Variations in the radiation intensity of the pulsar B0950+08: 9 years of monitoring at a frequency of 110 MHz
- Authors: Smirnova T.V.1, Toropov M.O.2, Tyul'bashev S.A.1
-
Affiliations:
- Lebedev Physical Institute
- LLC TEK Inform
- Issue: Vol 101, No 8 (2024)
- Pages: 753-763
- Section: Articles
- URL: https://journals.rcsi.science/0004-6299/article/view/274401
- DOI: https://doi.org/10.31857/S0004629924080062
- EDN: https://elibrary.ru/ITDBFY
- ID: 274401
Cite item
Full Text
Abstract
The analysis of variations in the radiation intensity of the pulsar B0950+08 from 2014 to 2022 with scales from minutes to years was carried out. The observations were obtained in a round-the-clock daily survey conducted on the Large Phased Array (LPA) radio telescope. The high variability of radiation is shown not only from pulse to pulse, but also at scales greater than 3 min. The average value of the estimated amplitude of these variations in 3.2 minutes is 25 Jy, the modulation index is 1. The average relative amplitude of the interpulse (IP) is 2.00 ± 0.28 % of the main pulse. In individual pulses, the amplitude of the interpulse may exceed the amplitude of the main pulse (MP), but this is a rare event. Radiation is observed in almost the entire period of the pulsar. For the first time, the relative amplitude of radiation between the main pulse and the interpulse (radiation bridge) was measured. When averaging about 10 hours, it varies from 0.8% to 1.31% with an average value of 1.04 ± 0.28 %. A high correlation was found between MP and IP amplitude variations both when averaging profiles over 3.2 minutes and when averaging over years. This correlation is due to refractive interstellar scintillation. The frequency scale of IP diffraction interstellar scintillation was measured for the first time and it was shown that the spectral forms for IP and MP are well correlated and have the same frequency scale. There are strong variations in the frequency scale of scintillation f dif from session to session (time interval from one day) on scales of 200–800 kHz. The refractive scale of scintillation for 1–2 days has been determined. A modulation of radiation with a characteristic scale of about 130 days was detected, which, apparently, is also associated with refractive scintillation.
Keywords
Full Text
1. ВВЕДЕНИЕ
Пульсар В0950+08 (J0953+0755) — один из самых мощных пульсаров в метровом диапазоне. Он имеет низкоуровневое излучение практически весь период [1–3]. По-видимому, это связано с тем, что угол между магнитной осью и осью вращения мал (случай соосного ротатора) и наблюдатель видит область излучения в течении всего периода [4]. Кроме главного импульса (MP) пульсар имеет интеримпульс (IP), предимпульс и мост излучения (М) между MP и IP. Для пульсара характерна высокая степень поляризации: 67 ± 6 % на частоте 39 МГц [5], а позиционный угол плавно меняется на 180° от MP к IP [6], расположенному на расстоянии 152° от MP. В ряде работ указывается на высокую переменность интенсивности индивидуальных импульсов и наличие гигантских импульсов для этого пульсара [7–10]. Хотя накоплено много наблюдательных данных для пульсара в широком диапазоне частот, однако остается много вопросов о геометрии его магнитосферы, локализации области радиоизлучения и механизме излучения.
Прохождение излучения от пульсаров через неоднородности межзвездной плазмы (МЗП) приводит к целому ряду наблюдаемых эффектов: угловому уширению источника, временному уширению импульсов, модуляции интенсивности излучения по частоте и времени (мерцания). Изучение этих эффектов позволяет исследовать пространственную структуру неоднородностей межзвездной плазмы. При распространении излучения радиоволны рассеиваются на неоднородностях межзвездной плазмы в некий угловой спектр с масштабом , называемый углом рассеяния. На некотором расстоянии от рассеивающего слоя r их интерференция приводит к амплитудной модуляции. Различают дифракционные мерцания на масштабах ( cм на длине волны м) и рефракционные мерцания, которые реализуются на существенно больших пространственных масштабах: ( см, r — расстояние от наблюдателя до рассеивающего экрана). Большое число экспериментальных фактов интерпретировано в рамках однородной изотропной Колмогоровской турбулентности [11, 12]. Однако было показано, что в некоторых направлениях показатель степени спектра неоднородностей, n , существенно отличается от Колмогоровского: n = 11/3. В частности, в направлении на пульсар B0950+08 n = 3 [13, 14]. По наблюдениям на наземно-космическом интерферометре Радиоастрон было также показано [13], что в направлении B0950+08 существует 2 рассеивающих слоя на расстояниях 4.4–16.4 пк и 26–170 пк. В работе [14] для этого пульсара были получены характерные масштабы мерцаний на четырех частотах 41, 62, 88 и 110 МГц.
В настоящей работе на интервале наблюдений 9 лет мы исследуем как поведение основных компонентов импульсного излучения пульсара В0950+08, так и влияние неоднородностей межзвездной плазмы на прохождение его излучения к наблюдателю.
2. НАБЛЮДЕНИЯ И ПЕРВИЧНАЯ ОБРАБОТКА СИГНАЛА
Наблюдения проводились на Большой синфазной антенне (БСА) Физического института им. П. Н. Лебедева (ФИАН) по программе Пущинского многолучевого поиска пульсаров (PUMPS; Pushchino Multibeams Pulsar Search) [15, 16]. При реконструкции БСА на базе одного антенного поля было создано два независимых радиотелескопа. У одного из них (БСА-3) реализовано 128 неподвижных лучей, перекрывающих склонения по уровню пересечения 0.4. БСА построена на диполях, которые принимают линейно-поляризованное излучение в одной плоскости.
Пульсар B0950+08 попадает в площадку обзора и ежедневно наблюдается на протяжении 9 лет. Центральная частота наблюдений 110.3 МГц, полоса приема 2.5 МГц. На антенне проводятся наблюдения в разных режимах и на разных приемниках. В данной работе был использован 32-канальный приемник с шириной канала 78 кГц. Время опроса точки 12.5 мс. Для калибровки сигнала в частотных каналах использовалась калибровочная ступенька с известной температурой, которая записывалась 6 раз в день. Ежедневные записи пульсара проводились с 21.08.2014 по 31.12.2022 (MJD 56890–59944), всего 3054 дня.
Данные записывались на диск во всех частотных каналах часовыми порциями. Из соответствующей часовой записи выбиралась часть, соответствующая времени прохождения пульсара через диаграмму антенны по уровню половинной мощности. Для пульсара B0950+08 это время составляет 3.2 мин (798 импульсов). Первичная обработка включала несколько этапов: калибровка сигнала по калибровочной ступеньке таким образом, чтобы усиление во всех каналах было одинаковым; вычитание базовой линии; компенсация дисперсии; запись всех импульсов во всех частотных каналах на диск. После этого проводился анализ средних профилей, полученных за каждый день, и отбраковывались сеансы, в которых качество среднего профиля было низким.
Средний профиль для каждого сеанса получался после компенсации дисперсии сложением всех записей с заданным периодом. В среднем профиле проводился циклический сдвиг таким образом, чтобы MP был в первой четверти периода. Фаза MP во всех сеансах была одной и той же, поэтому можно было складывать их, чтобы получить средний профиль за все сеансы данного года. На рис. 1 представлен один из таких профилей, накопленный по 112 сеансам за 2014 г. Для большей наглядности он приведен с двойным периодом. Здесь хорошо видны компоненты этого профиля: MP, IP и мост. Излучение имеет место практически весь период.
Рис. 1. Средний профиль B0950+08, накопленный за 2014 г. (112 сеансов). Стрелкой отмечена долгота, на которой измерялась амплитуда моста (М). Вверху показан этот профиль в увеличенном масштабе, чтобы лучше было видно межимпульсное излучение.
Пульсар наблюдался в двух смежных лучах, поэтому можно было следить за состоянием ионосферы, и если смещение координаты по склонению было большим, то эти сеансы не использовались для анализа. При наличии сильных помех такие записи также исключались из анализа. Кроме того, часть дней была использована для технических работ на антенне. Всего по перечисленным выше причинам было исключено 9.7% из общего числа сеансов. Поскольку излучение пульсара занимает почти весь период, для каждого сеанса на долготе минимального значения амплитуды среднего профиля формировался временной ряд амплитуд (положительные и отрицательные отклонения от среднего уровня) и затем по ним находилось значение уровня шумов ( ). Для каждого сеанса записывались значения , амплитуды MP, IP и моста для среднего профиля в отдельную таблицу за все дни наблюдений. Долгота, на которой определялась амплитуда моста, на рис. 1 отмечена стрелкой.
Период пульсара P = 0.253 с, мера дисперсии DM = 2.97 пк/см 3 , мера вращения RM = 1.35 рад/м 2 согласно каталогу ATNF [1] [17]). Дисперсионное размазывание в полосе одного канала меньше дискрета. В среднем профиле пульсара мы имеем 20 точек с разрешением 12.5 мс. Ширина среднего профиля на уровне половины амплитуды на частоте 111 МГц составляет 15 мс, расстояние между компонентами 6.2 мс [8], поэтому детали индивидуальных импульсов (компоненты и предимпульс) не разрешаются в наших наблюдениях. В этой работе мы будем анализировать только три компонента: MP, IP и мост.
3. АНАЛИЗ И РЕЗУЛЬТАТЫ
Пульсар 0950+08 — это один из наиболее мощных и близких пульсаров. Расстояние до него R = 262 ± 5 пк, поперечная лучу зрения скорость км/с [18]. В работе [19] приведены результаты измерения плотности потока на частоте МГц, S = 2 Ян. На рис. 2 показаны вариации амплитуды MP для среднего за сеанс профиля (3.2 мин) за первые 1000 дней наблюдений. Видно, что амплитуда сильно меняется день ото дня. Измеренный на долготе MP индекс модуляции m = 0.985. Он определялся по формуле:
(1)
где A и — это интенсивность и средняя интенсивность, а N — это число точек. Сильные вариации обусловлены эффектами распространения излучения в неоднородной межзвездной плазме. Эти эффекты включают: Фарадеевское вращение плоскости поляризации, дифракционные и рефракционные мерцания. Характерные временной и частотный масштабы мерцаний на частоте 112 МГц: с и кГц [14]. Поскольку временной масштаб мерцаний больше времени одного сеанса, а частотный масштаб меньше полосы приемника (2.5 МГц), то основной вклад в вариации амплитуды среднего за сеанс профиля определяется временным масштабом мерцаний.
Рис. 2. Зависимость амплитуды MP для среднего за сеанс профиля от времени. Внизу на уровне нуля показана σ n от времени. Ось y слева — амплитуда в относительных единицах, справа — в янских. Первый день соответствует 21.08.2014 (MJD 56890).
Пульсар имеет сильную линейную поляризацию, % на частоте 111 МГц [20] и поэтому поляризация также может оказывать влияние на вариации амплитуды сигнала. Период Фарадеевского вращения P F [кГц] , где f — частота наблюдений в сотнях МГц. Соответственно, МГц на частоте 110.3 МГц, что существенно больше полосы приемника. Вращение плоскости поляризации в полосе приемника приводит к относительному изменению амплитуды компонентов профиля день ото дня. Поскольку позиционный угол между MP и IP изменяется примерно на 180° [6], отношение амплитуд MP и IP не будет меняться от сеанса к сеансу, а отношение интенсивностей излучения в MP и моста будет изменяться из-за разности позиционных углов на этих долготах.
3.1. Вариации амплитуд компонентов среднего профиля
Вариации амплитуды для MP, определяемой по средним за сеанс профилям, показаны за первые 1050 дней на рис. 2. Как видно из этого рисунка, амплитуда существенно меняется день ото дня (более чем в 500 раз). Это связано как с поляризацией, так и с дифракционными и рефракционными мерцаниями при распространении излучения через неоднородности межзвездной плазмы. Чтобы привязать амплитуду в относительных единицах к амплитуде в янских, мы использовали следующее соотношение:
(2)
где S = 2 Ян — это плотность потока пульсара на частоте 111 МГц [19], — коэффициент, учитывающий отношение пиковой амплитуды к энергии в импульсе, усредненной за период пульсара, — среднее за весь период наблюдений значение амплитуды в относительных единицах. Энергия в импульсе вычислялась, как сумма интенсивностей внутри границ MP для среднего профиля, умноженная на временной шаг между точками (12.5 мс). Тогда значение амплитуды и ее среднее за период наблюдений равно 34.1 Ян, а пиковое значение достигает 240 Ян. На рис. 2 ось справа дана в янских. Среднее значение шума равно в относительных единицах. Самые большие амплитуды имеют отношение сигнала к шуму .
Чтобы получить средние по годам амплитуды MP, IP и моста, а также их соотношения, мы усреднили все профили за каждый год. Значения средних амплитуд MP, IP, моста ( , , ) и их соотношения по годам приведены в табл. 1. При таком усреднении все эффекты распространения излучения в межзвездной плазме и поляризация уже не оказывают влияния. Усреднение соответствует накоплению порядка 16 часов (300 сеансов). Средние значения амплитуды компонентов профиля в янских приведены в конце таблицы. Относительная амплитуда интеримпульса , однако в отдельных сеансах (при накоплении 3.2 мин) может доходить до 5%. Внутри одного сеанса могут наблюдаться импульсы, в которых амплитуда интеримпульса может превышать амплитуду на долготе MP. Такой пример показан на рис. 3.
Таблица 1. Отношения амплитуд компонентов профиля В0950+08 и их пиковые плотности потока по годам
Год | A IP / A MP , % | A M / A MP , % | A MP , Ян | A M , Ян | A IP , Ян |
2014 | 2.2 | 1.01 | 25.77 | 0.26 | 0.57 |
2015 | 2.15 | 1.31 | 24.27 | 0.31 | 0.49 |
2016 | 1.93 | 1.37 | 25.95 | 0.25 | 0.50 |
2017 | 1.9 | 0.78 | 24.38 | 0.19 | 0.46 |
2018 | 2.3 | 1.15 | 22.56 | 0.26 | 0.43 |
2019 | 2.16 | 1.15 | 24.56 | 0.29 | 0.54 |
2020 | 2.14 | 1.14 | 21.20 | 0.24 | 0.45 |
2021 | 1.8 | 0.98 | 24.38 | 0.22 | 0.44 |
2022 | 1.4 | 0.47 | 20.49 | 0.10 | 0.29 |
среднее | 2.0 ± 0.28 | 1.04 ± 0.28 | 23.7 ± 1.9 | 0.24 ± 0.06 | 0.46 ± 0.08 |
Рис. 3. Три индивидуальных импульса (снизу вверх) и средний за этот сеанс профиль (вверху). Макушка среднего профиля срезана (его амплитуда равна 10), чтобы лучше был виден IP. Ось y — амплитуда в относительных единицах, ось x — долгота в точках.
Здесь приведены 3 индивидуальных импульса и средний профиль за один из сеансов. В импульсе с номером 231 амплитуда интеримпульса превышает амплитуду MP в 1.64 раза. На рис. 4 показаны зависимости между средними значениями амплитуд компонентов профиля по 9 годам наблюдений. Как видно из этого рисунка, есть корреляция между амплитудами MP и IP при усреднении по годам. Коэффициент корреляции по всем точкам , если убрать значение за 2022 г. (точка в нижнем левом углу), то . Для остальных компонентов корреляции нет.
Рис. 4. Зависимость между амплитудами MP и IP по 9 годам наблюдений. Амплитуды даны в относительных единицах. Прямая соответствует подгонке методом наименьших квадратов.
3.2. Корреляционный анализ
Чтобы посмотреть, коррелируют ли вариации амплитуды MP и IP, полученные по средним профилям за сеанс наблюдения (3.2 мин), мы вычислили кросскорреляционную функцию (CCF) между ними на всем интервале наблюдений. Поскольку у нас неравномерные (с пропусками плохих сеансов) ряды, то мы определяли ССF, как:
(3)
где и — это средние значения амплитуд MP и IP, и — среднеквадратичные отклонения, M — длина массива, — временной сдвиг в днях, , , когда есть значение в данный день i и равно 0 в противном случае. — количество точек при данном сдвиге . Автокорреляционная функция (ACF) вычисляется таким же образом при замене I 2 на I 1 . Вычисление начинается с , чтобы исключить влияние шумов при нулевом сдвиге для ACF. Для CCF мы не вычисляли функцию для отрицательных сдвигов, а просто отразили зеркально функцию на отрицательные сдвиги. На рис. 5 показаны CCF между амплитудами MP и IP, а также автокорреляционная функция от вариаций амплитуды MP. CCF ( ) равна 0.63. На рисунке это значение не показано, чтобы лучше видеть меньшие значения CCF. Очевидно, что существует высокая корреляция амплитуд MP и IP для одних и тех же сеансов. Шумы на долготах MP и IP не коррелированы при нулевом сдвиге. Эти коррелированные вариации MP и IP обусловлены рефракцией на одной и той же среде и не являются собственными вариациями излучения пульсара. При сдвиге на 1 день CCF ( ) равна 0.14, а ACF ( ) соответственно 0.21. Даже при сдвиге в 2 дня наблюдается значимая корреляция: CCF ( ) равна 0.09, а ACF ( ) равна 0.11. Характерное время декорреляции при сдвиге, на котором ACF падает в 2 раза, составляет дня. Кроме этого масштаба в 1–2 дня существует, по-видимому, медленная модуляция с масштабом порядка 130 дней, отмеченная стрелкой на рис. 5. Корреляция этих вариаций обусловлена рефракцией на более крупных масштабах.
Рис. 5. Кросскорреляционная функция между амплитудами средних за сеанс профилей MP и IP (нижняя панель), при нулевом сдвиге значение CCF (0.63 для k = 0) заменено на значение при k = 1; автокорреляционная функция от вариаций амплитуд MP (верхняя панель). Стрелкой отмечен сдвиг в 130 дней.
3.3. Влияние межзвездной плазмы
При распространении излучения через неоднородности межзвездной плазмы эффекты мерцаний наиболее выражены на низких частотах. На метровых волнах мерцания являются насыщенными и реализуются как дифракционные, так и рефракционные мерцания. Характерные временные масштабы дифракционных мерцаний, , а рефракционных мерцаний . На частоте 110 МГц для дифракционных мерцаний это секунды и минуты, а для рефракционных мерцаний это могут быть дни, месяцы и годы. Здесь — скорость движения дифракционной картины относительно наблюдателя. Эта скорость складывается из трех компонентов:
(4)
где , и — это скорости пульсара, Земли и экрана соответственно, — расстояние от наблюдателя до пульсара, — расстояние от наблюдателя до экрана. Расстояние до пульсара пк, поперечная лучу зрения скорость км/с [18]. Скорость Земли порядка 30 км/с, около 10 км/с и ею можно пренебречь. На частоте 110 МГц мы имеем насыщенные мерцания, индекс модуляции вариаций интенсивности от сеанса к сеансу на долготе MP по нашим наблюдениям равен 0.985.
Дифракционные мерцания вызывают модуляцию интенсивности сигнала как по времени, так и по частоте. Временной масштаб модуляции по времени c [14] и мы его измерить не можем. В работе [21] было получено значение мин на частоте 154 МГц. Принимая частотную зависимость t dif ~ f 2/(n – 2) и значение показателя спектра неоднородностей [14], получим в пересчете на частоту 110 МГц значение мин, т. е. существенно больше времени нашего сеанса.
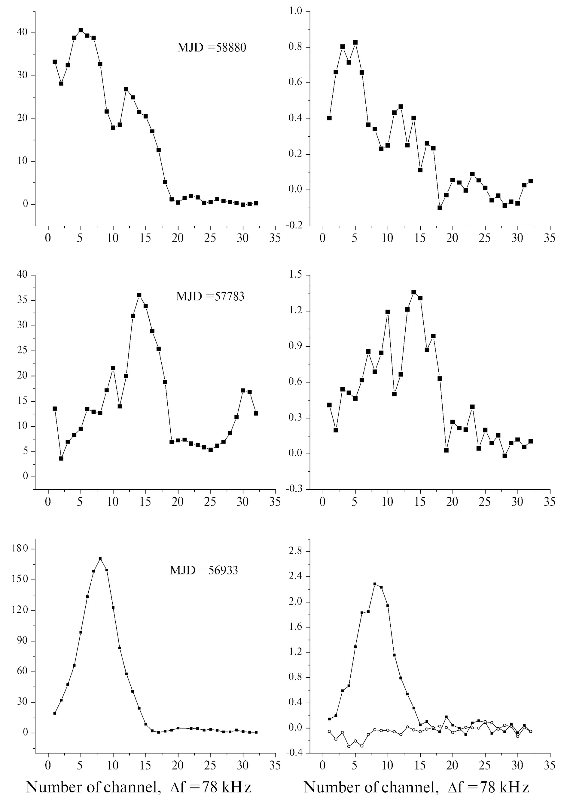
Для определения частотного масштаба мерцаний на долготах максимумов MP и IP мы анализировали накопленные за сеанс спектры (зависимости амплитуды от частоты) в 32-х каналах. Поскольку временной масштаб дифракционных мерцаний существенно больше времени одного сеанса, то мерцания по времени не окажет влияния на спектр. Такие спектры для трех сеансов наблюдений приведены на рис. 6. Видно, что спектры хорошо коррелируют, как по форме, так и по масштабу для MP и IP. Характерный частотный масштаб мерцаний определяется обычно по сдвигу, при котором происходит падение амплитуды корреляционной функции в 2 раза. Частотный масштаб сильно меняется от сеанса к сеансу в широких пределах: так для MJD 56933 кГц, а для MJD 58880 кГц. Частотные масштабы одинаковы для MP и IP.
Рис. 6. Средние спектры за 3 сеанса наблюдений на долготах MP (слева) и IP (справа). Амплитуды даны в относительных единицах. Для MJD 56933 на спектре IP дополнительно приведен спектр шума (нижняя панель, справа).
4. ОБСУЖДЕНИЕ И ЗАКЛЮЧЕНИЕ
На сильные вариации интенсивности излучения PSR B0950+08 в широком диапазоне временных масштабов указывалось во многих работах [8–10, 21, 22]. Мы наблюдаем сильные вариации амплитуды MP от сеанса к сеансу (временной интервал сутки и больше), индекс модуляции равен . В работе [21] с наблюдениями на частоте 154 МГц указали на сильную переменность плотности потока с индексом модуляции . Как мы показали, при усреднении за большой промежуток времени вариации амплитуд компонентов пульсара от года к году становятся небольшими, около 8% (табл. 1). Наблюдается существенная корреляция между усредненными за временной интервал 3.2 мин вариациями амплитуды MP и IP и от года к году. В работе [1] из анализа поведения интенсивности излучения от импульса к импульсу (на временном интервале в 200 импульсов) на частоте 430 МГц была обнаружена корреляция между энергиями IP и MP с коэффициентом 0.13–0.33 для разных выборок. Мы не обнаружили такую корреляцию при анализе амплитуд импульсов внутри одного сеанса.
Частотный дифракционный масштаб В0950+08 в наших наблюдениях сильно меняется от сеанса к сеансу ( мин). На большие вариации дифракционных параметров близких пульсаров указывалось в работе [22] по долговременным наблюдениям на 327 МГц. В0950+08 не входил в этот список, однако вариации в 4–5 раз — обычное явление. Наблюдения близкого пульсара ( пк) B1133+16 на частоте 110 МГц показали также сильные вариации дифракционных параметров [23]. Белл и др. [21] на частоте 154 МГц измерили МГц для В0950+08. Используя зависимость для Колмогоровского спектра, получим кГц, близкое к нашему значение. Измерение в работе [14] на частоте 112 МГц также хорошо согласуется с нашими данными. Мы впервые измерили частотный дифракционный масштаб на долготе интеримпульса и показали, что форма спектра и масштаб по частоте одинаковы для MP и IP. Этот факт также может служить доводом в пользу излучения MP и IP с одного полюса и, следовательно, малого угла между магнитным полем и осью вращения.
Высокая корреляция между амплитудами MP и IP от сеанса к сеансу при нулевом сдвиге по времени обусловлена тремя причинами: мерцаниями, поляризацией и ионосферой. Разделить их сложно. Временной масштаб вариаций в 1–2 дня обусловлен в основном рефракционными мерцаниями, поскольку как поляризация, так и дифракционные мерцания не коррелируют ото дня ко дню. В работе [24] наблюдали рефракционные мерцания близких пульсаров на частоте 75 МГц, в том числе и PSR B0950+08. Авторы дают для него дня. Принимая зависимость и экстраполируя на частоту 110 МГц, получим дня или в пределах ошибок от 0.8 до 2 дней, что близко к полученному нами значению 1–2 дня. Для модели рассеяния на протяженной среде и Колмогоровского спектра неоднородностей без внутреннего масштаба используем для времени рефракции и индекса модуляции [25]:
(5)
(6)
Здесь и для получаем (ур-е (4)). Принимая среднее значение для км/c ( существенно меняется со временем), кГц и 800 кГц, получим и 2.5 дня соответственно. Поскольку частотный дифракционный масштаб сильно меняется со временем, и мы не знаем его среднего значения на всем временном интервале наших наблюдений, то можно сказать, что предсказываемое моделью хорошо согласуется с полученным нами значением дня. Ожидаемые значения и 0.52 для кГц и 800 кГц соответственно. Наш индекс модуляции m = 1 существенно больше предсказываемого моделью. Возможно, это связано с наличием еще одного рефракционного масштаба, который мы также связываем с рефракционными мерцаниями на крупных масштабах неоднородностей. Сам масштаб можно определить на сдвиге, равном 1/4 расстояния между минимумами CCF (df) в центральной части на рис. 5. Он порядка 30 дней и пространственный масштаб диска рассеяния см.
ЗАКЛЮЧЕНИЕ
В результате анализа 9-летних ежедневных наблюдений получены следующие результаты.
Определены средние и относительные значения амплитуд компонентов среднего профиля PSR B0950+08 на частоте 110.3 МГц при усреднении профилей по годам: A MP = 23.7 ± 1.9 Ян, A IP = 0.46 ± 0.08 Ян, A M = 0.24 ± 0.06 Ян, A IP / A MP = 2.0 ± 0.28 %, A M / A MP = 1.04 ± 0.28 %; амплитуда IP может превышать амплитуду MP в отдельных импульсах, но это довольно редкое событие.
Наблюдаются сильные вариации амплитуды среднего профиля от сеанса к сеансу на масштабах от одних суток. Среднее значение амплитуды этих вариаций A = 25 Ян, индекс модуляции равен 1. Пиковые амплитуды достигают 240 Ян, при этом S / N = 750.
Обнаружена высокая корреляция (коэффициент корреляции равен 0.63) между вариациями амплитуды MP и IP как при усреднении профилей за 3.2 мин, так и при усреднении по годам. Эта корреляция обусловлена рефракционными мерцаниями. Корреляции вариаций амплитуды MP и IP по отдельным импульсам внутри сеанса наблюдений не обнаружено.
Впервые измерен частотный масштаб дифракционных мерцаний IP и показано, что форма спектра и масштаб одинаковы для MP и IP. Наблюдаются сильные вариации f dif от сеанса к сеансу (звездные сутки между сеансами) в диапазоне 200–800 кГц.
Определен масштаб рефракционных мерцаний T ref = 1–2 дня, обнаружены вариации амплитуды сигнала с периодом порядка 130 дней. Короткий масштаб согласуется с предсказанием для модели протяженной рассеивающей среды с Колмогоровским спектром неоднородностей. Второй масштаб, по-видимому, связан с рефракционными мерцаниями на крупных неоднородностях порядка 10 13 см.
ФИНАНСИРОВАНИЕ
Исследование проведено за счет гранта Российского Научного Фонда (РНФ) № 22-12-00236 [2] .
БЛАГОДАРНОСТИ
Авторы выражают благодарность Л. Б. Потаповой за помощь при оформлении статьи.
1 https://www.atnf.csiro.au/research/pulsar/psrcat/
2 https://rscf.ru/project/22-12-00236/
About the authors
T. V. Smirnova
Lebedev Physical Institute
Author for correspondence.
Email: tania@prao.ru
Astro space center, Pushchino radio astronomy observatory
Russian Federation, Pushchino, Moscow reg.M. O. Toropov
LLC TEK Inform
Email: tania@prao.ru
Russian Federation, Moscow
S. A. Tyul'bashev
Lebedev Physical Institute
Email: tania@prao.ru
Astro space center, Pushchino radio astronomy observatory
Russian Federation, Pushchino, Moscow reg.References
- T. H. Hankins and J. M. Cordes, 249, 241 (1981).
- T. E. Perry and A. G. Lyne, Monthly Not. Roy. Astron. Soc. 212, 489 (1985).
- T. V. Smirnova and T. V. Shabanova, Soviet Astron. 32(1), 61 (1988).
- A. G. Lyne and R. N. Manchester, Monthly Not. Roy. Astron. Soc. 234, 477 (1988).
- S. A. Suleimanova, Y. V. Volodin, and V. M. Malofeev, Soviet Astron. 27(3), 322 (1983).
- D. C. Backer and J. M. Rankin, Astrophys. J. Suppl. 42, 143 (1980).
- T. V. Smirnova, Astron. Rep. 50(11), 915 (2006).
- T. V. Smirnova, Astron. Rep. 56(6), 430 (2012).
- A. K. Singal and H. O. Vats, Astron. J. 144(5), id. 155 (2012).
- M. Kuiack, R. A. M. J. Wijers, A. Rowlinson, A. Shulevski, F. Huizinga, G. Molenaar, and P. Prasad, Monthly Not. Roy. Astron. Soc. 497(1), 846 (2020).
- J. W. Armstrong, B. J. Rickett, and S. R. Spangler, 443, 209 (1995).
- V. I. Shishov and T. V. Smirnova, Astron. Rep. 46(9), 731 (2002).
- T. V. Smirnova, V. I. Shishov, M. V. Popov, C. R. Gwinn, et al., 786(2), id. 115 (2014).
- T. V. Smirnova and V. I. Shishov, Astron. Rep. 52(9), 736 (2008).
- S. A. Tyul'bashev, V. S. Tyul'bashev, V. V. Oreshko, and S. V. Logvinenko, Astron. Rep. 60(2), 220 (2016).
- S. A. Tyul'bashev, M. A. Kitaeva, and G. E. Tyul'basheva, Monthly Not. Roy. Astron. Soc. 517(1), 1112 (2022).
- R. N. Manchester, G. B. Hobbs, A. Teoh, and M. Hobbs, Astron. J. 129(4), 1993 (2005).
- S. E. Thorsett, W. F. Brisken, and W. M. Goss, 573(2), L111 (2002).
- V. M. Malofeev, O. I. Malov, and N. V. Shchegoleva, Astron. Rep. 44(7), 436 (2000).
- T. V. Shabanova and Yu. P. Shitov, Astron. and Astrophys. 418, 203 (2004).
- M. E. Bell, T. Murphy, S. Johnston, D. L. Kaplan, et al. Monthly Not. Roy. Astron. Soc. 461(1), 908 (2016).
- N. D. R. Bhat, A. P. Rao, and Y. Gupta, Astrophys. J. Suppl. 121(2), 483 (1999).
- М. В. Попов, Т. В. Смирнова, Астрон. журн. 101, в печати (2024).
- Y. Gupta, B. J. Rickett, and W. A. Coles, 403, 183 (1993).
- B. J. Rickett, W. A. Coles, and G. Bourgois, Astron. and Astrophys. 134, 390 (1984).
Supplementary files








