Aeronomy of the atmosphere of ultra-hot Jupiter Kelt9B taking into account the kinetics of hydrogen atom levels
- 作者: Shaikhislamov I.F.1,2,3, Miroshnichenko I.B.1,3, Rumenskikh M.S.1,2,3, Shepelin A.V.1, Berezutsky A.G.1,2, Sharipov S.S.1,3, Golubovsky M.P.1, Chibranov A.A.1, Khodachenko M.L.4
- 
							隶属关系: 
							- Institute of Laser Physics SB RAS
- Institute of Astronomy, Russian Academy of Sciences
- Novosibirsk State Technical University
- Institute for Space Research
 
- 期: 卷 101, 编号 8 (2024)
- 页面: 725-742
- 栏目: Articles
- URL: https://journals.rcsi.science/0004-6299/article/view/274396
- DOI: https://doi.org/10.31857/S0004629924080044
- EDN: https://elibrary.ru/ITHEOX
- ID: 274396
如何引用文章
全文:
详细
Ultra-hot Jupiter Kelt9b impels to reconsider existing models of the upper atmospheres of hot exoplanets, which were previously developed using the example of G or M star systems such as HD209458b and GJ436b. The unique conditions of interaction between the radiation of an A-class star and the atmosphere necessitate kinetic modeling of excited levels of elements, primarily the hydrogen atom. For Kelt9b, the absorption was measures for several Balmer lines and lines of a number of heavy elements, the quantitative interpretation of which is an urgent task. In this work, for the first time, 3D modeling of the atmosphere of a planet with a close location of the Roche lobe has been implemented, taking into account the aeronomy and kinetics of excited hydrogen.
全文:
1. ВВЕДЕНИЕ
Горячие Юпитеры составляют значительную часть всех подтвержденных экзопланет. Эта группа, состоящая примерно из 400 экзопланет, демонстрирует значительное разнообразие условий их верхних атмосфер. Это определяется сочетанием массы планеты, близостью к звезде и типом звезды. Благодаря большому размеру и короткому орбитальному периоду горячие юпитеры являются хорошими объектами для спектрально разрешенных наблюдений с помощью современных космических и наземных приборов. Их уникальной особенностью является протяженная верхняя атмосфера, нагреваемая излучением звезды в XUV диапазоне. Транзитные поглощения в линии Lyα, измеренные космическим телескопом им. Хаббла, выявили значительное газодинамическое истечение верхней атмосферы для таких экзопланет как GJ436b [1] и GJ3470b [2], а также плотное частично ионизированное облако, заполняющее полость Роша для HD209458b, HD189733b и некоторых других. Глубина и спектральная ширина поглощения в ВУФ-резонансных линиях OI, CII, SiIII, измеренные для HD209458b, подтверждают наличие сверхзвукового истечения примесных элементов, захваченных планетарным ветром [3, 4]. Недавно большой объем информации был получен в наблюдениях метастабильной линии гелия на длине волны 1083 нм. Из примерно 36 экзопланет половина дала положительное обнаружение поглощения [5]. Численное моделирование показывает, что обычно это поглощение генерируется верхней атмосферой, раздутой примерно до 3 планетарных радиусов и нагретой примерно до 10 4 K [6].
Kelt9b — уникальный сверх-горячий юпитер с равновесной температурой около 4000 К. Это массивная планета со скоростью убегания около 50 км/с, гравитация которой не позволяет развиться сверхзвуковому истечению, что можно ожидать для большинства экзопланет на орбите 0.35 а. е. Kelt9b вращается вокруг массивной молодой звезды типа A0 со спектральным распределением излучения (SED), сильно отличающимся от спектров солнце-подобных звезд или карликов. Излучение практически отсутствует в рентгеновском диапазоне (λ<50.4 нм), с умеренным потоком в мягком рентгеновском диапазоне (λ<91.2 нм, далее XUV) ~5 эрг/см 2 /с, но чрезвычайно резко возрастает в вакуумном и ближнем ультрафиолетовом, а также оптическом диапазоне с величиной 10 7 эрг/см 2 /с для фотонов 100<λ<300 нм (далее VUV). Здесь и далее все потоки излучения приводятся на сравнительном расстоянии 1 а. е. В работе [7] был проведен обзор SED звезд промежуточной массы и показано, что в целом потоки XUV, имеющие отношение к нагреву верхней атмосферы, наиболее высоки у более холодных звезд и наиболее низки у более горячих, в то время как потоки VUV растут с увеличением звездной температуры. Гипотетически это объясняется подавлением глубинной конвекции у звезд с температурой поверхности выше 8500 К. По мере того, как число ультра-горячих юпитеров, обнаруживаемых вокруг звезд промежуточной массы F5- B5-типа, быстро растет (WASP-33b, KELT-20b, WASP-189b, MASCARA-1b и MASCARA-5b), становится актуальным изучение специфических отличий таких систем по сравнению с типичными хорошо известными горячими юпитерами вокруг G-звезд или теплыми нептунами вокруг M-карликов.
Указанные особенности объясняют причину такого объема наблюдательных данных, полученных для Kelt9b. Помимо ряда обнаруженных тяжелых элементов (FeI, Fe II, TiI, TiII, [8]), получены измерения в линиях серии Бальмера возбужденного водорода несколькими различными инструментами [9–12]. Анализ [13] дает следующие параметры поглощения, усредненные по всем наблюдениям: глубина в центре A = 1.1% и ширина FWHW = 39 км/с. Недавно было обнаружено поглощение в линии Пашена [14]. Кроме того, впервые обнаружено поглощение возбужденного кислорода на длине волны 777.4 нм [15], что обещает открыть новое окно в наблюдениях экзопланетных атмосфер. Для Kelt9b поглощение в этой линии составило глубину A = 0.26% и ширину FWHW = 21 км/с. Интерпретация транзитного поглощения на линиях двух разных элементов HI (656.3 нм) и OI (777.4 нм) представляют собой сложную задачу для численных моделей, а уникальные особенности системы обещают открытие новых процессов и особенностей, до сих пор не изученных.
Измеренное поглощение в линии Hα в атмосфере Kelt9b позволяет оценить, что при T~10 4 оно происходит при ~1.6 R p и что водород истекает за полость Роша (1.95 R p ) с интегральным потоком ~10 12 г/с [12–13]. Важнейший вопрос заключается в том, способствует ли этому истечению популяция возбужденного водорода, которую мы наблюдаем? В [16] показали, что особый SED звезды А-типа может принципиально менять механизм нагрева верхней атмосферы горячих экзопланет. Доминирующей становится фотоионизация с возбужденных уровней, а не из основного состояния.
Более детальное моделирование показало, что такие легко ионизированные элементы, как Mg и Fe, могут вносить существенный вклад в общее нагревание, а также охлаждение [17]. Оказывается, что возбужденные уровни, поглощение которых в верхних атмосферах было обнаружено (Hα, HeI(2 3 S), OI(5S), FeI), могут сильно отклоняться от локального термодинамического равновесия (ЛТР). Отметим также, что частично ионизированная плазма горячих экзопланет также не достигает равновесия Саха. Причина — недостаточно высокие плотности электронов для столкновительного равновесия и плотности частиц для радиационного равновесия. Однако эффекты непрозрачности играют важную и даже доминирующую роль для некоторых переходов, например, для захвата фотонов Lyα в плотных слоях [16, 18].
Экстремальное VUV излучение Kelt9b делает его уникальным еще в одном аспекте. Хорошо известно, что в зависимости от оптической толщины конкретного слоя атмосферы следует использовать коэффициент рекомбинации типа A или B. Рекомбинация типа B, заселяющая возбужденные состояния, обычно в несколько раз больше, чем рекомбинация непосредственно в основное состояние. В плотном газе, где резонансные фотоны заперты в результате перепоглощения, возбужденные состояния после заселения рекомбинацией релаксируют в основное состояние через столкновения с электронами, тем самым завершая акт рекомбинации. Однако, когда фотоионизация возбужденных состояний происходит быстрее, чем столкновительное девозбуждение, эффективная скорость рекомбинации типа B также уменьшается, поскольку возбужденный атом с большой вероятностью опять превращается в ион. Это приводит к ионизационно-рекомбинационному равновесию при гораздо более высокой степени ионизации. Мы обнаружили, что этот фактор обусловливает гораздо большие плотности протонов и электронов и, следовательно, большие плотности возбужденного водорода и более высокие температуры. Отметим, что такой обратный процесс до сих пор не учитывался при изучении и моделировании горячих юпитеров.
[16] остается единственной работой по верхней атмосфере Kelt9b, в которой кинетика уровней атома водорода была объединена с моделированием Монте-Карло рассеяния (перепоглощения) фотонов Lyα. Рассеяние и диффузия Lyα имеет решающее значение для расчета нагрева и ионизации через возбужденный водород. Если в оптически тонкой среде в релаксации возбужденного уровня HI(2p) доминирует радиационный распад, то в оптически толстой среде при давлениях выше 10 –10 бар релаксация за счет излучения уменьшается на порядки. Эта особенность не была учтена в численном моделировании [13, 19], и общий нагрев может быть существенно недооценен. До сих пор это делалось в одномерных моделях, таких как [20] (HD 189733b, HD 209458b), [17] (HD 189733b), [16] (Kelt9b). В данной работе мы также для сравнения приводим результат 2D прямого Монте-Карло моделирования переноса Lyα на основе модели, развитой ранее в работах [18] (HD189733b, HD 209458b), [21] (Wasp52b).
Целью настоящего исследования является моделирование верхней атмосферы Kelt9b с учетом кинетики возбужденного водорода, расчета поглощения в линии Hα (656.3 нм) и сравнения с имеющимися наблюдениями. Важным моментом является то, что мы используем 3D код, позволяющий рассчитывать синтетическое поглощение в условиях, когда полость Роша располагается очень близко к атмосфере, без каких-либо геометрических приближений. Хотя это не имеет решающего значения для поглощения, мы также используем глобальное моделирование звездного ветра, взаимодействующего с планетарной атмосферой. Отметим, что предыдущие работы не смогли получить удовлетворительного соответствия синтетических профилей поглощения с измеренными. В частности, в [16] получили глубину поглощения, сравнимую с наблюдениями, только при массе планеты, существенно меньше предполагаемой из независимых измерений. Таким образом, проблема состоит в самосогласованном расчете нагрева и ТР профиля (температура-давление) атмосферы с учетом возбужденного состояние водорода, которые дают поглощение на переходе HI(n2 → n3), соответствующее наблюдениям. Именно такая задача решалась в [13, 19], где было реализовано 1D моделирование с учетом нагрева как возбужденного водорода, так и других элементов, включая Mg и Fe. Было получено, что нагрева от одного возбужденного водорода недостаточно, и что такой нагрев обеспечивается только не ЛТР населенностью уровней одного элемента — иона железа.
Мы прямым образом моделируем нaселенность возбужденного атома водорода и ограничиваемся только уровнем n = 2, что достаточно для расчета большей части дополнительного фотоионизационного нагрева потоком VUV, как видно из работы [16]. В плотной атмосфере, где это различие может быть важным, возбуждение с верхних уровней быстро передается через радиационный распад ns → 2p и np → 2s на уровень n = 2, в то время как резонансные переходы np → 1s перепоглощаются. В 3D-коде плотность подуровней 2s и 2p рассчитывается по отдельности на основе всех реакций возбуждения-девозбуждения. Эффект захвата (рассеяния) фотонов Lyα учитывается аналитическим эмпирическим путем, полученным из сравнения и анализа прямых расчетов рассеяния и диффузии Lyα фотонов кодом Монте-Карло. Отметим, что подобный подход ранее не применялся, но представляется достаточно обоснованным для экспоненциально спадающей атмосферы, в которой фотон фактически можно считать потерянным, когда он перемещается от планеты на расстояние шкалы высот. Физические процессы, обуславливающие диффузию Lyα фотонов в пространстве и по частоте, описаны в наших предыдущих работах [18, 21].
В настоящей работе мы не включаем в задачу другие элементы кроме водорода и гелия. Гелий не вносит в данном случае какой-либо вклад в нагрев и ионизацию газа, но существенно меняет шкалу высот атмосферы. В ряде работ [13, 17, 19] показывается, что низколежащие уровни возбуждения таких элементов, как MgI, MgII, FeI и FeII, являются эффективными охладителями атмосферы при рассматриваемых температурах. Тем не менее, вклад этих элементов не является определяющим, и мы оставляем их для последующих исследований. Основная цель данной работы — показать, что нагрев атмосферы за счет фотоионизации возбужденного водорода оказывается более чем достаточным для объяснения поглощения в линии Hα.
Статья организована следующим образом. В разделе 2 мы описываем нашу численную модель и ее новые возможности. В разделе 3 представлены тестовые расчеты, в разделе 4 — результаты моделирования поглощения в линии Hα. Раздел 5 содержит обсуждение и выводы.
2. ЧИСЛЕННАЯ МОДЕЛЬ
Глобальная трехмерная многожидкостная модель exo3D уже была описана в наших предыдущих работах, например, в работах [22–25] и [26–27]. Она была разработана как модернизация предыдущих 1D [28] и 2D [29–31] моделей. Модель применялась для интерпретации данных наблюдений ряда экзопланет: HD189733b [32], GJ 436b [33], WASP-80b [5, 34], TOI-421 [35], WASP-107b [27], HD209458b [36–37], Pi Men C [24], GJ3470b [38].
Код модели численно решает гидродинамические уравнения непрерывности, импульса и энергии для всех видов моделируемой многокомпонентной планетарной и звездной плазмы. В данной работе мы ограничиваемся такими элементами, как H, H + , He, He + . Новым по сравнению с предыдущими исследованиями является включение отрицательного иона водорода HI – как отдельного компонента. Кинетика образования и разрушения HI – описана в Приложении 2. Хотя модель в своей общей версии включает и молекулярные виды водорода, такие как H2, H2 + , H3 + [22, 26], в настоящем исследовании мы их не учитываем. Причина — относительно высокая температура атмосферы Kelt9b, обуславливающая быструю диссоциацию H 2 . Как показано в работе [13] c применением кода CLOUDY, это оправдано для T = 4000 К. Без учета молекулярных видов химический состав определяется фотоионизацией, радиационной и тройной рекомбинацией, электронным ударным возбуждением и ионизацией.
Основная новизна данной работы, по сравнению с нашими предыдущими, состоит в расчете кинетики второго уровня водорода HI(n2) с учетом всех процессов возбуждения и девозбуждения. При этом учитывается дифференциальное в пространстве поглощение средой звездных резонансных фотонов (Lyα) и всего спектра ионизующего излучения (λ<91.2 нм). Эмпирическим образом, на основе сравнения с расчетами кодом Монте-Карло, также учитывается рассеяние и запирание резонансных фотонов Lyα, излучаемых при радиационном распаде HI(n2) в основное состояние HI(n1). Уравнения кинетики возбужденных уровней и особенности уровня HI(n2) описаны в Приложении 1. Там же приведено сравнение результатов расчета населенности уровня HI(n2), получаемого в настоящей работе, с полным моделированием Монте-Карло.
3. РЕЗУЛЬТАТЫ МОДЕЛИРОВАНИЯ
3.1. Основные параметры
Далее, если не указано иное, мы используем следующие условия для моделирования: звездный поток в VUV диапазоне, F VUV = 2 ∙ 10 7 эрг/см/с 2 на расстоянии 1 AU; солнечное содержание гелия He/H = 0.1, температура на условной поверхности планеты, т. е. при r = R p , T base = 4000 K. Мы принимаем довольно высокое давление на внутренней границе области моделирования, P base = 100 бар, более подходящее для моделирования нижней, чем верхней атмосферы. Тем не менее, в целях обобщения, моделирование начинается в достаточно плотной области, которая является оптически толстой даже для VUV излучения, и равновесие Саха достигается. Другой внутренней границей области моделирования является звездная корона, где температура фиксирована на значении 3 ∙ 10 6 K. Однако, поскольку звездный ветер не влияет на поглощение в интересующих нас линиях, мы берем его относительно слабым с небольшой интегральной потерей массы 10 11 г/с со следующими параметрами на орбите планеты: V sw =220 км/с, T sw = 8 ∙ 10 5 K и n sw = 10 3 см –3 , соответственно.
В табл. 1 приведены наборы параметров выполненных расчетов, рассматриваемых в данной работе. А именно, мы моделируем атмосферу в пределах вероятного диапазона основных величин, которые прямо влияют на ее состояние: поток VUV излучения, температура нижней атмосферы и содержание гелия. Далее мы рассматриваем некоторые аспекты аэрономии Kelt9b, которые заслуживают отдельного внимания.
Таблица 1. Список расчетов с соответствующими параметрами моделирования. Столбцы слева направо: номер расчета; числовой множитель уменьшения звездного потока в VUV области 100<λ<300 нм по сравнению со значением 2 ∙ 10 7 эрг/см 2 /с на 1 а. е.; температура нижней атмосферы; содержание гелия; рассчитанная скорость потери массы планеты в единицах 10 10 г/с; рассчитанный максимум поглощения в линиях Hα 656.3 нм. В последней колонке указаны прочие параметры, если менялись. В нижнем ряду показаны измеренные значения максимума поглощения из работы [9, 12]
| N | X × F VUV | T base , K | He/H | M ʹ p , 10 10 г/с | A Hα , % | Прочее | 
| 1 | 1 | 0.4 | 0.1 | 1790 | 1.4 | Без HI – | 
| 2 | 1 | 0.4 | 0.1 | 674 | 1.0 | |
| 3 | 1 | 0.3 | 0.1 | 130 | 0.9 | |
| 4 | 1 | 0.5 | 0.1 | 1130 | 1.1 | |
| 5 | 0.3 | 0.4 | 0.1 | 30.4 | 0.7 | |
| 6 | 1 | 0.4 | 0.05 | 2900 | 1.4 | |
| 7 | 0.3 | 0.4 | 0.03 | 1600 | 1.1 | |
| 8 | 0.1 | 0.4 | 0.1 | 6 | 0.5 | |
| 1.14 ± 0.07 | 
3.2. Фотоионизационный нагрев
Фотоионизация меняет не только ионный состав, но и приводит к нагреву газа образующимися фотоэлектронами, что инициирует гидродинамическое истечение вещества верхней атмосферы планеты. Новизна заключается в том, что по сравнению с обычными горячими юпитерами, например HD20945b [39–40], все эти процессы происходят теперь не только для основного состояния атомов, но и для низших возбужденных состояний. Мы рассматриваем в данной работе уровень HI(n2) с энергией ионизации 3.4 эВ, соответствующей фотонам с λ<364.6 нм. Чтобы обеспечить слабую зависимость решений от внутренней границы с фиксированным давлением, соответствующий звездный поток излучения должен в основном поглощаться до этой границы. Как хорошо известно из моделирования звездных атмосфер, эффективное поглощение на этих длинах волн и вплоть до ИК-диапазона (<1600 нм) обеспечивается отрицательными ионами водорода HI – . Такой подход был реализован в [13, 19] в рамках кодов HELIOS и CLOUDY, и HI – обеспечивали наибольшее поглощение при давлениях выше 10 –4 бар. Таким образом, мы вычисляем полный член нагрева путем интегрирования поглощения всех элементов с плотностями n k (в основном и возбужденном состояниях) по всему спектру, учитывая ослабление потока в атмосфере из-за свободно-связанных переходов (фотоионизации) в соответствии с сечениями, зависящими от длины волны. В качестве базового SED для Kelt9 ( F St,λ ) мы используем спектр PHOENIX из работы [41], который также используется в работах [13, 16, 19]. Он содержит около 4 эрг/см/с 2 в XUV потоке (λ<91.2 нм) и около 2 ∙ 10 7 эрг/см/с 2 в VUV потоке (100<λ<300 нм). Уравнения для поглощения и нагрева фотоэлектронами имеют вид:
, (1)
, , (2)
. (3)
Обратите внимание, что в (3) мы включили тепловую энергию фоновых электронов, поскольку фотоэлектроны теряют имеющуюся избыточную энергию только выше этого уровня. Этот простой факт, который чаще всего упускается из виду в исследованиях аэрономии, имеет решающее значение для Kelt9b. Особые свойства SED Kelt9b с очень резким спадом к большим энергиям фотонов имеют одно важное следствие для нагрева атмосферы. Средняя энергия высвобождающихся фотоэлектронов, образующихся при фотоионизации конкретного элемента, определяется следующим образом
. (4)
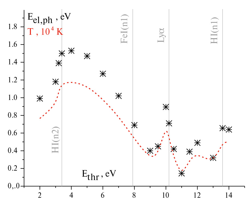
Эта энергия выравнивается с фоновыми электронами, и ее избыток на фотоэлектрон дается как E el,ph –1.5 kt e . Оказывается, что E el,ph для SED Kelt9 довольно мала, что ограничивает максимально возможный нагрев, как показано на рис. 1. Обычно основной канал нагрева — фотоионизация атома водорода в основном состоянии — производит фотоэлектроны со средней энергией около 0.6 эВ, способные нагреть газ только до температуры около 5000 К, что очень близко для предполагаемой равновесной температуры Kelt9b. Для сравнения, для солнечной SED она гораздо больше — 2.6 эВ. Это означает, что если реальная температура выше 5000 К, то фотоионизация водорода HI(n1) излучением Kelt9 будет одновременно ионизировать и охлаждать атмосферу.
Рис. 1. Средняя энергия фотоэлектронов (точки, в эВ) и соответствующая температура (пунктирная линия, 1.5 kT = E el,ph ) в зависимости от порога фотоионизации, рассчитанная для спектра звезды Kelt9. Для сечения принята простая формула: σ ph ion = σ thr · ( E thr / E ) 3 , E > E thr . Вертикальные линии показывают пороги фотоионизации некоторых конкретных элементов или переходов.
3.3. Рекомбинационно-ионизационный баланс
Планета Kelt9b настолько массивная, что атмосфера не может заметно ускориться в пределах полости Роша, даже если интегральная скорость потери массы под действием радиационного нагрева очень велика. Это означает, что мы можем анализировать верхнюю атмосферу Kelt9b в условиях барометрического равновесия между тепловым давлением и гравитацией. В этом случае существует локальный баланс между полной ионизацией и рекомбинацией. Заметим, что это не тривиальное предположение, поскольку для многих экзопланет, например, HD209458b, развивающееся течение очень скоро нарушает такой баланс, делая рекомбинацию незначительной по сравнению с адвекцией. На то, что массивные планеты находятся в рекомбинационно-ионизационном балансе, противоположном адвекционно-ионизационному балансу, характерному для атмосфер планет умеренной массы, указывалось, например, в [42].
Для экспоненциальной атмосферы интеграл плотности LOS можно аппроксимировать следующим образом
, . (5)
Если для простоты рассматривать только водород, то фотоионизация происходит из основного и возбужденного состояний. Первая уменьшается при плотностях см –3 , так как газ становится оптически плотным для фотонов с энергией <13.6 эВ. Здесь см — высота шкалы Kelt9b, см 2 — пороговое сечение. В то же время фотоионизация возбужденных состояний протекает в оптически тонком режиме [16], вплоть до гораздо более глубоких слоев атмосферы. Для фотонов, образующихся при радиационной рекомбинации типа А в состояние HI(n1), газ становится оптически толстым при тех же плотностях . Потеря таких захваченных фотонов в стратифицированной атмосфере происходит за счет дрейфа в направлении отрицательного градиента или поглощения металлами, если таковые имеются. Как будет видно ниже, внутри полости Роша концентрация водорода остается намного выше величины , поэтому рекомбинация типа А пренебрежимо мала и не оказывает эффекта.
Рассмотрим теперь рекомбинацию в связанные состояния n>1, или так называемую рекомбинацию типа B. Состояния ns не имеют прямого радиационного перехода в основное состояние 1s. Однако они быстро переходят в состояние 2p, испуская фотон, который покидает систему. Уровни np имеют резонансный переход в основное состояние, но в относительно плотной плазме все резонансные фотоны оказываются в ловушке и проходят цикл рассеяния (испускания и реабсорбции). Поскольку среднее наиболее вероятное сечение поглощения резонансных фотонов на порядки больше сечения фотоионизации, в режиме общее время радиационного распада до основного состояния также сильно ограничено. В то же время во всех состояниях n>2 происходят быстрое перемешивание между подуровнями и радиационные переходы в 2s и 2p состояния. Это приводит к накоплению всех рекомбинационных электронов в этих двух состояниях (см. более подробное описание, например, в [43]).
Когда быстрый радиационный распад из 2p-состояния сильно ограничен из-за резонансного захвата фотонов, уничтожение возбуждения происходит через столкновительный переход электрона в основное состояние или фотоионизацию . Первая приводит к завершению акта рекомбинации, так как электрон переходит из свободного состояния в основное. С другой стороны, фотоионизация переводит электрон обратно в свободное состояние, тем самым отменяя акт рекомбинации.
Отсюда следует, что рекомбинация в возбужденные состояния также уменьшается в плазме, оптически тонкой для VUV-фотонов. Ее уменьшение можно представить как раз. Уникальность случая системы Kelt9 заключается в том, что фотоионизация из возбужденных состояний водорода происходит значительно быстрее, чем столкновительные процессы, т. е. . Отметим, что для фотонов с энергией, необходимой для фотоионизации из возбужденных состояний водорода, газ остается оптически тонким вплоть до очень больших плотностей (~10 20 см –3 для атмосферы Kelt9b), поскольку населенность возбужденных состояний остается достаточно низкой.
Из приведенного выше анализа следует, что в газе оптически плотном для XUV излучения и статической атмосфере ионизационно-рекомбинационный баланс требует более высокой степени ионизации, чтобы компенсировать уменьшение эффективной скорости рекомбинации. При достаточно больших газ может достичь наибольшей степени ионизации, задаваемой LTE балансом Саха. Действительно, моделирование показывает, что в условиях данной задачи очень плотные слои атмосферы приближаются к равновесию Саха.
3.4. Профили атмосферы
Сперва мы демонстрируем на рис. 2 трехмерную структуру атмосферы вокруг планеты. Показана лишь небольшая область, не включающая звезду, поскольку влияние звездного ветра на рассматриваемую проблему аэрономии и поглощения в линии Hα несущественно.
Рис. 2. Пространственное распределение в цветовой градации концентрации электронов (слева, логарифмическая шкала) в экваториальной плоскости. Масштаб представлен в радиусах планеты. Звезда находится за пределами рисунка в точке X = 36.3, орбитальная скорость планета направлена по –Y. Справа — распределение температуры в меридиональной плоскости. Расчет сделан с набором параметров N2.
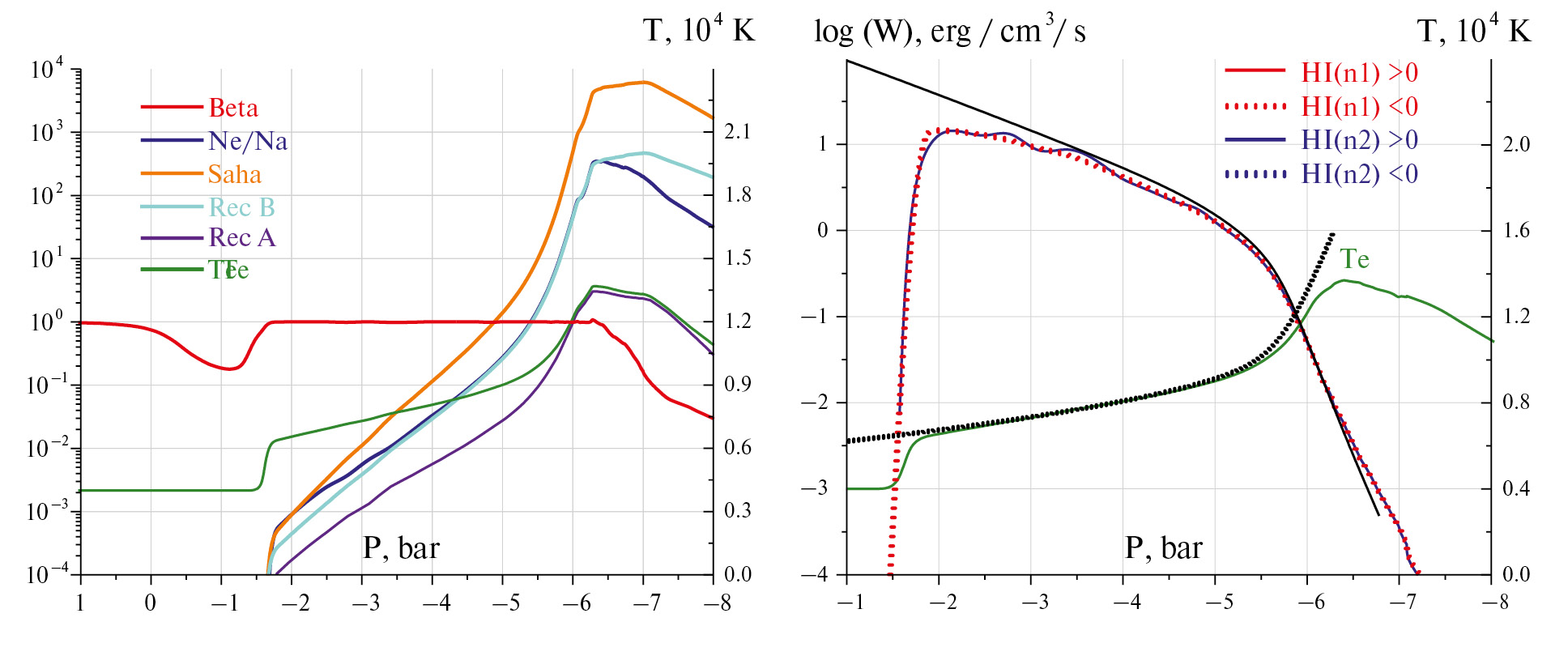
На рис. 3 представлены профили наиболее важных величин для H-He атмосферы, сначала без отрицательных ионов водорода. Профили взяты вдоль оси Y. Они показывают следующее. Прежде всего, заселенность возбужденного состояния водорода находится в ЛТР до тех пор, пока газ не становится частично прозрачным для фотонов рекомбинации типа А при давлениях ~10 –6 бар. Такой же результат (уменьшение населенности по сравнению с ЛТР при давлениях менее 10 –6 бар) был получен в работе [13] с применением CLOUDY. Проверено, что уменьшение β-фактора (отношения заселенности уровня к его ЛТР значению) перед ростом температуры от уровня нижней атмосферы (при давлениях <10 –2 бар), связано с двухфотонным распадом уровня HI(n = 2s). В диапазоне давлений 10 –2 –10 –6 бар отклонение от ЛТР составляет |1–β|<0.01. ЛТР равновесие обеспечивается практически полным захватом резонансных фотонов и равновесием двух основных процессов накачки и депопуляции возбужденного уровня — рекомбинации и фотоионизации. Степень ионизации, хотя и ниже равновесия Саха, очень велика и значительно превышает простой случай рекомбинации типа А, а также близко соответствует аналитической формуле, основанной на рекомбинации типа В. На правой панели показано, что аналитические оценки скорости нагрева благодаря фотоионизации уровня HI(n2) и температуры, при которой достигается баланс нагрева с охлаждением, которые несложно вывести из уравнений, приведенных в приложении, также находятся в хорошем согласии с моделированием. Отметим, что выключение XUV излучения или увеличение его в несколько раз с неизменным VUV потоком не меняет результат, т. е. вклад XUV излучения в нагрев ничтожно мал для Kelt9b, в том числе за счет большой оптический толщины атмосферы для фотонов с λ<91.2 нм. Фотоионизационный нагрев с возбужденного уровня балансируется охлаждением за счет электронной ионизации с основного состояния, что достигается при относительно высокой температуре. При давлениях <10 –6 бар β-фактор становится меньше единицы, и к охлаждению добавляется электронное возбуждение уровня n2 (известное как Lyα охлаждение в оптически тонкой плазме).
Рис. 3. Профили различных значений вдоль оси Y, полученные при моделировании атмосферы H-He с набором параметров N1. Левая панель: правая ось — температура; левая ось — населенность уровня HI(n2) (β-фактор, красная линия), вычисленная степень ионизации (синяя) по сравнению с равновесием Саха (оранжевая), рекомбинацией типа B (голубая) и рекомбинацией типа A (фиолетовая). Правая панель: правая ось — температура; левая ось — интенсивность нагрева (положительные величины >0, сплошные линии) или охлаждения (<0, точечные линии), связанные с уровнями HI(n1) и HI(n2). Также показаны черным цветом аналитические решения, полученные из рассмотрения кинетики уровней в оптически плотной плазме: часть нагрева за счет фотоионизации уровня HI(n2) (сплошная) и для температуры (точечная кривая).
Далее мы фактически можем рассчитать поглощение в линии Hα. На рис. 4 показан профиль поглощения, полученный с набором параметров N1. Видно, что он примерно в два раза больше по амплитуде, чем измерения, и значительно шире. Более того, он имеет значительные крылья на скоростях | V |>50 км/с, явно не проявляющиеся в наблюдениях. Поглощение так далеко от центра линии образуется за счет естественного уширения (профиль Лоренца) в областях, оптически плотных для Hα. Мы проверили, что атмосфера с фиксированной температурой и ЛТР заселенностью HI(n2) дает поглощение в Hα, сравнимое с наблюдениями по амплитуде ( A Hα ≈ 1%) при T base = 7000 K, хотя оно широкое и с крыльями Лоренца. Таким образом, избыточное поглощение возникает при резком увеличении температуры атмосферы от значения 4000 K до значений выше 7000 K, происходящем вблизи фотометрического радиуса планеты. Это продемонстрировано на рис. 3 серией расчетов с несколькими значениями радиуса R fixed , ниже которого температура фиксируется на значении T base = 4000 K. Хорошо видно уменьшение A Hα с ростом R fixed . При R fixed = 1.25 R p , что соответствует давлению 3 · 10 –7 бар, поглощение близко к измерениям по амплитуде и ширине, при этом крылья Лоренца не обнаруживаются. Таким образом, измерения в Hα указывают на то, что в атмосфере Kelt9b до давлений ~10 –7 бар может действовать какой-то механизм, устраняющий наблюдаемое поглощение. Это может быть, например, дополнительный процесс охлаждения.
Рис. 4. Левая панель: профиль поглощения в линии Hα в середине транзита в единицах Доплеровской скорости, полученный в расчете с параметрами N1 (черная сплошная линия). Для сравнения показаны моделирования с различными радиусами и фиксированной температурой атмосферы: R fixed = 1.2 R p (зеленый), 1.25 R p (красный), 1.3 R p (синий). Здесь и далее открытыми кружками показаны измерения [9, 12]. Правая панель: поглощение в расчете без уменьшения рекомбинации типа А (красная линия), с уменьшенным в десять раз (синяя) и в сто раз (фиолетовая) звездным потоком излучения в VUV диапазоне. Все остальные параметры такие же как в расчете N1.
Для наглядности мы также показали поглощение в случаях, когда поток VUV излучения звезды значительно ниже, чем взятый в качестве предполагаемого. Видно, что глубина и ширина поглощения напрямую зависят от VUV потока, который обеспечивает фотоионизационный нагрев через состояние HI(n2). Кроме того, рисунок также показывает, что если предположить, что рекомбинация типа А в основное состояние не уменьшается в плотном газе, то населенность возбужденного водорода и результирующее поглощение в Hα окажутся гораздо меньше измеренных.
3.5. Отрицательный ион водорода
Популяция ионов HI – в общем случае не находится в ЛТР (см., например, [44]), и мы рассчитываем ее из соответствующих реакций, описанных в Приложении 2. В целом, основная роль HI – заключается в уменьшении непрозрачности плотного газа в VUV и оптической области, где поглощение другими элементами незначительно. На рис. 5 представлены профили, аналогичные рис. 2, но с учетом HI – . Видно, что фотоионизация HI – не вносит вклада в энергетический баланс. Основное отличие заключается в том, что в присутствии HI – температура повышается при давлениях <10 –3 бар более плавно. Причина этого была найдена в следующем. Имеется реакция нейтрализации HI – протоном с образованием возбужденного атома: HI – +p ↔ HI(n3) + HI(n1). Она имеет относительно большое сечение ≈10 –15 см 2 [45], поскольку протекает, для уровня n=3, с очень малым изменением энергии. Скорость обратной реакции, которая, по сути, является разрушением возбужденного состояния атома водорода в столкновении с невозбужденным атомом (HI в основном состоянии), может быть найдена из ЛТР соотношений. В плотной плазме с запертыми резонансными фотонами возбуждение из n=3 переходит в состояние n=2, то есть возбужденные состояния n≥2 можно считать находящимися в ЛТР соотношении между собой. Таким образом, скорость реакции HI(n2) + HI(n1) → HI – + p равна скорости для HI(n3), умноженной на коэффициент exp(– E 3,2 / kT ). По сути, популяция HI – сама по себе может быть не важна, но рассмотренная реакция может быть важна как канал разрушения возбужденного водорода.
Рис. 5. Профили различных значений вдоль оси Y, полученные при моделировании атмосферы H-He с расчетом популяции отрицательных ионов водорода HI – с набором параметров N2. Левая панель: правая ось — температура; левая ось — населенность уровня HI(n2) (β-фактор, красная линия), степень ионизации (синяя) по сравнению с равновесием Саха (оранжевая) и рекомбинация типа B (голубая). Линия Хаки показывает концентрацию HI – относительно его ЛТР значения. Правая панель: правая ось — температура; левая ось — интенсивность нагрева (положительные величины >0, сплошные линии) или охлаждения (<0, точечные линии), связанные с уровнями HI(n1) и HI(n2).
3.6. Зависимость поглощения в линии H α от основных параметров
Учитывая, что мы берем на численной границе, приравниваемой к поверхности планеты, большое давление 100 бар, встает вопрос, как это соотносится с фотометрическим радиусом планеты, измеряемым телескопами. Есть работы, в которых делается анализ этого вопроса на основе моделирования нижней атмосферы для двух близких планет с похожими звездами — Kelt-9b [19] и Kelt-20b [46]. В обоих случаях получена оценка, что фотометрический радиус примерно соответствует давлениям 0.1–0.01 бар. Для Kelt-9b при рассматриваемых нами условиях это соответствует радиусу 1.1 R p от выбранной численной границы. Поскольку на этом расстоянии (и давлении), температура еще остается практически неизменной (см. рис. 5), то данное расхождение можно скорректировать при расчете поглощения, просто уменьшив его на 20%. Далее, как и в табл. 1, приведены результаты расчета поглощения с учетом этого фактора.
На рис. 6 (слева) показан профиль поглощения, полученный в моделировании с набором параметров N2 (красная кривая). Как видно, максимум поглощения достаточно близок к измеренному. Однако ширина профиля заметно больше ( FWHW =68 против 39 км/с), и наблюдается поглощение на крыльях линии, связанное с естественной шириной (профилем Лоренца). Отметим, что отрицательные ионы водорода заметно уменьшают крылья поглощения за счет поглощения в континууме, но не устраняют их полностью. В задаче имеются параметры, которые могут отклоняться от принятых величин: температура нижней атмосферы, содержание гелия и интенсивность излучения звезды в VUV диапазоне. На рис. 6 для сравнения приведены профили поглощения для разных значений этих параметров.
Рис. 6. Профили поглощения в линии Hα в середине транзита в единицах Доплеровской скорости для разных значений параметров (расчеты N2–N7), указанных в легенде рисунка.
Как можно видеть, если амплитуда поглощения зависит в определенной степени от параметров, в особенности от потока VUV излучения, то ширина профиля остается практически неизменной. Следует отметить значительную зависимость интегральной потери массы от рассмотренных параметров. Это объясняется тем, что потеря массы фактически определяется концентрацией атмосферы вблизи полости Роша. Для атмосферы с экспоненциальным распределением даже небольшое изменение шкалы высот, например, за счет температуры или содержания гелия, приводит к сильному изменению концентрации. Полученная в данной работе потеря массы при номинальных параметрах (расчет N2) совпала с результатом работы [12] (6 · 10 12 г/с). Отметим, что потери даже за счет механизма Джинса для данной планеты оцениваются в очень большую величину ~10 12 г/с [9].
Как уже обсуждалось, для Kelt9b рекомбинация существенно влияет на нагрев и поглощение из-за высокой фотоионизации возбужденных уровней. Мы рассмотрели два идеализированных случая: когда канал для рекомбинации типа А полностью открыт (низкий нагрев и поглощение) и когда он блокируется в соответствии с величиной n a σ thr H (большой нагрев и поглощение). Во втором случае мы считаем, что вся рекомбинация типа B заселяет второй уровень водорода. Однако, на первом этапе происходит преимущественное заселение большого количества уровней с высоким квантовым числом n. В процессе рассеяния резонансных фотонов (np-1s) и радиационного каскада (ns-2p) некоторые возбуждения будут теряться за счет столкновений с электронами с переходом на основной уровень. Такой канал можно считать эффективной рекомбинацией типа А. Поскольку учет этого эффекта требует рассмотрения сложной многоуровневой кинетики, мы сделали несколько расчетов, считая, что есть доля актов рекомбинации от их полного числа (0.025, 0.05 и 0.1), которая сразу заселяет основное состояние. На рис. 7 показано поглощение для этих расчетов, которое свидетельствует, что даже небольшая доля рекомбинации в основное состояние минуя уровень n2 заметно уменьшает амплитуду поглощения. В то же время, ширина профиля поглощения меняется слабо.
Рис. 7. Профили поглощения в линии Hα в середине транзита в единицах Доплеровской скорости для разных значений эффективной рекомбинации в основное состояние 1s из возбужденных n>2, минуя уровень n2.
С целью определить, в какой области атмосферы формируется поглощение в линии Hα, на рис. 8 показана глубина поглощения в центре линии и на далеком крыле за счет естественной ширины линии. Эта зависимость построена от максимального радиуса вокруг планеты, в пределах которого поглощение учитывается и за пределами которого приравнивается нулю. Как видно, в центре линии поглощение формируется на высотах с давлением 10 –6 –10 –7 бар, соответствующих области максимума температуры >10 4 K (см. рис. 5). Далекие крылья Лоренца образуются на высотах с давлением (1–3) · 10 –5 бар там, где плотность еще достаточно высокая и уже произошел нагрев до 8000 К. Интересно, что эта область примерно совпадает с максимумом нагрева атмосферы на счет возбужденного уровня водорода.
Рис. 8. Поглощение в процентах в центре линии Hα (V=0) и на далеком крыле (V=80 км/с), ограниченное атмосферой в пределах максимального радиуса вокруг планеты Rmax. Вертикальные штриховые линии показывают область формирования соответствующего поглощения от уровня 0.5 до 0.9 максимальной величины. Серая кривая показывает давление в атмосфере на соответствующих высотах (правая ось).
4. ОБСУЖДЕНИЕ И ВЫВОДЫ
Сравним более подробно полученные результаты с аналогичными исследованиями Kelt9b. Приведем в первую очередь основные выводы, которые являются общим для всех работ. Основной нагрев атмосферы идет за счет VUV спектра. Только за счет XUV спектра (фотоионизации атомов из основного состояния) нагрев и потеря массы планетой очень малы.
Теперь рассмотрим детали, которые заметно различаются, но не являются принципиальными. Характерная максимальная температура термосферы варьируется от 0.85 до 1.5 × 10 4 К и достигается в относительно узком диапазоне давлений 3 · 10 –7 –10 –9 бар. Точка половинной ионизации водорода лежит также в относительно узком диапазоне давлений 3 · 10 –6 –10 –8 бар. Интегральная потеря массы превышает 10 11 г/c (в [13, 19] конкретные величины не приводятся). В настоящей работе она доходит до очень больших значений 10 13 г/c, при которых время потери всей массы планетой может составлять всего 10 9 лет.
Принципиальными отличиями является то, что в работе [16] расчет начинается с низкого давления 10 –7 бар и сразу с температуры 8000 К. Населенность возбужденного водорода намного меньше ЛТР уровня, β≈3 · 10 –4 . В других работах β-фактор при аналогичных давлениях хоть и много меньше единицы, но на два порядка выше этого значения. Вероятно, по этой причине рассчитанное в [16] поглощение в линии Hα также мало. Действительно, в [13, 19] указывается, что область поглощения этой линии лежит в диапазоне давлений 10 –5 –10 –8 бар. В данной работе мы можем указать этот диапазон более точно: 10 –6 –10 –7 бар (рис. 8).
Принципиально также отличается нагрев атмосферы. Если общая величина при характерном давлении 10 –7 бар оказывается достаточно близкой (варьируется в диапазоне 10 –3 –10 –4 эрг/см 3 /с), то в работе [13, 19] основной нагрев обеспечивается ионами Fe 1+ , в то время как вклад фотоионизации возбужденного водорода пренебрежимо мал (10 –10 эрг/см 3 /с при давлении 10 –10 бар). На рис. 9 мы приводим, для сравнения, профили нагрева и температуры, полученные в разных работах. Отметим, что несмотря на качественные отличия, количественно результаты в достаточной степени пересекаются.
Рис. 9. Профили полного нагрева (красные линии, левая ось) и температуры (черные линии, правая ось), полученные в настоящей работе (сплошные линии), [19] (точечные) и [16] (штриховые).
Населенность возбужденного уровня HI(n2), значительно превышающая уровень ЛТР, полученная в работе [19], не соответствует величине нагрева, приведенного в данной работе. Действительно, нагрев только за счет столкновений с электронами записывается как:
,
,
[47].
Выбирая для примера две точки из [19] с параметрами p =10 –6 (10 –8 ) бар, T =7000 (8500) K, n e / n a =0.1 (1.0), β(n2)=30 (100), получаем W tot =10 –1 (10 –3 ) эрг/см 2 /с. Это очень большие значения, на порядок превышающие указанный полный нагрев от всех элементов. При этом помимо столкновительного нагрева при β>1 еще действует нагрев от фотоионизации с уровня n2. Отметим, что основной остающийся канал охлаждения — столкновительная ионизация с уровня n2 при температурах ~10 4 K всегда меньше нагрева за счет столкновительного девозбуждения. Таким образом, результат, полученный с тем же кодом CLOUDY в работе [13] с β=1 при P <3 · 10 –6 и β=10 –2 при P =10 –8 бар, представляется более правильным.
Таким образом, результаты настоящей работы подтверждают вывод [16] о том, что VUV спектр звезды А-класса создает принципиально новый источник нагрева водородных атмосфер — фотоионизацию с возбужденных уровней. Наше моделирование сделало шаг вперед и показало, что этого нагрева достаточно для формирования наблюдаемого поглощения в линии Hα. То есть, мы впервые продемонстрировали, что наблюдаемое поглощение в линии Hα есть прямое следствие процесса нагрева, связанного с нижним уровнем этой линии. При этом, если до максимума температуры населенность возбужденного водорода находится в ЛТР, то после максимума становится значительно ниже.
В то же время, модель показывает нагрев в плотных областях вблизи планеты, приводящих к широкому профилю и поглощению на крыльях Лоренца, не соответствующих наблюдениям. Дальнейшие уточнение модели должно включить более тяжелые элементы — C, O, Mg, Fe, которые могут изменить концентрацию электронов и температуру именно вблизи планеты. Работа [19] реализовала именно этот подход, но полученные результаты, несмотря на лучшее совпадение расчетного профиля поглощения в линии Hα с наблюдениями, представляются противоречивыми. Невозможность детального анализа кинетических процессов при использовании кода CLOUDY и необходимость использовать дополнительный код для давлений >10 –4 бар делают необходимыми независимые исследования с использованием других вычислительных моделей и платформ.
ФИНАНСИРОВАНИЕ
Работа выполнена в рамках гранта Фонда развития теоретической физики и математики БАЗИС. Часть работы, связанная с моделированием Монте-Карло, выполнена Мирошниченко И. Б. и Шариповым С. С. в рамках гранта РНФ 23-72-10060. Чибранов А. А. выражает благодарность гранту РНФ 23-12-00134, в рамках которого выполнена модернизация трехмерного газодинамического кода. Исследования Березуцкого А. Г. выполнены в рамках гранта № 075-15-2020-780 (ГА № 13.1902.21.0039) Министерства образования и науки РФ.
БЛАГОДАРНОСТИ
Параллельное вычислительное моделирование, ключевое для данного исследования, было выполнено в Сибирском суперкомпьютерном центре СО РАН (ССКЦ) и Вычислительном центре Новосибирского государственного университета (ИВЦ НГУ).
ПРИЛОЖЕНИЕ 1. Уравнения населенности возбужденного уровня
Рассмотрим уравнения для населенностей двух квантовых уровней, основного состояния (o) и возбужденного состояния (i) с энергией между ними, данного элемента (j), включая также состояние ионизации (j+1):
, (П.1)
, (П.2)
, (П.3)
. (П.4)
Здесь , — плотность частиц j на первом (основном) и возбужденном уровнях, — плотность частиц j+1 на основном уровне, — плотность фотонов, резонансных переходу , — среднее сечение поглощения резонансных фотонов .
Верхний индекс скоростей R обозначает радиационный переход (rad); фотоиндуцированный (ph); столкновения электронов (coll); рекомбинацию (rec). Обращаем внимание, что скорость столкновительных реакций пропорциональна плотности электронов. Нижние индексы показывают начальное и конечное состояния электрона при переходе, а именно: основное состояние (o), возбужденное состояние (i), свободное состояние (f).
— скорость потери резонансных фотонов из-за нерезонансного поглощения. В общем случае это оператор, включающий пространственную диффузию. В модель мы включаем потери, связанные с фотоионизацией HI(n2) и HI – . Хорошо известно [48], что из-за диффузии по частоте пространственная диффузия резонансных фотонов в оптически толстом газе не подчиняется простой статистике случайного блуждания и протекает гораздо быстрее. Поскольку в задаче рассматривается газ с экспоненциальным профилем, он имеет характерный масштаб — высоту барометрической шкалы ( H <0.1 R p ), которая много меньше всей области, для которой решаются уравнения (~ R p ). Более того, из-за экспоненциального профиля резонансные фотоны в среднем удаляются от планеты, так как их время полета до реабсорбции больше в сторону менее плотных слоев. Этот процесс трудно описать аналитически. Отметим, что существуют две простые асимптотики. Самая быстрая скорость потери связана с временем пролета через шкалу высоты c / H . Самая большая — чисто пространственная радиальная диффузия в процессе рассеяния с дрейфом из-за градиента длины свободного пробега в стратифицированном газе, . В любом случае, уравнение (3) можно исключить, введя эффективную скорость радиационного распада возбужденного состояния:
. (П.5)
Фотоионизация элементов является основным процессом, который изменяет SED звезды по мере проникновения излучения в глубокие слои атмосферы. Мы рассчитываем перенос излучения с учетом всех элементов, имеющих сечение ионизации ниже HeI (24 эВ), включая частицы HI – . Сечения фотоионизации элементов из основного состояния взяты из [49]. Сечения столкновительной ионизации элементов из основного состояния взяты из [50].
Скорости столкновений электронов связаны через условие ЛТР и рассчитаны через эффективную силу осциллятора столкновений:
,
.
Скорости фотоиндуцированного возбуждения рассчитываются с учетом звездного SED как
.
Сечения связанных переходов рассчитываются как интеграл Фойгта с использованием базы данных NIST. Накачка возбужденного состояния резонансными фотонами звездного излучения должна рассчитываться с учетом так называемого самоэкранирования. Отметим, например, что расчет давления излучения звездных фотонов Lyα без учета ослабления потока при его проникновении в оптически толстые слои дает ошибочные результаты, приводящие к крайне избыточному ускорению атомов радиационным давлением. В случае, когда спектральные особенности SED значительно шире в окрестности рассматриваемой линии, ослабление потока может быть рассчитано аналитически:
,
.
Здесь мы взяли экспоненциальную атмосферу с высотой шкалы H и аппроксимировали интеграл. Сечение поглощения является функцией параметров плазмы и длины волны и задается интегралом Фойгта. В терминах доплеровской скорости вместо λ выражение имеет вид .
Предполагая, что Доплеровское уширение доминирует, интеграл можно записать в численном виде как:
,
,
,
,
.
Наконец,
, (П.6)
,
при ,
при .
Поскольку поглощение и излучение резонансных переходов связаны через коэффициент Эйнштейна A oi , а резонансные фотоны подвергаются одинаковому рассеянию, оказывается, что эффект радиационной накачки звездным излучением весьма мал, за исключением низкоэнергетических переходов и очень больших звездных светимостей. Учет самоэкранирования (П.6) и запертости резонансных фотонов (П.5) на порядки изменяет населенность возбужденных состояний в плотном газе и не может игнорироваться.
В коде мы предполагаем, что заселенность возбужденных состояний намного меньше заселенности основного состояния, и последние (уравнения 2, 4) рассчитываем в общих рамках гидродинамического моделирования, а возбужденные состояния рассматриваем в квазистационарном приближении d / dt =0. Заметим, что скорости кинетических процессов, как правило, намного быстрее характерного гидродинамического времени (~1000 с), поэтому квазистатическое приближение для кинетики уровней справедливо.
Для возбужденного уровня водорода мы также различаем популяции подуровней 2s и 2p, в перемешивании между которыми доминируют столкновения с протонами [51]. При найденной заселенности уровня HI(n2) (как суммы 2s и 2p подуровней) скорости ионизации HI и нагревания/охлаждения свободных электронов находятся следующим образом:
,
. (П.7)
Здесь , — средняя энергия фотоэлектронов. Скорость включает звездное излучение, а также фотоны Lyα, генерируемые возбужденными атомами HI (П.3).
Таким образом, (П.1–П.6) позволяют найти населенность возбужденного уровня через известные скорости накачки и невозбуждения. Единственным эмпирическим параметром является та часть потери резонансных фотонов , которая не локальна и связана с их диффузией в частотном и координатном пространстве. Для проверки используемого подхода мы приводим сравнение результата, получаемого из (П.1–П.6) с расчетом населенности HI(n2) кодом Монте-Карло [18, 21], в котором трассируется частотно-пространственная траектория Lyα фотонов. При этом расчет методом Монте-Карло проводится для распределения атомов водорода, протонов и электронов, полученных 3D газодинамической моделью в моделировании N2 (табл. 1, рис. 10).
Рис. 10. Профиль плотности атомов водорода, возбужденных на уровень n=2, полученный настоящей моделью из решения уравнений П.1–П.6 (красная линия) и кодом Монте-Карло (синие точки и сглаженная кривая). Также показана ЛТР формула населенности уровня (зеленая кривая). Параметры моделирования соответствуют набору N2 из табл. 1.
ПРИЛОЖЕНИЕ 2. Кинетика отрицательного иона водорода
Таблица 1. Список реакций образования и разрушения отрицательных ионов водорода, рассчитываемых в модели
| Реакция | Скорость | Ссылка | 
| e+HI – e+e+HI | [45] | |
| e+e+HI e+HI – | из ЛТР 1 | |
| e+HI hv+ HI – | [52] | |
| hv+ HI – e+HI | [53] | |
| HI+HI – e+HI+HI | [45] | |
| e+HI+HI HI+HI – | из ЛТР | |
| p+ HI – HI(n=3)+HI | [45] | |
| HI(n=2)+HI p +HI – | из ЛТР | 
Примечание. Единицы измерений — СГС. Температура дана в 10 4 К.
1 Вычисляется из обратной реакции с использованием ЛТР соотношений. Концентрация HI – в ЛТР равна .
Таблица 2. Сравнение некоторых величин, характеризуемых получаемое решение, в трех разных исследованиях
| Величина | Работа [16] | Данная работа | |
| P base , бар | 10 –7 | 10 1 –10 –4 ; 10 –4 –10 –11(*1) | 10 2 | 
| T base , 10 4 K | 0.8 | 0.35–0.45 | 0.4 | 
| T max ( P ), 10 4 K | 1.5 (10 –9 ) | 0.85 (10 –8 ) | 1.2 (3 · 10 –7 ) | 
| P ( r = R phot ) | 10 –7 | 6 · 10 –2 | 10 –1 | 
| P в точке H + /H=1 | 10 –8 | 3 · 10 –6 | 3 · 10 –6 | 
| β-фактор HI(n2) ( P ) | 3 · 10 –4 | 1 ( P <3 · 10 –6 ) (*2) ; 10 –2 ( P =10 –8 ) (*2) ; 10–100 (*3) | 1 ( P <10 –6 ); 3 · 10 –2 ( P =10 –8 ) | 
| Нагрев, эрг/см 3 /с: за счет HI(n2), за счет металлов | 10 –4 ( P =10 –7 ) Нет | 10 –10 ( P =10 –10 ) 10 –3 ( P =10 –7 ) 10 –1 ( P =10 –4 ) (*4) | 10 0 (10 –4 –10 –5 ) 3 · 10 –4 ( P =10 –7 ) Нет | 
| M ʹ, гр/с | 10 11 | >10 11 | 10 12 –10 13 | 
| A Hα , % | ~0.1 | ≈1 | ≈1 | 
Примечание:
*1 Получено сшиванием решений двух разных вычислительных кодов HELIOS и CLOUDY.
*2 Результаты, приведенные в работе [13].
*3 Результаты, приведенные в работе [19].
*4 В работе [19] основной нагрев создает элемент Fe 1+ , а основное охлаждение — Mg.
作者简介
I. Shaikhislamov
Institute of Laser Physics SB RAS; Institute of Astronomy, Russian Academy of Sciences; Novosibirsk State Technical University
							编辑信件的主要联系方式.
							Email: ShaikhislamovIldar@yandex.ru
				                					                																			                												                	俄罗斯联邦, 							Novosibirsk; Moscow; Novosibirsk						
I. Miroshnichenko
Institute of Laser Physics SB RAS; Novosibirsk State Technical University
														Email: ShaikhislamovIldar@yandex.ru
				                					                																			                												                	俄罗斯联邦, 							Novosibirsk; Novosibirsk						
M. Rumenskikh
Institute of Laser Physics SB RAS; Institute of Astronomy, Russian Academy of Sciences; Novosibirsk State Technical University
														Email: ShaikhislamovIldar@yandex.ru
				                					                																			                												                	俄罗斯联邦, 							Novosibirsk; Moscow; Novosibirsk						
A. Shepelin
Institute of Laser Physics SB RAS
														Email: ShaikhislamovIldar@yandex.ru
				                					                																			                												                	俄罗斯联邦, 							Novosibirsk						
A. Berezutsky
Institute of Laser Physics SB RAS; Institute of Astronomy, Russian Academy of Sciences
														Email: ShaikhislamovIldar@yandex.ru
				                					                																			                												                	俄罗斯联邦, 							Novosibirsk; Moscow						
S. Sharipov
Institute of Laser Physics SB RAS; Novosibirsk State Technical University
														Email: ShaikhislamovIldar@yandex.ru
				                					                																			                												                	俄罗斯联邦, 							Novosibirsk; Novosibirsk						
M. Golubovsky
Institute of Laser Physics SB RAS
														Email: ShaikhislamovIldar@yandex.ru
				                					                																			                												                	俄罗斯联邦, 							Novosibirsk						
A. Chibranov
Institute of Laser Physics SB RAS
														Email: ShaikhislamovIldar@yandex.ru
				                					                																			                												                	俄罗斯联邦, 							Novosibirsk						
M. Khodachenko
Institute for Space Research
														Email: ShaikhislamovIldar@yandex.ru
				                					                																			                												                	奥地利, 							Graz						
参考
- J. R. Kulow, K. France, J. Linsky, et al., Astrophys. J. 786(2), 132 (2014).
- V. Bourrier, A. L. Des Etangs, D. Ehrenreich, et al., Astron. and Astrophys. 620, A147 (2018).
- A. Vidal-Madjar, J. Désert, A. Lecavelier des Etangs, et al., Astrophys. J. Lett. 604, L69 (2004).
- J. L. Linsky, H. Yang, K. France, et al., Astrophys. J 717, 1291 (2010).
- L. Fossati, I. Pillitteri, I. F. Shaikhislamov, A. Bonfanti, F. Borsa, I. Carleo, ... M. S. Rumenskikh, Astron. and Astrophys. 673, A37 (2023) .
- М. С. Руменских, И. Ф. Шайхисламов, Оптика атмосферы и океана 37(1) (2024).
- L. Fossati, T. Koskinen, J. D. Lothringer, K. France, M. E. Young, A. G. Sreejith, Astrophys. J. Lett. 868(2), L30 (2018).
- H. J. Hoeijmakers, D. Ehrenreich, D. Kitzmann, R. Allart, S. L. Grimm, J. V. Seidel, ... K. Heng, Astron. and Astrophys. 627, A165 (2019).
- F. Yan, T. Henning, Nature Astronomy 2(9), 714–718 (2018).
- P. W. Cauley, E. L. Shkolnik, I. Ilyin, K. G. Strassmeier, S. Redfield, A. Jensen, Astron. J. 157(2), 69 (2019).
- J. D. Turner, E. J. de Mooij, R. Jayawardhana, M. E. Young, L. Fossati, T. Koskinen, ... M. Karjalainen, Astrophys. J. Lett. 888(1), L13 (2020).
- A. Wyttenbach, P. Mollière, D. Ehrenreich, H. M. Cegla, V. Bourrier, C. Lovis, ... I. A. G. Snellen, Astron. and Astrophys. 638, A87 (2020).
- L. Fossati, D. Shulyak, A. G. Sreejith, T. Koskinen, M. E. Young, P. E. Cubillos, ... F. Yan, Astron. and Astrophys. 643, A131 (2020).
- A. Sánchez-López, L. Lin, I. A. G. Snellen, N. Casasayas-Barris, A. G. Muñoz, M. Lampón, M. López-Puertas, arXiv preprint arXiv:2209.01854 (2022).
- F. Borsa, L. Fossati, T. Koskinen, M. E. Young, D. Shulyak, Nature Astronomy 6(2), 226–231 (2022).
- A. G. Muñoz, P. C. Schneider, Astrophys. J. Lett. 884(2), L43 (2019).
- C. Huang, P. Arras, D. Christie, and Z.-Y. Li, Astrophys. J. 851, 150 (2017).
- I. B. Miroshnichenko, I. F. Shaikhislamov, A. G. Berezutskii, M. S. Rumenskikh, E. S. Vetrova, Astronomy Reports 65, 61–69 (2021).
- L. Fossati, M. E. Young, Shulyak, D., Koskinen, T., Huang, C., Cubillos, P. E., ... & A. G. Sreejith, Astron. and Astrophys. 653, A52 (2021).
- D. Christie, P. Arras, Z. Y. Li, Astrophys. J. 772(2), 144 (2013).
- S. S. Sharipov, I. B. Miroshnichenko, I. F. Shaikhislamov, Astronomy Reports 67(3), 272–279 (2023).
- I. F. Shaikhislamov, M. L. Khodachenko, H. Lammer, et al., Monthly Not. Roy. Astron. Soc. 481, 5315–5323 (2018).
- I. F. Shaikhislamov, M. L. Khodachenko, H. Lammer, et al., Monthly Not. Roy. Astron. Soc. 491, 3435–3447 (2020).
- I. F. Shaikhislamov, L. Fossati, M. L. Khodachenko, et al., Astron. and Astrophys. 639, A109 (2020).
- I. F. Shaikhislamov, M. L. Khodachenko, H. Lammer, et al., Monthly Not. Roy. Astron. Soc. 500(1), 1404–1413 (2020).
- M. L. Khodachenko, I. F. Shaikhislamov, H. Lammer, et al., Astrophys. J. 885, 67 (2019).
- M. L. Khodachenko, I. F. Shaikhislamov, L. Fossati, et al., Monthly Not. Roy. Astron. Soc. Lett., slab015 (2021).
- I. F. Shaikhislamov, M. L. Khodachenko, Yu. L. Sasunov, et al., Astrophys. J. 795, 132 (2014).
- M. L. Khodachenko, I. F. Shaikhislamov, H. Lammer, et al., Astrophys. J. 813, 50 (2015).
- M. L. Khodachenko, I. F. Shaikhislamov, H. Lammer, et al., Astrophys. J. 847, 126 (2017).
- I. F. Shaikhislamov, M. L. Khodachenko, H. Lammer, et al., Astrophys. J. 832, 173 (2016).
- M. S. Rumenskikh, I. F. Shaikhislamov, M. L. Khodachenko, H. Lammer, I. B. Miroshnichenko, A. G. Berezutsky, L. Fossati, Astrophys. J. 927(2), 238 (2022).
- M. S. Rumenskikh, M. L. Khodachenko, I. F. Shaikhislamov, I. B. Miroshnichenko, A. G. Berezutsky, A. V. Shepelin, N. K. Dwivedi, Monthly Not. Roy. Astron. Soc. 526(3), 4120–4129 (2023).
- L. Fossati, G. Guilluy, I. F. Shaikhislamov, I. Carleo, F. Borsa, A. S. Bonomo, M. S. Rumenskikh, H. Stoev, Astron. and Astrophys. 658, A136, 19 (2022).
- A. G. Berezutsky, I. F. Shaikhislamov, M. S. Rumenskikh, M. L. Khodachenko, H. Lammer, I. B. Miroshnichenko, Monthly Not. Roy. Astron. Soc. 515(1), 706–715 (2022).
- M. L. Khodachenko, I. F. Shaikhislamov, H. Lammer, I. B. Miroshnichenko, M. S. Rumenskikh, A. G. Berezutsky, L. Fossati, Monthly Not. Roy. Astron. Soc. 507(3), 3626–3637. (2021).
- I. F. Shaikhislamov, M. L. Khodachenko, H. Lammer, et al., Astrophys. J. 866, 47 (2018).
- I. F. Shaikhislamov, M. L. Khodachenko, H. Lammer, A. G. Berezutsky, I. B. Miroshnichenko, M. S. Rumenskikh, Monthly Not. Roy. Astron. Soc. 500(1), 1404–1413 (2021).
- H. Lammer, F. Selsis, I. Ribas, et al., Astrophys. J. Lett. 598, L121 (2003).
- R. V. Yelle, Icarus 170, 167 (2004).
- T. O. Husser, S. Wende-von Berg, S. Dreizler, D. Homeier, A. Reiners, T. Barman, P. H. Hauschildt, Astron. and Astrophys. 553, A6 (2013).
- N. V. Erkaev, C. Weber, J. M. Griessmeier, H. Lammer, V. A. Ivanov, P. Odert, Monthly Not. Roy. Astron. Soc. 512(4), 4869–4876 (2022).
- B. T. Draine Physics of the interstellar and intergalactic medium (Vol. 19, Princeton University Press, 2010).
- Д. В. Бисикало, В. И. Шематович, П. В. Кайгородов, А. Г. Жилкин, Успехи физических наук 191(8), 785–845 (2021).
- R. K. Janev, W. D. Langer, J. K. Evans, J. D. E. Post Elementary Processes in Hydrogen-Helium Plasmas (Springer-Verlag, New York, 1987).
- L. Fossati, F. Biassoni, G. M. Cappello, F. Borsa, D. Shulyak, A. S. Bonomo, ... A. Sozzetti, Astron. and Astrophys. 676, A99 (2023).
- N. Przybilla, K. Butler, Astrophys. J. 609(2), 1181 (2004).
- M. Dijkstra Lyman-alpha as an Astrophysical and Cosmological Tool: Saas-Fee Advanced Course 46 (Berlin, Heidelberg: Springer Berlin Heidelberg, Swiss Society for Astrophysics and Astronomy, 1–109, 2019).
- D. A. Verner, G. J. Ferland, K. T. Korista, D. G. Yakovlev, arXiv preprint astro-ph/9601009 (1996).
- G. S. Voronov, Atomic data and nuclear data tables 65(1), 1–35 (1997).
- M. J. Seaton, PPSA 68, 457 (1955).
- P. C. Stancil, A. Dalgarno, Faraday Discussions 109, 61–69 (1998).
- K. L. Bell, A. E. Kingston, Proceedings of the Physical Society 90(4), 895 (1967).
补充文件
 
				
			 
						 
						 
						 
						 
					 
				
 
  
  
  电邮这篇文章
			电邮这篇文章 










