On the Formation of Diasteranes in Oil and Organic Matter of Rocks
- Authors: Yusupova A.A.1, Giruts M.V.2, Vasil’eva A.V.1, Vylekzhanina D.S.1, Gordadze G.N.1
-
Affiliations:
- Organic Chemistry and Petrochemistry Department, National University of Oil and Gas “Gubkin University”
- On the Formation of Diasteranes in Oil and Organic Matter of Rocks
- Issue: Vol 68, No 7 (2023)
- Pages: 687-694
- Section: Articles
- URL: https://journals.rcsi.science/0016-7525/article/view/134821
- DOI: https://doi.org/10.31857/S0016752523070051
- EDN: https://elibrary.ru/TKNILM
- ID: 134821
Cite item
Full Text
Abstract
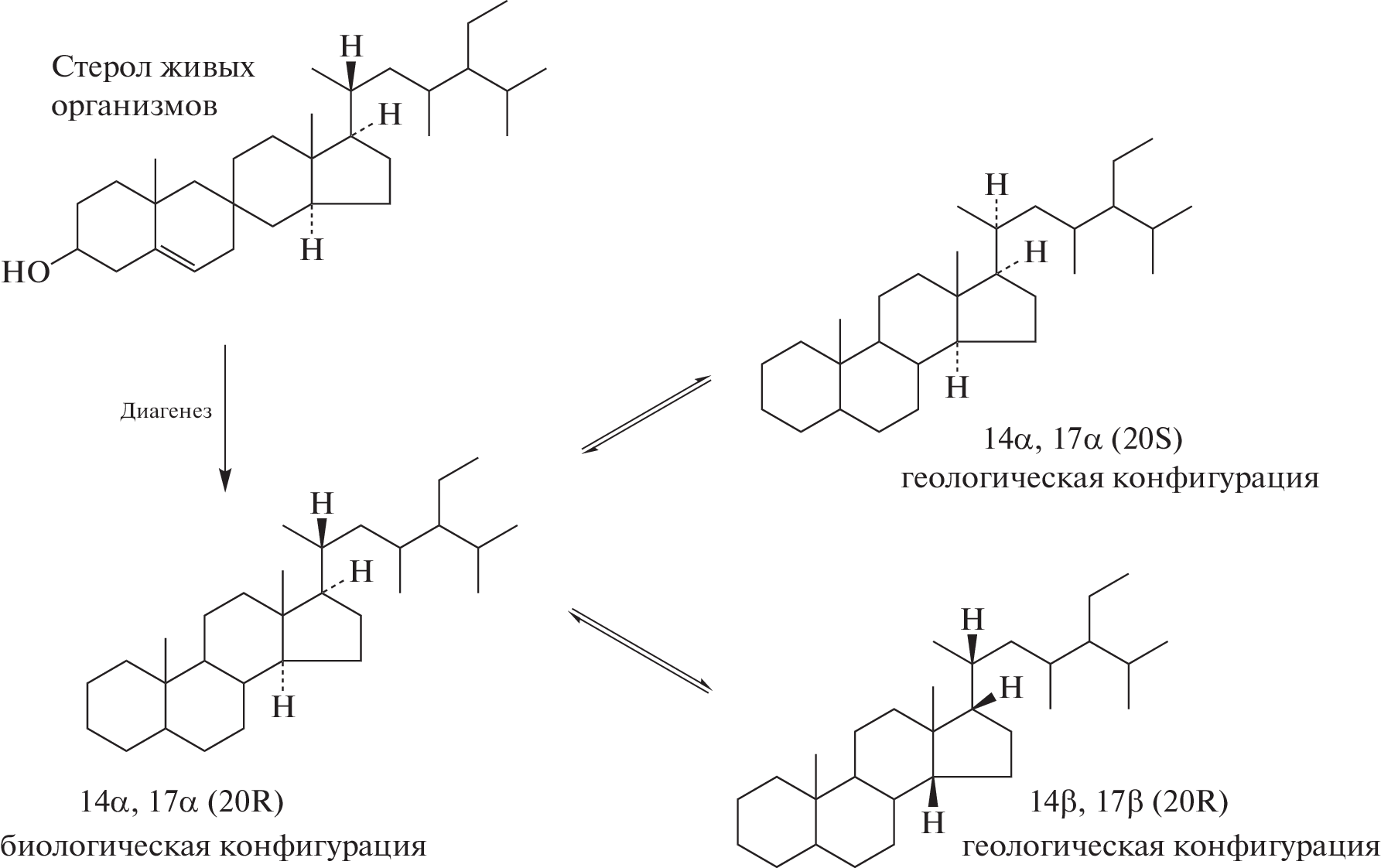
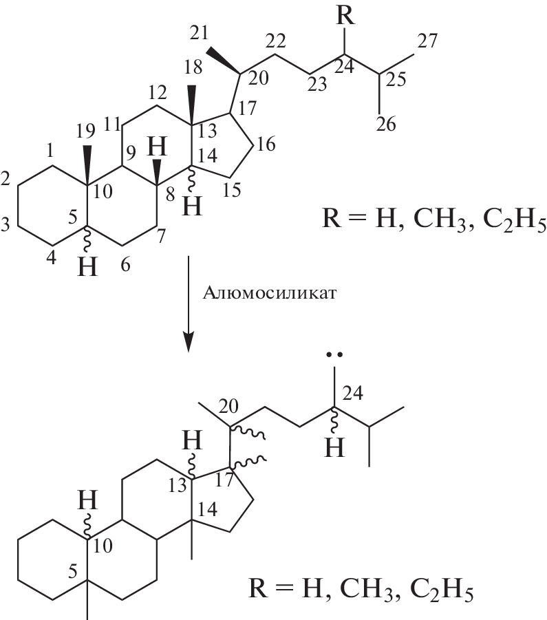
Data obtained on the distribution patterns of biomarker hydrocarbons (n-alkanes, isoprenanes, steranes, and terpanes) in oils, organic matter in rocks, prokaryotes, and thermolysis products of the insoluble part of prokaryotic biomass indicate that the relatively high concentration of diasteranes (rearranged steranes) in the organic matter of rocks and in oils generated by clay strata is caused by characteristics of the original organic matter but not by the process of isomerization of regular steranes, as has been previously thought.
About the authors
A. A. Yusupova
Organic Chemistry and Petrochemistry Department, National University of Oil and Gas “Gubkin University”
Email: gordadze@rambler.ru
119991, Moscow, Russia
M. V. Giruts
On the Formation of Diasteranes in Oil and Organic Matter of Rocks
Email: gordadze@rambler.ru
119991, Moscow, Russia
A. V. Vasil’eva
Organic Chemistry and Petrochemistry Department, National University of Oil and Gas “Gubkin University”
Email: gordadze@rambler.ru
119991, Moscow, Russia
D. S. Vylekzhanina
Organic Chemistry and Petrochemistry Department, National University of Oil and Gas “Gubkin University”
Email: gordadze@rambler.ru
119991, Moscow, Russia
G. N. Gordadze
Organic Chemistry and Petrochemistry Department, National University of Oil and Gas “Gubkin University”
Author for correspondence.
Email: gordadze@rambler.ru
119991, Moscow, Russia
References
- Гордадзе Г.Н., Грунис Е.Б., Зонн М.С. (2001). Роль исследования углеводородов на молекулярном уровне в нефтяной геохимии. Геология, геофизика и разработка нефтяных месторождений. (11), 19-23.
- Гордадзе Г.Н. (2015) Углеводороды в нефтяной геоxимии. Теория и практика. М.: РГУНиГ им. И.М. Губкина, 559 с.
- Гордадзе Г.Н., Пошибаева А.Р., Гируц М.В., Перевалова А.А., Кошелев В.Н. (2018) Образование углеводородов нефти из биомассы прокариот. Сообщение 1. Образование нефтяных углеводородов–биомаркеров из биомассы архей Thermoplasma sp. Нефтехимия. 58(2), 135-139.
- Гордадзе Г.Н., Пошибаева А.Р., Гируц М.В., Гаянова А.А., Семенова Е.М., Кошелев В.Н. (2018а) Образование углеводородов нефти из биомассы прокариот. Сообщение 2. Образование нефтяных углеводородов–биомаркеров из биомассы бактерий Geobacillus jurassicus, выделенных из нефти. Нефтехимия. 58(6), 657-664.
- Петров Ал.А. (1971) Химия нафтенов. М.: Наука, 388 с.
- Петров Ал.А. (1984) Углеводороды нефти. М.: Наука, 260 с.
- Юсупова А.А., Гируц М.В., Семенова Е.М., Гордадзе Г.Н. (2020) Образование углеводородов нефти из биомассы прокариот. Сообщение 3. Образование нефтяных углеводородов–биомаркеров из биомассы бактерий Shewanella putrefaciens и асфальтенов, выделенных из нефти. Нефтехимия. 60(6), 755-764.
- Юсупова А.А., Гируц М.В., Гордадзе Г.Н. (2021) Прокариоты как источник нефтяных углеводородов–биомаркеров. ДРН. Науки о земле. 497(1), 30-36.
- Юсупова А.А., Гируц М.В., Вылекжанина Д.С., Семенова Е.М., Гордадзе Г.Н. (2022) Образование углеводородов нефти из биомассы прокариот. Сообщение 4. Образование нефтяных углеводородов–биомаркеров из биомассы бактерий Halomonas titanicae, выделенных из нефти Ромашкинского месторождения. Нефтехимия. 62(2), 405-410.
- Connan J., Bouroullec J., Dessort D., Albrecht P. (1986) The microbial input in carbonate–anhydrite facies of a sabkha palaeoenvironment from Guatemala: A molecular approach. Org. Geochem. 10, 29-50.
- MacKenzie A.S., Disko U., Rullkotter J. (1983) Determination of hydrocarbon distributions in oils and sediment extracts by gas chromatography–high resolution mass spectrometry. Organic Geochemistry. 5(2), 57-63.
- Peters K.E., Walters C.C., Moldowan J.M. (2005) The Biomarker Guide, 2nd Edition. Vol. I. Biomarkers and Isotopes in the Environment and Human History. Cambridge University Press, 471 p. Vol. II. Biomarkers and Isotopes in Petroleum Exploration and Earth History/Cambridge University Press, 679 p.
- Peters, K.E. and Moldowan, J.M. (2017) Biomarker: Assessment of Thermal Maturity. In: White, W.M., Ed., Encyclopedia of Geochemistry: A Comprehensive Reference Source on the Chemistry of the Earth. Springer International Publishing AG.
- Rubinstein I., Sieskind O., Albreeht P. (1975) Rearranged sterenes in a shale: occurrence and simulated formation. J. Chem. Soc., Perkin Transaction I, 1833-1836.
- Seifert W.K., Moldowan J.M. (1981) Paleoreconstruction by biological markers. Geochim. Cosmochim. Acta. 45, 783-794.
- Van Kaam-Peters H.M.E., Köstter J., Van der Gaast S.J., Dekker M., De Leeuw J.W., Sinninghe Damste J.S. (1998) The effect of clay minerals on diasterane/sterane ratios. Geochim. Cosmochim. Acta. 62, 2923-2929.
- Waples D.W., Machihara T. (1990) Application of sterane and triterpane biomarkers in petroleum exploration. Bull. Can. Petrol. Geol. 38, 357.
- Waples D.W., Machihara T. (1991) Biomarkers for geologist – A practical guide to the application of steranes and triterpanes in petroleum geology. In AAPG Methods in Exploration Series 9. Tulsa, Oklahoma: American Association of Petroleum Geologists, 91 p.
Supplementary files







