Uniaxial Quadrupole Order in a Magnet With Strong Biquadratic Exchange
- Authors: Kokorina E.E.1, Medvedev M.V.1
-
Affiliations:
- Institute of Electrophysics, Ural Branch, Russian Academy of Sciences
- Issue: Vol 124, No 12 (2023)
- Pages: 1177-1185
- Section: ЭЛЕКТРИЧЕСКИЕ И МАГНИТНЫЕ СВОЙСТВА
- URL: https://journals.rcsi.science/0015-3230/article/view/232727
- DOI: https://doi.org/10.31857/S001532302360154X
- EDN: https://elibrary.ru/CKAKZP
- ID: 232727
Cite item
Full Text
Abstract
Abstract—
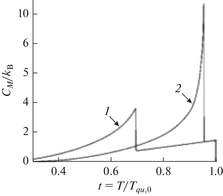
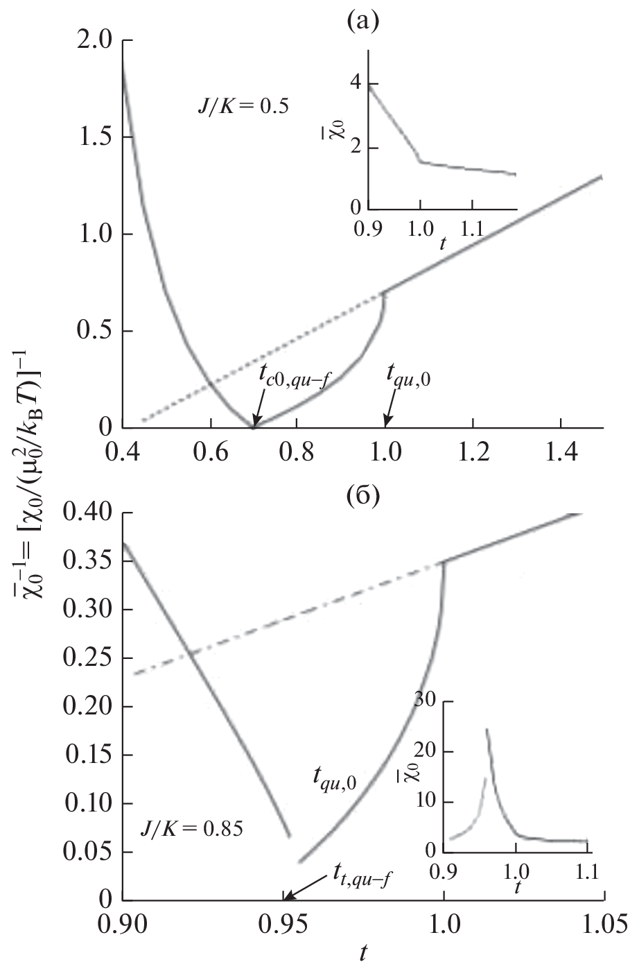
It is shown that in a magnet with a sufficiently strong biquadratic exchange interaction (compared to bilinear exchange) and spin S > 1, the temperature transition from a disordered paramagnetic state to the ground ferromagnetic state passes through an intermediate magnetically ordered phase—uniaxial quadrupole ordering. For a magnet with spin S = 3/2, a phase diagram of magnetic states was constructed in the region of large values of the biquadratic exchange and it was studied how the sequence of two phase transitions—“paramagnetic state–quadrupole state” and “quadrupole state–ferromagnetic state”—manifests itself in the temperature behavior of the magnetic heat capacity and the initial magnetic susceptibility.
About the authors
E. E. Kokorina
Institute of Electrophysics, Ural Branch, Russian Academy of Sciences
Author for correspondence.
Email: kokorina@iep.uran.ru
Russia, 620016, Ekaterinburg
M. V. Medvedev
Institute of Electrophysics, Ural Branch, Russian Academy of Sciences
Author for correspondence.
Email: medvedev@iep.uran.ru
Russia, 620016, Ekaterinburg
References
- Anderson P.W. New approach to the theory of superexchange interactions // Phys. Rev. 1959. V. 115. P. 2−11.
- Huang N.L., Orbach R. Biquadratic superexchange // Phys. Rev. Lett. 1964. V. 12. P. 275−277.
- Spisak D., Hafner J. Theory of bilinear and biquadratic exchange interactions in iron: bulk and surface // JMMM. 1997. V. 168. P. 257−268.
- Kartsev A., Augustin M., Evans R.F.L., Novoselov K.S., Santes E.J.G. Biquadratic exchange interactions in two-dimensional magnets // NPJ: Computational Materials. 2020. 150. 11 p.
- Нагаев Э.Л. Магнетики со сложным обменным взаимодействием. М.: Наука. Гл. ред. физ.-мат. лит., 1988. 232 с.
- Chen H.H., Levy P.M. Quadrupole phase transitions in magnetic solids // Phys. Rev. Lett. 1971. V. 27. P. 1383.
- Chen H.H., Levy P.M. Dipole and quadrupole phase transitions in Spin-1 metals // Phys.Rev. 1973. V. 7. P. 4267−4284.
- Кокорина Е.Е., Медведев М.В. Квадрупольное упорядочение и обратный магнитокалорический эффект в магнетике с биквадратичным обменом и спином S = 1 // ФММ. 2022. Т. 123. С. 939−948.
- Вальков В.В., Мацулева Г.Н., Овчинников С.Г. Влияние сильного кристаллического поля на спектральные свойства магнетиков с биквадратичным обменом // ФТТ. 1989. Т. 31. Вып. 6. С. 60−67.
- Смарт Дж. Эффективное поле в теории магнетизма. М.: Мир, 1968. 272 с.
Supplementary files





