nm-ТЕСТ – усовершенствованная версия альфа-теста для дрожжей Saccharomyces cerevisiae, обладающая более высокой чувствительностью по отношению к генотоксическим факторам
- Авторы: Степченкова Е.И.1,2, Андрейчук Ю.В.1, Афанасова Д.В.2, Задорский С.П.1,2, Инге-Вечтомов С.Г.1,2
-
Учреждения:
- Институт общей генетики им. Н.И. Вавилова Российской академии наук, Санкт-Петербургский филиал
- Санкт-Петербургский государственный университет
- Выпуск: Том 59, № 1 (2023)
- Страницы: 18-25
- Раздел: ОБЩАЯ ГЕНЕТИКА
- URL: https://journals.rcsi.science/0016-6758/article/view/134498
- DOI: https://doi.org/10.31857/S0016675822120128
- EDN: https://elibrary.ru/CLAKAN
- ID: 134498
Цитировать
Полный текст
Аннотация
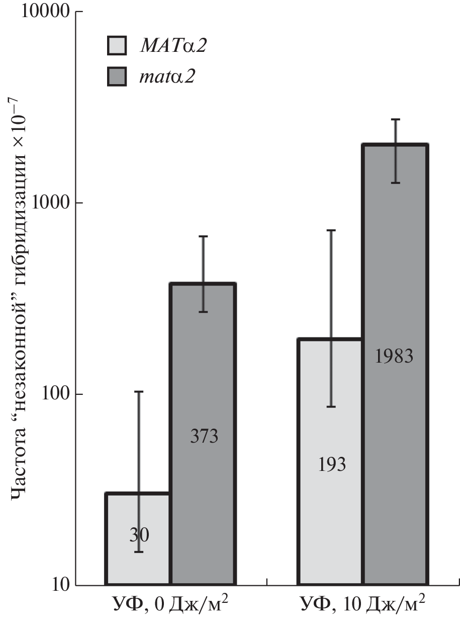
Одной из актуальных проблем генетической токсикологии является разработка новых и совершенствование существующих тест-систем для своевременного выявления и оценки уровня мутагенной и канцерогенной активности различных факторов. Особое место среди тест-систем генетической токсикологии занимает альфа-тест, основанный на использовании особенностей жизненного цикла дрожжей Saccharomyces cerevisiae. Его главное отличие от существующих тест-систем заключается в возможности выявлять широкий спектр генетических изменений, таких как генные мутации, конверсия, рекомбинация, потеря правого плеча и целой III хромосомы, а также первичные повреждения генетического материала до их устранения системами репарации. В рамках данной работы были намечены и апробированы способы генетической модификации используемых в альфа-тесте штаммов, направленные на повышение чувствительности и эффективности тест-системы. Полученные нами результаты позволили заключить, что предложенная нами модификация тестерного штамма привела к повышению разрешающей способности тест-системы на порядок.
Ключевые слова
Об авторах
Е. И. Степченкова
Институт общей генетики им. Н.И. Вавилова Российской академии наук,Санкт-Петербургский филиал; Санкт-Петербургский государственный университет
Автор, ответственный за переписку.
Email: stepchenkova@gmail.com
Россия, 199034, Санкт-Петербург; Россия, 199034, Санкт-Петербург
Ю. В. Андрейчук
Институт общей генетики им. Н.И. Вавилова Российской академии наук,Санкт-Петербургский филиал
Email: stepchenkova@gmail.com
Россия, 199034, Санкт-Петербург
Д. В. Афанасова
Санкт-Петербургский государственный университет
Email: stepchenkova@gmail.com
Россия, 199034, Санкт-Петербург
С. П. Задорский
Институт общей генетики им. Н.И. Вавилова Российской академии наук,Санкт-Петербургский филиал; Санкт-Петербургский государственный университет
Email: stepchenkova@gmail.com
Россия, 199034, Санкт-Петербург; Россия, 199034, Санкт-Петербург
С. Г. Инге-Вечтомов
Институт общей генетики им. Н.И. Вавилова Российской академии наук,Санкт-Петербургский филиал; Санкт-Петербургский государственный университет
Email: stepchenkova@gmail.com
Россия, 199034, Санкт-Петербург; Россия, 199034, Санкт-Петербург
Список литературы
- Inge-Vechtomov S.G., Pavlov Y.I., Noskov V.N. et al. Tests for genetic activity in the yeast Saccharomyces cerevisiae: Study of forward and reverse mutation, mitotic recombination and illegitimate mating induction // Progress in Mutation Research. Evaluation of short-term tests for carcinogens: Report of the International Programme on Chemical Safety’s collaborative study on in vitro assays. Amsterdam: The Netherlands Elsevier, 1985. P. 243–255.
- Инге-Вечтомов С.Г., Репневская М.В., Карпова Т.С. Изучение скрещивания клеток одинакового типа спаривания у дрожжей сахаромицетов // Генетика. 1986. Т. 22. № 11. С. 2625–2636.
- Репневская М.В. Наследуемые и ненаследуемые изменения типа спаривания у дрожжей Saccharomyces cerevisiae: Дис. … канд. биол. наук., Л.: ЛГУ, 1989. 210 с.
- Lemoine F.J., Degtyareva N.P., Lobachev K., Petes T.D. Chromosomal translocations in yeast induced by low levels of DNA polymerase: A model for chromosome fragile sites // Cell. 2005. V. 120. P. 587–598. https://doi.org/10.1134/S000629791101007X
- Kochenova O.V., Soshkina Y.V., Stepchenkova E.I. et al. Participation of translesion synthesis DNA polymerases in the maintenance of the chromosome integrity in yeast Saccharomyces cerevisiae // Biochemistry (Moscow). 2011. V. 76. № 1. P. 49–60. https://doi.org/10.1134/S000629791101007X
- Novoa C.A., Ang J.S., Stirling P.C. The A-like faker assay for measuring yeast chromosome III stability // Methods Mol. Biol. 2018. V. 1672. P. 1–9. https://doi.org/10.1007/978-1-4939-7306-4_1
- Жук А.С., Степченкова Е.И., Инге-Вечтомов С.Г. Выявление модификаций первичной структуры ДНК, возникших под действием аналога азотистых оснований 6-N-гидроксиламинопурина, в альфа-тесте у дрожжей Saccharomyces cerevisiae // Экол. генетика. 2020. Т. 18. № 3. С. 357–367. https://doi.org/10.17816/ecogen34581
- Репневская М.В., Кашкин П.К., Инге-Вечтомов С.Г. Модификационные изменения генетического материала у дрожжей сахаромицетов // Генетика. 1989. Т. 25. № 3. С. 425–436.
- Haber J.E. Mating-type genes and MAT switching in Saccharomyces cerevisiae // Genetics. 2012. V. 191. P. 33–64. https://doi.org/10.1534/genetics.111.134577
- Herskowitz I. Life cycle of the budding yeast Saccharomyces cerevisiae// Microbiol. Reviews. 1989. V. 52. P. 536–553. https://doi.org/10.1128/MR.52.4.536-553.1988
- Siliciano P.G., Tatchell K. Transcription and regulatory signals at the mating-type locus in yeast // Cell. 1984. V. 37. P. 969–978. https://doi.org/10.1016/0092-8674(84)90431-8
- Kassir Y., Simchen G. Regulation of mating and meiosis in yeast by the mating-type region // Genetics. 1976. V. 82. P. 187–206. https://doi.org/10.1093/genetics/82.2.187
- Hagen D.C., Bruhn L., Westby C.A., Sprague G.F. Jr. Transcription of alpha-specific genes in Saccharomyces cerevisiae: DNA sequence requirements for activity of the coregulator alpha 1 // Mol. Cell. Biol. 1993. V. 13. P. 6866–6875. https://doi.org/10.1128/mcb.13.11.6866-6875.1993
- Bruhn L., Sprague G.F. Jr. MCM1 point mutants deficient in expression of alpha-specific genes: Residues important for interaction with alpha 1 // Mol. Cell. Biol. 1994.V. 14. P. 2534–2544. https://doi.org/10.1128/MCB.14.4.2534
- Степченкова Е.И., Коченова О.В., Инге-Вечтомов С.Г. “Незаконная” гибридизация и “незаконная” цитодукция у гетероталличных дрожжей Saccharomyces cerevisiae как система для анализа генетической активности экзогенных и эндогенных факторов в “альфа-тесте” // Вестник Санкт-Петербургского ун-та. Сер. 3. 2009. Вып. 4. С. 129–140.
- Инге-Вечтомов С.Г. Идентификация некоторых групп сцепления у Петергофских генетических линий дрожжей // Генетика. 1971. Т. 7. № 9. С. 113–123.
- Rose M.D., Winston F., Hieter P. Methods in Yeast Genetics. CSHL Press, 1990. 198 c.
- Maron D.M., Ames B.N. Revised methods for the Salmonella mutagenicity test // Mutat. Res. 1983. V. 113. P. 173–215. https://doi.org/10.1016/0165-1161(83)90010-9
- Mortelmans K., Zeiger E. The ames Salmonella/microsome mutagenicity assay // Mutat. Res. 2000. V. 455. P. 29–60. https://doi.org/10.1016/S0027-5107(00)00064-6
Дополнительные файлы




