Тяжелые металлы и органический углерод в донных осадках мелководных бухт залива Петра Великого
- Авторы: Рюмина А.А.1, Тищенко П.Я.1, Шкирникова Е.М.1
-
Учреждения:
- Тихоокеанский океанологический институт им. В.И. Ильичева ДВО РАН
- Выпуск: Том 68, № 7 (2023)
- Страницы: 709-719
- Раздел: Статьи
- URL: https://journals.rcsi.science/0016-7525/article/view/134823
- DOI: https://doi.org/10.31857/S0016752523060080
- EDN: https://elibrary.ru/DTBUZX
- ID: 134823
Цитировать
Полный текст
Аннотация
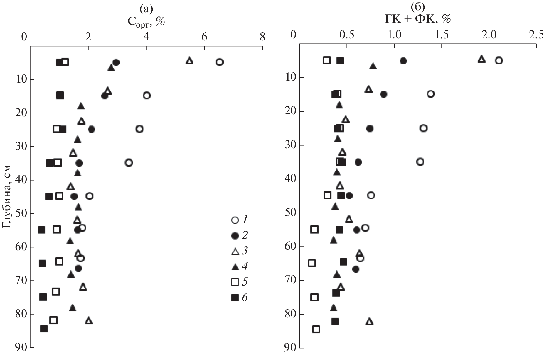
Основной особенностью лабильных тяжелых металлов является их высокая способность к биоаккумуляции и биоассимиляции в природных средах. При высоких концентрациях они вызывают токсический эффект на живые организмы. Особенно ярко такие процессы наблюдаются в прибрежных мелководных зонах морских акваторий, наиболее сильно подверженных антропогенному воздействию. В статье приводятся содержания тяжелых металлов, концентрации органического углерода и гранулометрический состав кернов донных осадков из трех мелководных бухт залива Петра Великого, две из которых (бухта Воевода и Новгородская) имеют значительные площади, покрытые морской травой Zostera marina L. (зостера морская – ЗМ). Данные вертикального распределения тяжелых металлов и органического углерода в изученных кернах показали, что наибольшие содержания Zn и Cu (до 204 и 91 мг/кг соответственно) наблюдались в образцах из бухты Воевода, а наибольшие концентрации Mn и Pb (до 344 и 45 мг/кг соответственно) – в бухте Новгородской, где произрастают луга морской травы ЗМ. Наибольшее содержание Cr, Ni и Co (до 69, 31 и 13 мг/кг соответственно) отмечено в заливе Угловой, где морские травы практически отсутствуют. Помимо этого в бухте Воевода обнаружена линейная зависимость между концентрацией Zn, Pb, Cu и Ni и содержанием органического углерода.
Об авторах
А. А. Рюмина
Тихоокеанский океанологический институт им. В.И. Ильичева ДВО РАН
Email: Ryumina.aa@poi.dvo.ru
Россия, 690041, Владивосток, ул. Балтийская, 43
П. Я. Тищенко
Тихоокеанский океанологический институт им. В.И. Ильичева ДВО РАН
Email: Ryumina.aa@poi.dvo.ru
Россия, 690041, Владивосток, ул. Балтийская, 43
Е. М. Шкирникова
Тихоокеанский океанологический институт им. В.И. Ильичева ДВО РАН
Автор, ответственный за переписку.
Email: Ryumina.aa@poi.dvo.ru
Россия, 690041, Владивосток, ул. Балтийская, 43
Список литературы
- Барабанщиков Ю.А., Тищенко П.Я., Семкин П.Ю., Михайлик Т.А., Косьяненко А.А. (2018) Условия образования лечебных грязей в бухте Воевода (Амурский залив, Японское море). Известия ТИНРО. 192, 167-176.
- Бергер В.Я. (2011) О продукции зостеры Zostera Marina Linnaeus, 1753 в Белом море. Биология моря. 37(5), 362-366.
- Ващенко М.А., Жадан П.М., Альмяшова Т.Н., Ковалева А.Л., Слинько Е.Н. (2010) Оценка уровня загрязнения донных осадков Амурского залива (Японского моря) и их потенциальной токсичности. Биология моря. 36(5), 354-361.
- Григорьева Н.И. (2012) Залив Посьета: физико-географическая характеристика, климат, гидрологический режим. Современное экологическое состояние залива Петра Великого Японского моря (Под ред. Христофоровой Н.К.). Владивосток: Изд. дом ДВФУ, 31-61.
- Иванов Д.В., Валиев В.С., Зиганшин И.И., Шамаев Д.Е., Паймикина Э.Е., Марасов А.А., Маланин В.В., Хасанов Р.Р., Унковская М.А. (2020) Структурная взаимосвязь гранулометрического состава, содержания органического вещества и тяжелых металлов в донных отложениях. Гидроэкология. (2), 23-30.
- Ковековдова Л.Т., (2011) Микроэлементы в морских промысловых объектах Дальнего Востока России. Автореферат дис. … докт. биол. наук. Владивосток: ТИНРО-Центр, 40 с.
- Коженкова С.И., (2000) Мониторинг состояния прибрежно-морских вод Приморья по содержанию тяжелых металлов в бурых водорослях: Автореферат дис. … канд. биол. наук. Владивосток: ИБМ, 24 с.
- Лоция северо-западного берега Японского моря (1996) СПб.: ГУНИО МО, 354 с.
- Петухов В.И., Петрова Е.А., Лосев О.В. (2019) Загрязнение вод залива Углового тяжелыми металлами и нефтепродуктами в феврале 2010‒2016 гг. Водные ресурсы. 46(1), 102-113.
- Раков В.А. (2010) Распространение и экология устричных рифов северной части Амурского залива. Экологический вестник. (4), 21-30.
- Тищенко П.Я., Борисенко Г.В., Барабанщиков Ю.А., Павлова Г.Ю., Рюмина А.А., Сагалаев С.Г., Семкин П.Ю., Тищенко П.П., Уланова О.А., Швецова М.Г., Шкирникова Е.М. (2022) Оценка потоков биогенных веществ на границе раздела вода-дно в мелководных бассейнах залива Петра Великого (Японское море). Геохимия. 2022. 67(9), 881-895.
- Tischenko P.Y., Borisenko G.V., Barabanshchikov Y.A., Pavlova G.Y., Ryumina A.A., Sagalaev S.G., Semkin P.Y., Tischenko P.P., Ulanova O.A., Shvetsova M.G., Shkirnikova E.M. (2022) Estimation of Nutrient Fluxes on the Interface Bottom Water–Sediments in Shallow Bights of the Peter the Great Bay, Sea of Japan. Geochem. Int. 2022. 60(9), 891-904.
- Тищенко П.Я., Шкирникова Е.М., Горячев В.А., Рюмина А.А., Сагалаев С.Г., Тищенко П.П., Уланова О.А., Тибенко Е.Ю. (2022) Депонированный органический углерод мелководных бухт залива Петра Великого (Японское море). Геохимия. 2022а. 67(10), 1004-1012.
- Tischenko P.Y., Shkirnikova E.M., Goryachev V.A., Ryumina A.A., Sagalaev S.G., Tischenko P.P., Ulanova O.A., Tibenko E.Y. (2022) Accumulated Organic Carbon in the Sediments of Shallow Bights of the Peter the Great Bay, Sea of Japan. Geochem. Int. 2022a. 60(10), 1005-1013.
- Тищенко П.Я., Барабанщиков Ю.А., Павлова Г.Ю., Рюмина А.А., Сагалаев С.Г., Семкин П.Ю., Тищенко П.П., Уланова О.А., Швецова М.Г., Шкирникова Е.М., Тибенко Е.Ю. (2021) Гидрохимическое состояние залива Угловой (Амурский залив) в разные сезоны. Известия ТИНРО. 201(1), 138-157.
- Тищенко П.Я., Ходоренко Н.Д., Барабанщиков Ю.А., Волкова Т.И., Марьяш А.А., Михайлик Т.А., Павлова Г.Ю., Сагалаев С.Г., Семкин П.Ю., Тищенко П.П., Швецова М.Г., Шкирникова Е.М. (2020) Диагенез органического вещества в осадках покрытых зарослями зостеры морской (Zostera marina L.). Океанология. 60(3), 393-406.
- Христофорова Н.К., Емельянов А.А., Ефимов А.В. (2018) Биоиндикация загрязнения прибрежно-морских вод о. Русского (залив Петра Великого, Японское море) тяжелыми металлами. Известия ТИНРО. 192, 157-166.
- Христофорова Н.К., Шулькин В.М., Кавун В.Я., Чернова Е.Н. (1994) Тяжелые металлы в промысловых и культивируемых моллюсках залива Петра Великого. Владивосток: Дальнаука, 296 с.
- Христофорова Н. К. (1989) Биоиндикация и мониторинг загрязнения вод тяжелыми металлами. Ленинград: Наука, 192 с.
- Шишлова М.А., (2002) Зостера морская (Zostera marina L.) как индикатор загрязнения среды тяжелыми металлами. Дис. … канд. биол. наук. Владивосток: ИБМ, 145 с.
- Шулькин В.М. (2004) Металлы в экосистемах морских мелководий. Владивосток: Дальнаука, 278 с.
- Чернова Е.Н. (2012) Фоновые концентрации металлов в Зостере морской из залива Петра Великого и оценка его современного экологического состояния. Современное экологическое состояние залива Петра Великого Японского моря (Под ред. Христофоровой Н.К.). Владивосток: Изд. дом ДВФУ, 382-396.
- Чернова Е.Н., Коженкова С.И. (2016) Определение пороговых концентраций металлов в водорослях-индикаторах прибрежных вод северо-западной части Японского моря. Океанология. 56(3), 393-402.
- Arici E., Bat L. (2020) Sediment-water interactions with eelgrass (Zostera spp.) from Sinop shores of the Black Sea. Caspian J. Environ. Sci. 18(2), 123-130.
- Brix H., Lyngby J.E. (1982) The distribution of cadmium copper, lead and zinc in eelgrass (Zostera marina L.). Sci. Total Envir. 24, 51-63.
- Chelomin V.P., Bobkova E.A., Lukyanova O.N., Chekmasova N.M. (1995) Cadmium-induced alterations in essential trace element homoeostasis in the tissues of scallop Mizuhopecten yessoensis. Camp. Biorhem. Physiol. 110C(3), 329-335.
- Feng W., Wang Z., Xu H., Zhang D., Zhang H., Zhu W. (2020) Species-specific bioaccumulation of trace metals among fish species from Xincun Lagoon, South China Sea. Sci. Rep. 10 (21800). https://doi.org/10.1038/s41598-020-77917-y
- Goldberg E.D. (1986) The mussel watch concept. Environ. Monit. Assess. 7, 91-103.
- Hart B.T. (1982) Uptake of trace metals by sediments and suspended particulates: a review. Hydrobiologia. 91, 299-313.
- Hosokawa S., Konuma S., Nakamura Y. (2016) Accumulation of trace metal elements (Cu, Zn, Cd and Pb) in surface sediment via decomposed seagrass leaves: A mesocosm experiment using Zostera marina L. PLoS ONE. 11(6), https://doi.org/10.1371/journal.pone.0157983
- Khozhaenko E.V., Khotimchenko R.Y., Kovalev V.V., Khotimchenko M.Y., Podkorytova E.A. (2015) Metal Binding Activity of Pectin Isolated from Seagrass Zostera marina and Its Derivatives. Rus. J. Mar. Biol. 41(6), 485-489.
- Lyngby J.E., Brix H. (1989) Heavy metals in eelgrass (Zostera marina L.) during growth and decomposition. Hydrobiologia. 176/177, 189-196.
- Macias-Zamora J.V., Sanchez-Osorio J.L., Rios-Mendoza L.M., Ramırez-Alvarez N., Huerta-Diaz M.A., Lopez-Sanchez D. (2008) Trace metals in sediments and Zostera marina of San Ignacio and Ojo de Liebre Lagoons in the Central Pacific Coast of Baja California, Mexico. Arch. Environ. Contam. Toxicol. 55, 218-228.
- Mantoura R.F.C., Dickson A., Riley J.P. (1978) The complexation of metals with humic materials in natural waters. Estuarine Coastal Mar. Sci. 6, 387-408.
- McRoy C.P. (1974) Seagrass productivity: carbon uptake experiments in eelgrass, Zoster marina. Aquaculture. 4, 131-137.
- Morel F.M.M., Hudson R.J.M., Price N.M. (1991) Limitation of productivity by trace metals in the sea. Limnol. Oceanogr. 36(8), 1742-1755.
- Riosmena-Rodríguez R., Talavera-Sáenz A., Acosta-Vargas B., Gardner S.C. (2010) Heavy metals dynamics in seaweeds and seagrasses in Bahía Magdalena, B.C.S., México. J. Appl. Phycol. 22, 283-291.
- Sanz-Lázaro C., Malea P., Apostolaki E.T., Kalantzi I., Mar’ın A., Karakassis I. (2012) The role of the seagrass Posidonia oceanica in the cycling of trace elements. Biogeosciences. 9, 2497-2507.
- Schaller J. (2014) Bioturbation/bioirrigation by Chironomus plumosus as main factor controlling elemental remobilization from aquatic sediments? Chemosphere. 107, 336-343.
- Larkum A.W.D., Orth R.J., Duarte C.M. (2006) Seagrasses: Biology, Ecology and Conservation. Netherlands: Springer, 691 p.
- Sunda W.G. (2012) Feedback interactions between trace metal nutrients and phytoplankton in the ocean. Frontiers in Microbiology. 3(204), https://doi.org/10.3389/fmicb.2012.00204
- Richir J., N. Luy N., Lepoint G., Rozet E., Azcarate A.A., Gobert S. (2013) Experimental in situ exposure of the seagrass Posidonia oceanica (L.) Delile to 15 trace elements. Aquat. Toxicol. 140–141, 157-173.
- Wong C.S., Boyle E., Bruland K.W., Burton J.D., Goldberg E.A. (1983) Trace metals in sea water. N.Y.: Plenum Press, 920 p.
Дополнительные файлы








