Hydrocarbons in Water and Bottom Sediments of the Norwegian–Barents Sea Basin
- Authors: Nemirovskaya I.A.1, Khramtsova A.V.1
-
Affiliations:
- Shirshov Institute of Oceanology, Russian Academy of Sciences
- Issue: Vol 68, No 2 (2023)
- Pages: 173-186
- Section: Articles
- URL: https://journals.rcsi.science/0016-7525/article/view/134788
- DOI: https://doi.org/10.31857/S0016752523020073
- EDN: https://elibrary.ru/CKZCHC
- ID: 134788
Cite item
Full Text
Abstract
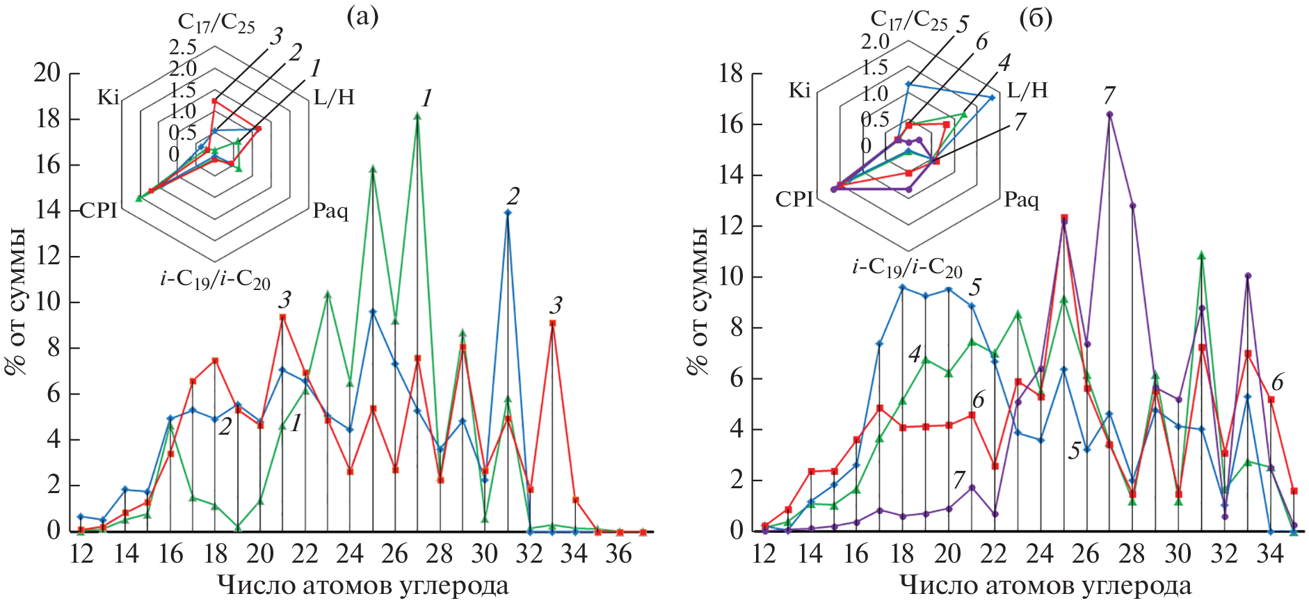
The distribution of hydrocarbons (HCs): aliphatic–AHCs and polycyclic aromatic hydrocarbons–PAHs is examined in waters and bottom sediments sampled during cruises 75 and 80 of the R/V Akademik Mstislav Keldysh in 2019 and 2020 in the Norwegian–Barents Sea Basin: Mohns Ridge, shelf of the Svalbard Archipelago, Storfjord, Medvezhinsky trench, central part of the Barents Sea, Novaya Zemlya shelf, and Franz Victoria Trough. An increase in AHCs content, on average, up to 20–23 μg/L in the suspended particulate matter (SPM) in surface waters compared to those of 2016–2017 is caused by phytoplankton bloom near the ice edge. In bottom sediments, the distribution of AHCs (3–186 μg/g) and PAHs (3–9934 ng/g) depends not only on the sedimentation conditions and particle size composition of sediments, but also on the variability of redox conditions in the sedimentary sequence and molecular diffusion of HCs from productive horizons.
About the authors
I. A. Nemirovskaya
Shirshov Institute of Oceanology, Russian Academy of Sciences
Email: nemir44@mail.ru
117997, Moscow, Russia
A. V. Khramtsova
Shirshov Institute of Oceanology, Russian Academy of Sciences
Author for correspondence.
Email: nemir44@mail.ru
117997, Moscow, Russia
References
- Борисова Л.С. (2017). Геохимия, состав и структура протоасфальтенов в органическом веществе в современных осадках. Геология и геофизика. 58, 294-298.
- Гавшин В.М., Лапухов С.В., Сараев С.В. (1988). Геохимия литогенеза в условиях сероводородного загрязнения (Черное море). Наука: Москва, Россия, 194 с.
- Глязнецова Ю.С., Немировская И.А., Флинт М.В. (2021). Изучение последствий аварийного разлива дизельного топлива в Норильске. ДАН. 501(1), 113-118.
- Глязнецова, Ю.С., Немировская И.А. (2020). Особенности распределения битумоидов в донных осадках Баренцева моря. Океанология. 60(6), 831-839
- Григоренко Ю.Н. (2016). Зоны нефтенакопления как объект изучения и прогноза. Нефтегазовая геология. Теория и практика. 11(4), 1-11.
- Клювиткин А.А., Кравчишина М.Д., Немировская И.А. (2020). Исследование седиментосистем европейской Арктики в 75-м рейсе научно-исследовательского судна “Академик Мстислав Келдыш”. Океанология. 60(3), 485-487.
- Клювиткин, А.А., Кравчишина М.Д., Боев А.Г. (2021). Потоки осадочного вещества на гидротермальных полях южной части хребта Мона. ДАН. 497(1), 16-22.
- Кодрян К.В., Торгунова Н.И., Агатова А.И. (2017) Растворенное и взвешенное органическое вещество в период изменчивости ледового покрова Баренцева моря. Труды ВНИРО. 169, 191-203.
- Кохан А.В., Дубинин Е.П., Грохольский А.Л. (2012). Геодинамические особенности структурообразования в спрединговых хребтах Арктики и Полярной Атлантики. Вестник Камчатской региональной ассоциации “Учебно-научный центр”. Серия: Науки о Земле. 19(1), 59-77.
- Кравчишина М.Д., Леин А.Ю., Боев А., Прокофьев В.Ю., Стародымова Д.П., Дара О.М., Новигатский А.Н., Лисицын А.П. (2019). Гидротермальные минеральные ассоциации на 71° с.ш. Срединно-Атлантического хребта (первые результаты) Океанология. 59(6), 1039-1057.
- Кучейко А.Ю., Иванов А.Ю., Евтушенко Н.В., Филимонова Н.А., Терлеева Н.В., Ивонин Д.В., Александрова А.Г. (2020). Пленочные загрязнения Баренцева моря по данным радиолокационного мониторинга 2017–2019 гг. Экология и промышленность России. 24(7), 48-55.
- Лапина Н.М., Торгунова Н.И., Агатова А.И. (2011). Органическое вещество во льдах Северного Ледовитого океана. Вопросы промысловой океанологии. 8(2), 156-172.
- Леин А.Ю., Немировская И.А., Иванов М.В. (2012) Изотопный состав органического и карбонатного углерода поверхностных горизонтов донных отложений в районе Штокмановского месторождения и на “поле покмарков” в Баренцевом море. ДАН. 446(1), 67-70.
- Немировская И.А. (2013) Нефть в океане (загрязнение и природные потоки). М.: Научн. мир, 432 с.
- Немировская И.А. (2017) Осадочное вещество и органические соединения в аэрозолях и в поверхностных водах на трансатлантическом разрезе. Геохимия. (4), 344-357.
- Nemirovskaya I.A. (2017) Sedimentary Matter and Organic Compounds in the Aerosols and Surface Waters along the Transatlantic Section. Geochem. Int. 55(4), 367-379.
- Немировская И.А. (2020) Углеводороды в водах и донных осадках Баренцева моря в период изменчивости ледового покрова. Геохимия. 65(7), 822-824.
- Nemirovskaya I.A. (2020) Hydrocarbons in the Water and Bottom Sediments of the Barents Sea during Ice Cover Variability Geochem. Int. 58(7), 822-834.
- Петрова В.И., Батова Г.И., Куршева А.В., Литвиненко И.В., Моргунова И.П. (2015) Углеводороды в донных осадках Штокмановской площади – распределение, генезис, временные тренды. Нефтегазовая геология. Теория и практика. 10(3), 1-21.
- Романкевич Е.А., Ветров А.А. (2021). Углерод в океане М.: ГЕОС, 352 с.
- Ступакова А.В. (2011). Структура и нефтегазоносность Баренцево-Карского шельфа и прилегающих территорий. Геология нефти и газа. (6), 99-115.
- Тарасов Г.А., Алексеев В.В. (1987). Литолого-геологические особенности среды обитания организмов. Палеогеография и палеоэкология Баренцева и Белого морей в четвертичный период. Апатиты: КНЦ РАН, 24-43.
- Тиссо Б., Вельте. Д. (1981). Образование и распространение нефти: Пер. с англ. М.: Мир, 501 с.
- Хаустов А.П., Редина М.М. (2017) Геохимические маркеры на основе соотношений концентраций ПАУ в нефти и нефтезагрязненных объектах. Геохимия. (1),57-67
- Khaustov A.P., Redina M.M. (2017). Geochemical Markers Based on Concentration Ratios of PAH in Oils and Oil-Polluted Areas. Geochem. Int. 55(1), 98-107.
- Черкашев Г.А., Тамаки К., Баранов Б.В., Герман К., Гусев Э.А., Егоров А.В., Жирнов Э.А., Журавль К., Куревиц Д., Окино К., Сато Г., Сущевская Н.М. (2001). Рифтовая зона хребта Книповича: материалы экспедиции Книпович-2000. Доклады Наук о Земле. 378, 420-423.
- AMAP (Arctic Monitoring and Assessment Programme) (2007). Ch. 4 Sources, Inputs and Concentrations of Petroleum Hydrocarbons, Polycyclic Aromatic Hydrocarbons, and other Contaminants Related to Oil and Gas Activities in the Arctic. Oslo: AMAP, 87 p.
- Andreassen K., Hubbard A., Winsborrow M., Patton H., Vadakkepuliyambatta S., Faverola P. A., Gudlaugsson E., Serov P., Deryabin A., Mattingsdal R., Mienert J., Bünz S. (2017). Massive blow-out craters formed by hydrate-controlled methane expulsion from the Arctic seafloor. Science. 356, 948-953.
- Arrigo K.R., Dijken G.L. (2015). Continued increases in Arctic Ocean primary production. Progr. Oceanog. 136, 60-70.
- Boitsov S., J., Klungsøyr J.H. (2007). Concentrations of petroleum hydrocarbons in sediments and seawater from the Barents and Norwegian Seas 2003–2005. Fisken og Havet. 3, 52 p.
- Boitsov S., Petrova, V., Jensen, H.K., Kursheva, A., Litvinenko I., Klungsøyr, J. (2013). Sources of polycyclic aromatic hydrocarbons in marine sediments from southern and northern areas of the Norwegian continental shelf. Marine Environmental Research. 87, 73-84.
- Chand S., Thorsnes T., Rise L., Brunstad H., Stoddart D. (2016). Geol. Society. London, Memoirs, 46, 295-296.
- Dalpadado P., Ingvaldsen R.B., Stige L.C., Bogstad B., Knutsen T., Ottersen G., Ellertsen B. (2012). Climate effects on Barents Sea ecosystem dynamics ICES. J. Mar. Sci. 69(7), 1303-1316.
- Ehrhardt J.D. (1992). Negative-ion mass spectra of methylated diuretics. Rapid Commun. Mass Spectrom. 6(5), 349-351.
- Eide M.S., Longva T., Hoffmann P., Endresen O., Stig B.D. (2011). Future cost scenarios for reduction of ship CO2 emissions. Maritime Policy & Management. 38(1), 11-37.
- England W.A., MacKenzie A.S., Mann D.M., Quigley T.M. (1987). The movement and entrapment of petroleum fluids in the subsurface, J. Geol. Soc. 144, 327-347.
- Fernandes M.B., Sicre M.A. (2000). The importance of terresrial organic carbon inputs on Kara Sea shelves as revealed by n-alkanes, OC and δ13C values. Organic Geochemistry. 31, 363-374.
- Geli L., Renard V., Rommevaux C. (1994). Ocean crust formation processes at very slow spreading centers: A model for the Mohns Ridge, near 72 N, based on magnetic, gravity, and seismic data. JGR. 99, 2995-3013.
- Hou P., Eglinton T.I., Montlucon D.B., Haghipour N., Zhang H., Jin G., Zhao M. (2021). Degradation and Aging of Terrestrial Organic Carbon within Estuaries: Biogeochemical and Environmental Implications. Environ. Sci. Technol. 55(15), 10852-10861.
- Jafarabadi A.R., Bakhtiari A.R., Aliabadian M., Toosi A.S. (2017). Spatial distribution and composition of aliphatic hydrocarbons, polycyclic aromatic hydrocarbons and hopanes in superficial sediments of the coral reefs of the Persian Gulf, Iran. Environ. Pollut. 224, 195-223.
- Jiao L., Zheng G.J., Minh T.B., Richardson B., Chen L., Zhang Y., Yeung L.W., Lam J.C., Yang X., Lam P.K. Persistent toxic substances in remote lake and coastal sediments from Svalbard, Norwegian Arctic: Levels, sources and fluxes. Environ. Pollut. 157, 1342-1351.
- Judd A., Hovland M. (2007). Seabed Fluid Flow. The Impact on Geology, Biology, and the Marine Environment. Cambridge University Press, 442.
- Monitoring of hazardous substances in the White Sea and Pechora Sea: harmonisation with OSPAR’s Coordinated Environmental Monitoring Programme (CEMP) Tromsø: Akvaplan-niva. 2011, 71 p.
- NAS (National Academy of Sciences) (2003) Oil in the Sea III: Inputs, Fates, and Effects. Washington, D.C.: NRC, 265 p.
- Nemirovskaya, I.A., Khramtsova, A.V. (2021). Features of the Hydrocarbon Distribution in the Bottom Sediments of the Norwegian and Barents Seas. Fluids. 6, 456.
- Pau M., Hammer Ø., Chand S. (2014). Constraints on the dynamics of pockmarks in the SW Barents Sea: Evidence from gravity coring and high-resolution, shallow seismic profiles. Marine Geology. 355(1), 330-345.
- Pedersen R.B., Rapp H.T., Thorseth I.H., Lilley M.D., Barriga F.J., Baumberger T., Flesland K., Fonseca R., Früh-Green G.L., Jorgensen S.L. (2010a). Discovery of a black smoker vent field and vent fauna at the Arctic Mid-Ocean Ridge. Nat. Commun. 23(11), 1-126.
- Pedersen R.B., Thorseth I.H., Nygaard T.E., Lilley M.D., Kelley D.S. (2010b). Hydrothermal activity at the Arctic Mid-Ocean Ridge. In Diversity of Hydrothermal Systems on Slow Spreading Ocean Ridges; Rona P., Devey C., Murton B., Eds.; Geophysical Monograph 188; American Geophysical Union: Washington, DC, USA, 67-89.
- Pedersen R.B., Bjerkgård T. (2016). Seafloor massive sulphides in Arctic waters. Mineral Resources In The Arctic. 1, 209-216.
- Plassen L., Knies J. (2009). Fluid flow structures and processes; indications from the North Norwegian continental margin. Norsk Geologisk Tidsskrift. 89, 57-64.
- Reimers H. (2017). The Morphology of the Mohn’s Ridge. Nor. Univ. Sci. Technol. 1-114.
- Rise L., Bellec V.K., Chand S., Bøe R. (2015). Pockmarks in the southwestern Barents Sea and Finnmark fjords. Norwegian J. Geology. 94, 263-282.
- Tolosa I., Mora S., Sheikholeslam, M.R. (2004). Aliphatic and Aromatic Hydrocarbons in Coastal Caspian Sea Sediments. Mar. Pollut. Bul. 48, 44-60.
- Yamamoto M., Polyak L. (2009). Changes in terrestrial organic matter input to the Mendeleev Ridge, western Arctic Ocean, during the Late Quaternary. Glob. Planet. Chang. 68, 30-37.
- Yunker M.B., Macdonald R.W., Ross P.S., Sophia C., Johannessen B., Nei D. (2015). Alkane and PAH provenance and potential bioavailability in coastal marine sediments subject to a gradient of anthropogenic sources in British Columbia, Canada. Org. Geochem. 89–90, 80-116.
- Zaborska A., Carroll J., Pazdro K., Pempkowiak J. (2011). Spatio-temporal patterns of PAHs, PCBs and HCB in sediments of the western Barents Sea. Oceanologia. 53, 1005-1026.
Supplementary files











