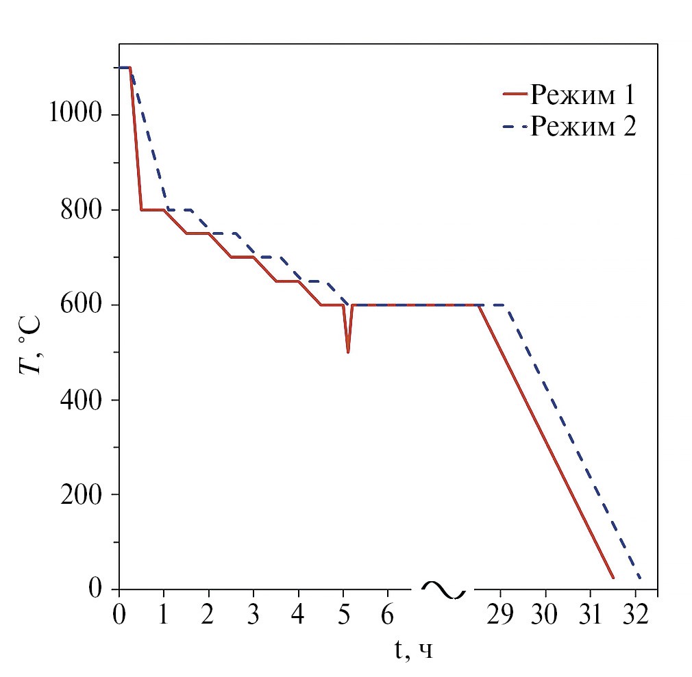
С целью получения стеклокерамических образцов использовался петрургический метод в двух режимах (рис. 1). Для этого измельченные образцы стекол 1Na3Cs50 и 2Na2Cs50 помещались в кварцевые тигли, выдерживались при 1100 °C в муфельной печи и постепенно охлаждались до 600 °C. Согласно режиму № 1, обозначенному на схеме красным цветом, образцы однократно подвергались резкому охлаждению до 500 °C для замедления процесса нуклеации с последующим нагревом до 600 °C и выдержкой в течение 24 часов при заданной температуре с целью кристаллизации по всему объему. После чего образцы самопроизвольно остывали в печи до комнатной температуры. Режим отжига № 2, обозначенный на схеме синим цветом, отличается от № 1 меньшей скоростью изменения температуры на первом этапе и отсутствием кратковременного охлаждения до 500 °C.
Рис. 1. Схематичное изображение режимов № 1 (красным) и № 2 (синим) для синтеза стеклокерамических материалов из расплавов.
На рис. 2 приведены фотографии образцов стекла и материалов, полученных после отжига.
Рис. 2. Фото образцов стекла 1Na3Cs50 и стеклокерамических материалов составов 1Na3Cs50 и 2Na2Cs50.
Структура боросиликатных стекол 1Na3Cs50 и 2Na2Cs50
Спектры комбинационного рассеяния исходных боросиликатных стекол, представленные на рис. 3а, характеризуются широкой полосой в области низких частот от 400 до 800 см–1. Положение основного максимума полосы в данной области зависит от типа катиона модификатора.
Рис. 3. Спектры комбинационного рассеяния исходных стекол системы 30(Na2O+Cs2O)·20B2O3·50SiO2, содержащих натрий и цезий в различных соотношениях (а). Разложение спектров комбинационного рассеяния на суперпозицию линий (б). Q2 – тетраэдры SiO4 с двумя немостиковыми атомами кислорода; Q3 – тетраэдры SiO4 с одним немостиковым атомом кислорода; [3]B – структурные единицы, содержащие трехкоординированные атомы бора; [4]B – структурные единицы, содержащие атомы бора в четвертной координации.
Для спектра стекла, в составе которого присутствуют равные количества цезия и натрия, характерна полоса с максимумом около 626 см–1. При соотношении катионов-модификаторов Cs/Na равному трем наблюдается увеличение интенсивности плеча в области 594 см–1, что приводит к раздвоению низкочастотной полосы. Обе полосы характерны для колебаний мостиковых атомов кислорода в боратно-силикатной сетке. Кроме того, можно отметить полосу слабой интенсивности в области 752–754 см–1, которая отвечает за симметричные валентные колебания связей в триборатных и ди-триборатных кольцах, содержащих, в том числе, четырехкоординированные атомы бора [4]B. Уменьшение этой полосы в спектре комбинационного рассеяния стекла 1Na3Cs50 по сравнению со спектром стекла 2Na2Cs50 говорит об уменьшении количества четырехкоординированных атомов бора [4]B в сетке при замещении натрия на цезий. Полоса в районе 550 см–1 характерна для симметричных валентных и частично деформационных колебаний связей Si-O-Si. Кроме того, на спектрах стекол обоих составов присутствует слабовыраженная полоса с максимумом около 700 см–1, в зависимости от состава, характерная для колебаний связей в метаборатных цепочках или группах, содержащих трехкоординированный атом бора [3]B (Manara et al., 2009; Koroleva, Shabunina, 2013; Osipov et al., 2015; Nevolina et al., 2021).
В области средних частот наблюдаются две ярко выраженные характерные для колебаний кремнекислородных тетраэдров полосы – интенсивная с максимумом 1092 см–1 и слабая полоса около 940 см–1. Первая связана с колебаниями структурных единиц с одним немостиковым атомом кислорода (Q3), вторая соответствует колебаниям структурной единицы, содержащей два немостиковых атома кислорода (Q2) (Bykov et al., 2009; Быков и др., 2009; Manara et al., 2009). Можно отметить, что увеличение содержания цезия в стекле приводит к уменьшению интенсивности последней и смещению ее максимума в низкочастотную область. В высокочастотной области спектров присутствует широкая полоса с максимумом около 1462 см–1, которая характерна для колебания боратных треугольников в боросиликатной сетке стекла, содержащих бор в трехкоординированном состоянии [3]B. (Koroleva et al., 2011; Koroleva, Shabunina, 2013).
Из результатов проведенного разложения спектров комбинационного рассеяния (рис. 3б) можно заметить, что замещение натрия на цезий в составе боросиликатного стекла практически не влияет на количество и положение основных полос. Однако, изменение состава стекла приводит к заметным вариациям интенсивностей линий, что говорит об изменениях структуры. Можно отметить три основных отличия спектров стекол 1Na3Cs50 и 2Na2Cs50, обусловленных следующими значимыми изменениями в структуре. Во-первых, при увеличении содержания цезия в составе стекла происходит уменьшение количества Q2-единиц, что подтверждается отношениями интенсивностей линий с максимумами 940 и 1009 см–1, равными 0.87 и 0.89 соответственно. Отношение интенсивностей линии с максимумом 1091 см–1 в спектрах КР образцов до и после кристаллизации равно 1.20, из чего можно сделать вывод об увеличении содержания Q3-единиц. Это подтверждается увеличением количества мостиковых связей Si-O-Si, характерная полоса для которых появляется в области 594 см–1 на спектре комбинационного рассеяния стекла 1Na3Cs50. Во-вторых, наблюдается уменьшение доли четырехкоординированного бора [4]B в составе различных надструктурных боратных группировок (752–754 см–1). И в-третьих, при увеличении содержания цезия в составе стекла наблюдается уменьшение интенсивности высокочастотной полосы около 1463 см–1, которое связано с уменьшением количества боратных треугольников BO3 в системе. Для наглядности интенсивности основных полос приведены на рис. 4 в виде диаграммы.
Рис. 4. Сопоставление интегральных интенсивностей характеристических полос спектров стекол 1Na3Cs50 и 2Na2Cs50.
Исходя из полученных данных, становится очевидным, что встраивание катиона-модификатора в структуру за счет разрыва связей B-O-B с образованием боратных треугольников различного типа, также как за счет увеличения координационного числа атомов бора, в большей степени наблюдается для стекла 2Na2Cs50, чем в 1Na3Cs50. Таким образом, данный механизм характерен для стекла с меньшим содержанием цезия, тогда как его рост в системе приводит к увеличению количества силикатных тетраэдров с одним немостиковым атомом кислорода. Данные хорошо согласуются с результатами, полученными ранее методом ЯМР при изучении боросиликатных стекол (Kaneko et al., 2017). В работе авторов показано, что координационное число атома цезия уменьшается с ростом соотношения Cs/Na, тогда как окружение атомов натрия слабо меняется в зависимости от состава.
Синтез и структура стеклокерамических образцов
В результате синтеза стеклокерамики из расплавов двух исследуемых составов обнаружена их частичная кристаллизация, при этом объем кристаллической фазы значительно зависит от режима термической обработки и меньше – от количественного соотношения щелочных катионов. На рис. 5 и 6 приведены изображения кристаллов, обнаруженных в стеклокерамических образцах 1Na3Cs50-I и 2Na2Cs50-I соответственно, полученных согласно схеме № 1. Также на рисунках представлены спектры комбинационного рассеяния кристаллов в сопоставлении со спектрами исходных стекол. Из результатов химического анализа по данным СЭМ были определены составы полученных кристаллов в образцах 1Na3Cs50-I и 2Na2Cs50-I. Они соответствуют химической формуле боросиликата CsBSi2O6 (Koroleva et al., 2023). Кристаллическая структура полученного в обоих образцах боросиликата цезия не была определена однозначно, поскольку не удалось найти дифракционного соответствия с какими-либо фазами. Тем не менее, химический состав образованных упорядоченных фаз однозначно свидетельствует в пользу включения в них цезия.
Рис. 5. Спектры комбинационного рассеяния стекла состава 1Na3Cs50 и стеклокерамического материала 1Na3Cs50-I, полученного из расплава при термической обработке согласно режиму № 1 (a). Оптическое изображение стеклокерамики 1Na3Cs50-I (б).
Рис. 6. Спектры комбинационного рассеяния стекла состава 2Na2Cs50 и стеклокерамического материала 2Na2Cs50-I, полученного из расплава согласно режиму № 1 (а). Оптическое изображение стеклокерамики 2Na2Cs50-I (б).
На рис. 7 и 8 представлены результаты исследования стеклокерамических образцов 1Na3Cs50-II и 2Na2Cs50-II соответственно, полученных согласно схеме № 2. Для каждого состава приведены спектры комбинационного рассеяния исходного стекла, стеклообразного участка стеклокерамики и образовавшихся в ней кристаллов. Также на рисунках приведены изображения образцов, полученные на микроскопе в отраженных лучах.
Рис. 7. Спектры КР исходного стекла 1Na3Cs50 и различных участков стеклокерамики, полученной при термической обработке согласно режиму № 2 (а). Оптическое изображение стеклокерамики 1Na3Cs50-II (б).
Рис. 8. Спектры КР исходного стекла 2Na2Cs50, аморфной и кристаллической частей стеклокерамики, полученной согласно режиму № 2 (а). Оптическое изображение стеклокерамики 2Na2Cs50-II (б).
Из рис. 5–8 можно отметить подобие спектров комбинационного рассеяния кристаллов, полученных во всех четырех стеклокерамических образцах. Наиболее отчетливые пики в области 500–600 см–1 характерны для образцов, кристаллические фазы в которых находятся на поверхности. Медленное остывание в печи (режим № 2) способствовало образованию большого количества кристаллов, которые были обнаружены по всему объему образцов 1Na3Cs50-II и 2Na2Cs50-II. Резкое охлаждение на начальном этапе формирования кристаллов (режим № 1) достаточно сильно повлияло не только на их количество, но и на форму. Сопоставление морфологии кристаллов, полученных различными способами из расплава 2Na2Cs50, можно провести из их фото, приведенных на рис. 6 и 8. Можно отметить несовершенную форму первого, тогда как постепенное охлаждение расплава при режиме № 2 и длительная выдержка при температуре, близкой к Tg, без резких изменений условий кристаллизации, способствовала образованию множества полноценных кристаллов гексагональной формы.
При сопоставлении спектров комбинационного рассеяния исходных стекол и аморфных фаз стеклокерамических образцов, полученных при интенсивной кристаллизации боросиликата цезия CsBSi2O6 из расплавов 1Na3Cs50 и 2Na2Cs50 при отжиге в режиме № 2, можно отметить изменения в областях некоторых характеристических полос. Вариации интенсивностей отдельных линий вызваны изменениями структуры матрицы, а именно увеличением количества связей между боратными и силикатными тетраэдрами, а также уменьшением доли асимметричных боратных треугольников и перераспределением немостиковых атомов кислорода между кремнекислородными структурными единицами. Очевидно, что подобные изменения структуры происходят при значительном изменении химического состава стеклообразной матрицы по сравнению с исходным стеклом. Таким образом, прослеживается взаимосвязь между изменением аморфной составляющей матрицы и кристаллизацией значительного количества упорядоченной фазы нестехиометричного с расплавом состава. Кроме того, перенос значительного количества цезия из расплава в кристалл очевидно будет иметь последствия для устойчивости стеклокерамического материала и требует дальнейших исследований. Следует заметить, что кристаллизация из расплава при выбранных режимах привела к образованию стеклокерамических материалов второго типа. Образованная кристаллическая фаза представляет собой боросиликат цезия, а натрийсодержащее стекло обеспечивает дополнительное капсулирование.
Выводы
Таким образом, исследованы содержащие в различных соотношениях катионы Na и Cs боросиликатные стекла, которые являются подходящими прекурсорами для стеклокерамики. Показано, что стеклокерамика изученного состава может быть использована для иммобилизации цезия путем включения его в прочные кристаллические фазы состава CsBSi2O6, тогда как натрий остается размещен в стеклообразной составляющей. Показано, что фазовый состав полученных кристаллов не зависит от исходного соотношения щелочных катионов, тогда как под влиянием кинетической составляющей формируются различные по характеристикам материалы. Термический режим синтеза стеклокерамического материала значительно влияет как на количество кристаллов, так и на их основной размер, который колеблется от 10 до 30 мкм.
Авторы признательны научному редактору А.А. Ширяеву за внимание и интерес, оказанные статье, О.А. Луканину за актуальные вопросы и замечания, а также рецензентам за ценные замечания и предложения, которые способствовали ее улучшению.
Авторы также благодарят РНФ за финансовую помощь (проект № 22-17-20005, https://rscf.ru/project/22-17-20005). Синтез образцов проведен за счет государственного задания ЮУ ФНЦ МиГ УрО РАН, часть аналитических работ выполнена при поддержке проектом государственного задания ГЕОХИ РАН.
About the authors
O. N. Koroleva
South Urals Research Center of Mineralogy and Geoecology of the Urals Branch of the Russian Academy of Sciences; Vernadsky Institute of Geochemistry and Analytical Chemistry of the Russian Academy of Sciences
Author for correspondence.
Email: olgankoroleva@gmail.com
Institute of Mineralogy
Russian Federation, Ilmen State Reserve, Miass, 456317; Kosygina st., 19, Moscow, 119991L. A. Nevolina
South Urals Research Center of Mineralogy and Geoecology of the Urals Branch of the Russian Academy of Sciences; Vernadsky Institute of Geochemistry and Analytical Chemistry of the Russian Academy of Sciences
Email: olgankoroleva@gmail.com
Institute of Mineralogy
Russian Federation, Ilmen State Reserve, Miass, 456317; Kosygina st., 19, Moscow, 119991A. P. Krivenko
Vernadsky Institute of Geochemistry and Analytical Chemistry of the Russian Academy of Sciences
Email: olgankoroleva@gmail.com
Russian Federation, Kosygina st., 19, Moscow, 119991
References
- Быков В.Н., Королева О.Н., Осипов А.А. (2009) Структура силикатных расплавов по данным спектроскопии комбинационного рассеяния и термодинамического моделирования. Геохимия (11), 1138–1145.
- Bykov V.N., Koroleva O.N., Osipov A.A. (2009) Structure of silicate melts: Raman spectroscopic data and thermodynamic simulation results. Geochem. Int. 47 (11), 1067–1074.
- Деркачева Е.С. (2021) Фазообразование и характеризация борополлуцитов с примесями Ba. Физика и химия стекла 47, 714–720.
- Лаверов Н.П., Дмитриев С.А., Величкин В.И., Омельяненко Б.И. (2009) Условия безопасной изоляции жидких отходов низкого и среднего уровня активности. Геоэкология. Инженерная геология. Гидрогеология. Геокриология (3), 195–213.
- Малинина Г.А. (2016) Строение и гидролитическая устойчивость самарий, гафний и урансодержащих стеклокерамических материалов для иммобилизации твердых радиоактивных отходов. дис. ... канд. хим. наук. Москва, 117 с.
- Bubnova R.S., Stepanov N.K., Levin A.A., Filatov S.K., Paufler P., Meyer D.C. (2004) Crystal structure and thermal behaviour of boropollucite CsBSi2O6. Solid State Sci. 6, 629–637.
- Donald I.W. (2010) Waste immobilization in glass and ceramic based hosts: Radioactive, toxic and hazardous wastes. Chichester: Wiley, 507 p.
- Furukawa T., White W.B. (1981) Raman spectroscopic investigation of sodium borosilicate glass structure. J. Mater. Sci. 16, 2689–2700.
- Jantzen C.M. (2011) Historical development of glass and ceramic waste forms for high level radioactive waste Handbook of advanced radioactive waste conditioning technologies. Eds. Cambridge: Woodhead, 159–172.
- Kaneko S., Tokuda Y., Takahashi Y., Masai H., Ueda Y. (2017) Structural analysis of mixed alkali borosilicate glasses containing Cs+ and Na+ using strong magnetic field magic angle spinning nuclear magnetic resonance. J. Asian Ceram. Soc. 5 (1), 7–12.
- Kim M., Heo J. (2015) Calcium-borosilicate glass-ceramics wasteforms to immobilize rare-earth oxide wastes from pyro-processing. J. Nucl. Mater. 467, 224–228.
- Koroleva O.N. (2017) The structure of lithium silicate melts revealed by high-temperature Raman spectroscopy. Spectrosc. Lett. 50 (5), 257–264.
- Koroleva O.N., Nevolina L.A., Korobatova N.M. (2023) Glass-Containing Matrices Based on Borosilicate Glasses for the Immobilization of Radioactive Wastes. J. Compos. Sci. 7 (12), 505.
- Koroleva O.N., Shabunina L.A. (2013) Effect of the ratio R = [Na2O]/[B2O3] on the structure of glass in the Na2O-B2O3-SiO2 system. Russ. J. Gen. Chem. 83 (2), 238–244.
- Koroleva O.N., Shabunina L.A., Bykov V.N. (2011) Structure of borosilicate glass according to raman spectroscopy data. Glass and Ceram. 67 (11), 340–342.
- Krzhizhanovskaya M.G., Bubnova R.S., Filatov S.K. (2018) Powder X-Ray Diffraction Data on Polymorphism of RbBSi2O6 and Crystal Structure of Its High-Temperature Modification. J. Struct. Chem. 59, 1995–2000.
- Manara D., Grandjean A., Neuville D. (2009) Advances in Understanding the Structure of Borosilicate Glasses: A Raman Spectroscopy Study. Amer. Miner. 94, 777–784.
- McCloy J.S., Goel A. (2017) Glass-ceramics for nuclear-waste immobilization. MRS Bull. 42 (3), 233–240.
- Mysen B., Richet P. (2019) Glass versus melt Silicate glasses and melts (second edition) (Eds. Mysen B., Richet P.). Elsevier, 39–75.
- Nevolina L.A., Koroleva O.N., Tyurnina N.G., Tyurnina Z.G. (2021) Study of Alkaline Earth Borosilicate Glass by Raman Spectroscopy. Glass Phys. Chem. 47 (1), 24–29.
- Nevolina L.A., Shtenberg M.V., Zherebtsov D.A., Koroleva O.N. (2023) Structure and crystallizability of K2O-B2O3-SiO2 and K2O-B2O3-GeO2 glasses: Effect of composition and heat treatment mode. Ceram. Int. 49, 37228–37237.
- Ojovan M.I., Petrov V.A., Yudintsev S.V. (2021) Glass Crystalline Materials as Advanced Nuclear Wasteforms. Sustain. 13 (8)
- Osipov A.A., Osipova L.M., Zainullina R.T. (2015) Structural units in alkali borate glasses and melts. Phys. Chem. Glasses: Eur. J. Glass Sci. Technol. B 56 (6), 255–262.
- Parkinson B.G., Holland D., Smith M.E., Howes A.P., Scales C.R. (2005) The effect of Cs2O additions on HLW wasteform glasses. J. Non-Cryst. Solids. 351, 2425–2432.
- Serbena F.C., Mathias I., Foerster C.E., Zanotto E.D. (2015) Crystallization toughening of a model glass-ceramic. Acta Mater. 86, 216–228.
- Zhu H., Wang F., Liao Q., Zhu Y. (2020) Synthesis and characterization of zirconolite-sodium borosilicate glass-ceramics for nuclear waste immobilization. J. Nucl. Mater. 532, 152026.
Supplementary files










