A survey of high mass star forming regions in the line of singly deuterated ammonia NH2D
- Authors: Trofimova E.A.1, Zinchenko I.I.1, Zemlyanukha P.M.1, Thomasson M.2
-
Affiliations:
- Federal Research Center A. V. Gaponov-Grekhov Institute of Applied Physics of the Russian Academy of Sciences
- Chalmers University of Technology
- Issue: Vol 101, No 8 (2024)
- Pages: 693-714
- Section: Articles
- URL: https://journals.rcsi.science/0004-6299/article/view/274389
- DOI: https://doi.org/10.31857/S0004629924080027
- EDN: https://elibrary.ru/ITNXRD
- ID: 274389
Cite item
Full Text
Abstract
Present survey is a continuation of our research of high mass star forming regions in the lines of deuterated molecules, the first results of which were published in [1]. This paper presents the results of observations of 50 objects in the line of ortho modification of singly deuterated ammonia NH 2 D at frequency 85.9 GHz, carried out with the 20-m radio telescope of the Onsala Space Observatory (Sweden). This line is detected in 29 sources. The analysis of obtained data, as well as the fact that gas density in the investigated sources, according to independent estimates, is significantly lower than the critical density for this NH 2 D transition, indicate non-LTE excitation of NH 2 D. Based on non-LTE modeling estimates of the relative content of the NH 2 D molecule and the degree of deuterium enrichment were obtained, and the dependencies of these parameters on temperature and velocity dispersion were analyzed with and without taking into account detection limits assuming the same gas density in all sources. An anticorrelation between the NH 2 D relative abundances and the kinetic temperature is revealed in the temperature range 15–50 K. At the same time, significant decrease in the ratio of the NH 2 D/NH 3 abundances with increasing temperature, predicted by the available chemical models, is not observed under the adopted assumptions. An anti-correlation was also revealed between the relative content of the main isotopologue of ammonia NH 3 and the velocity dispersion, while no statistically significant correlation with the kinetic temperature of sources in the same temperature range was found.
Full Text
1. ВВЕДЕНИЕ
Эффект фракционирования дейтерия в межзвездных облаках обусловлен экзотермичностью реакций замены протона дейтроном в молекулах (прежде всего ), которые лежат в основе цепочек химических реакций, ведущих к образованию большинства других молекул (см., напр., [2]). Помимо этого, важную роль в данном эффекте играют вымораживание на пылинках при низких температурах таких молекул, как СО, которые разрушаюта также уменьшение при этом степени ионизации газа, что снижает скорость рекомбинации H 2 D + . Этот эффект наиболее заметен, и активно изучался прежде всего в темных холодных облаках, но в последнее время появился ряд работ по его изучению в областях образования массивных звезд (см., напр., [3, 4, 5, 6, 7]). А также недавно вышел обзор массивных сгустков из обзора ATLASGAL в линиях дейтерированного аммиака [8].
Нами в 2017–2018 гг. был выполнен обзор нескольких десятков областей образования массивных звезд в линиях ряда дейтерированных молекул в диапазоне длин волн 3–4 мм на 20-метровом радиотелескопе Обсерватории Онсала. Результаты наблюдений DCN, DNC, DCO + и N 2 D + были опубликованы в работе [1]. В настоящей работе мы приводим результаты обзора в линии орто модификации однократно дейтерированного аммиака NH 2 D. Результаты сопоставлены с имеющимися химическими моделями. Наиболее детальная модель дейтерирования аммиака представлена в работе [9]. В разделе 2 приведена выборка наблюдавшихся источников, а также описаны процедуры наблюдений и обработки данных. В разделе 3 представлены результаты наблюдений и оценки содержания молекул. В разделе 4 дан анализ полученных результатов.
2. НАБЛЮДЕНИЯ И ОБРАБОТКА ДАННЫХ
Наблюдения, которые анализируются в данной работе, были описаны в статье [1]. Ниже кратко изложены основные параметры этих наблюдений. Всего были исследованы 50 объектов. Эти источники были отобраны по наличию признаков образования массивных звезд и ранее наблюдались нами в других линиях [1]. Список объектов с их координатами и альтернативными названиями представлен в табл. 1. Наблюдения этих источников проводились в 2017–2018 гг. на 20-метровом радиотелескопе обсерватории Онсала (Onsala Space Observatory, Швеция). Линия орто-NH 2 D (в дальнейшем используется обозначение ) на частоте 85.926278 ГГц попадает в одну из наблюдавшихся частотных полос. В табл. 1 приведены лишь те объекты, которые наблюдались в этой полосе. Для некоторых из них были получены карты в линии NH 2 D, которые здесь не обсуждаются. В наблюдавшихся позициях в источниках Per4, G202.99+2.11 и NGC 2264 не зарегистрировано ни линии NH 2 D, ни других линий, которые можно было бы использовать для оценки пределов обнаружения NH 2 D. Поэтому эти источники не используются в дальнейшем анализе и отсутствуют в последующих таблицах.
Таблица 1. Список источников
Источник | RA(J2000) | Dec(J2000) | V LSR , км/с | D , кпк | R g , кпк | Примечания |
G121.30+0.66 | h m s 00:36:47.50 | ° ′ ʺ +63:29:02.1 | –17.7 | 0.85 | 9.0 | IRAS00338+6312 |
S184 | 00:52:25.15 | +56:33:53.3 | –30.4 | 2.1 | 9.8 | G123.07–6.31, IRAS00494+5617 |
S187(N 2 H + ) | 01:23:15.38 | +61:49:43.1 | –14.0 | 3 | 10.6 | G126.68–0.81, IRAS01194+6136 |
G133.69+1.22 | 02:25:28.23 | +62:06:57.7 | –43.1 | 2.3 | 10.2 | |
G133.71+1.22 | 02:25:40.56 | +62:05:53.2 | –38.9 | 2.3 | 10.2 | IRAS02219+6152, AFGL326 |
G133.75+1.20 | 02:25:53.50 | +62:04:10.7 | –38.9 | 2.3 | 10.2 | |
G133.95+1.07 | 02:27:04.68 | +61:52:25.5 | –47.7 | 2.3 | 10.2 | IRAS02232+6138, AFGL3314 |
S199 | 02:57:35.60 | +60:17:22.0 | –38.0 | 2.1 | 10.1 | IRAS02575+6017, AFGL4029 |
S201 | 03:03:17.90 | +60:27:52.0 | –37.0 | 2.1 | 10.2 | G138.5+1.6, IRAS02593+6016 |
AFGL490 | 03:27:31.51 | +58:44:28.8 | –12.0 | 0.35 | 8.8 | IRAS03236+5836 |
G142.00+1.83 | 03:27:38.77 | +58:47:00.1 | –13.9 | 0.35 | 8.8 | V LSR из [10] |
Per4 | 03:29:18.00 | +31:27:31.0 | 7.6 | 0.35 | 8.8 | G158.27–20.37 |
G170.66–0.27 | 05:20:16.14 | +36:37:21.1 | –18.8 | IRAS05168+3634 | ||
G174.20–0.08 | 05:30:45.62 | +33:47:51.6 | –3.5 | 1.8 | 10.3 | AFGL5142, IRAS05274+3 |
G173.17+2.35 | 05:37:57.85 | +35:58:40.5 | –19.5 | 2.3 | 10.8 | IRAS05345+3556 |
S231 | 05:39:12.90 | +35:45:54.0 | –16.6 | 2.3 | 10.8 | G173.48+2.45, IRAS05358+3543 |
G173.58+2.44 | 05:39:27.94 | +35:40:41.4 | –16.0 | 2.3 | 10.8 | IRAS05361+3539 |
S235 | h m s 05:40:53.32 | ° ′ ʺ +35:41:48.7 | –17.0 | 2.3 | 10.8 | G173.72+2.70, IRAS05375+3540 |
G205.11–14.11 | 05:47:05.45 | +00:21:50.0 | 9.8 | 0.5 | 9.0 | AFGL818, NGC2071, IRAS05445+0016 |
G189.78+0.35 | 06:08:35.41 | +20:39:02.9 | 9.1 | 1.5 | 10.0 | |
AFGL6366 | 06:08:41.00 | +21:31:01.0 | 3.0 | 1.5 | 10.0 | G189.03+0.78, IRAS06056+2131 |
S247 | 06:08:53.94 | +21:38:36.6 | 3.3 | 2 | 10.5 | G188.95+0.89, IRAS06058+2138 |
S255N | 06:12:53.64 | +18:00:26.8 | 7.1 | 2.5 | 11.0 | G192.58–0.04 |
S255IR | 06:12:54.00 | +17:59:23.1 | 7.1 | 2.5 | 11.0 | G192.60–0.05 |
G202.99+2.11 | 06:40:44.59 | +09:48:12.6 | 18.0 | 0.8 | 9.2 | |
NGC2264 | 06:40:58.00 | +09:53:42.0 | 18.0 | 0.8 | 9.2 | G202.94+2.19 |
W217 | 06:41:10.96 | +09:29:31.8 | 18.0 | 0.8 | 9.2 | IRAS06384+0932, AFGL989 |
W40 | 18:31:15.75 | –02:06:49.3 | 5.0 | 0.5 | 8.1 | |
G58.47+0.43 | 19:38:58.12 | +22:46:32.2 | 37.3 | IRAS19368+2239 | ||
S100 | 20:01:45.59 | +33:32:41.1 | –23.8 | G70.29+1.60, IRAS19598+3324 | ||
G65.78–2.61 | 20:07:06.74 | +27:28:52.9 | 8.0 | IRAS20050+2720 | ||
G69.54–0.98 | 20:10:09.13 | +31:31:37.3 | 11.8 | 1.4 | 8.1 | IRAS20081+3122 |
G77.46+1.76 | 20:20:38.54 | +39:38:18.9 | 3.1 | 4 | 8.6 | IRAS20188+3928, JC20188+3928 |
G75.78–0.34 | 20:21:43.89 | +37:26:38.6 | –0.4 | 0.5 | 8.4 | |
G79.27+0.39 | 20:31:57.50 | +40:18:30.0 | 1.2 | 1 | 8.4 | |
G79.34+0.33 | 20:32:21.80 | +40:20:08.0 | 0.0 | 1 | 8.4 | |
W75N | 20:38:36.93 | +42:37:37.0 | 10.7 | 1.7 | 8.4 | G81.87+0.78 |
W75(OH) | 20:39:00.60 | +42:22:48.8 | –3.8 | 3 | 8.6 | G81.72+0.57 |
W75S3 | 20:39:03.43 | +42:25:53.0 | 2.1 | 3 | 8.6 | G81.77+0.60 |
G81.50+0.14 | 20:40:08.30 | +41:56:26.0 | –4.5 | 1.3 | 8.4 | |
G92.67+3.07 | 21:09:21.74 | +52:22:37.6 | –15.2 | |||
G99.98+4.17 | 21:40:42.36 | +58:16:09.7 | 1.8 | 0.75 | 8.7 | IRAS21391+5802, L1121 |
S140 | 22:19:18.20 | +63:18:51.2 | –7.0 | 0.91 | 8.8 | G106.80+5.31 |
G109.87+2.11 | 22:56:18.10 | +62:01:49.4 | –7.0 | |||
G108.76–0.95 | 22:58:42.71 | +58:47:09.2 | –50.4 | 3.5 | 10.2 | JC22566+5830 |
S153 | 22:58:47.66 | +58:45:00.7 | –51.0 | 4.3 | 10.7 | G108.76–0.99, IRAS22566+5828 |
S152(OH) | 22:58:49.60 | +58:45:15.3 | –52.7 | 3.5 | 10.2 | G108.77–0.98 |
S156 | 23:05:09.90 | +60:14:31.0 | –50.6 | 3.5 | 10.3 | G110.11+0.04 |
G111.54+0.78 | 23:13:44.72 | +61:28:09.7 | –57.6 | 3.5 | 10.3 | IRAS23116+6111, NGC7538 |
S158 | 23:13:44.84 | +61:26:50.7 | –55.5 | 3.5 | 10.3 | G111.53+0.76 |
Молекула NH 2 D является асимметричным волчком. Переходы этой молекулы испытывают сверхтонкое расщепление, обусловленное квадрупольным моментом как ядра азота N, так и ядра дейтерия D. Последнее, однако, очень мало и обычно не разрешается в астрономических наблюдениях [11]. Сверхтонкая структура наблюдавшегося перехода, обусловленная ядром азота, содержит шесть компонентов, но два центральных компонента в наших наблюдениях сливаются, поскольку интервал между ними составляет всего лишь 0.16 км/с [12, 13].
Обработка полученных спектров NH 2 D проводилась путем их аппроксимации с помощью метода HFS в программе CLASS, которая является частью пакета GILDAS, разработанного в Институте миллиметровой радиоастрономии1. Оценка лучевых концентраций молекул выполнялась с помощью оффлайн версии программы RADEX [2] [14]. Оценка коэффициентов корреляции и линейной регрессии с учетом пределов обнаружения выполнялась при помощи программы ASURV Rev. 1.2 [15, 16], а без пределов — с использованием стандартных подпрограмм из Numerical Recipes [17]. Для определения частот переходов и сверхтонких компонентов использовались базы данных SPLATOLOGUE [3] и NIST [4] .
3. РЕЗУЛЬТАТЫ
3.1. Результаты наблюдений
Линии NH 2 D были обнаружены в 29 источниках. На рис. 1 показаны спектры всех источников, где данная линия была зарегистрирована. На рис. 2 представлены спектры тех источников, где эта линия не была зарегистрирована. В результате обработки данных были определены параметры линии NH 2 D (скорость, ширина линии и интенсивность), которые приведены в табл. 2. Интенсивности линий представлены в шкале яркостных температур в основном лепестке диаграммы направленности. Также в табл. 2 приведены значения верхних пределов интенсивностей линий NH 2 D для источников, где они не были зарегистрированы. Верхним пределом интенсивности линии NH 2 D считалась величина 3σ/ , где σ — среднеквадратичная величина шумов в каналах, а N — количество спектральных каналов, которое определяется как отношение ширины линии для предела к ширине спектрального канала. В качестве ширин линий для пределов брались средние ширины узких линий в источнике таких молекул, как H 2 CO, HC 3 N и H 13 CN. Сравнение ширин узких линий в источнике и ширины линии NH 2 D показывает, что в среднем отношение составляет примерно 1.52 (рис. 3). Это означает, что оценки верхних пределов интенсивностей линий NH 2 D могут быть занижены на %. Тогда оценки верхних пределов интегральной интенсивности линии, которые используются для расчета лучевых концентраций, будут завышены на такой же фактор, что не является принципиальным.
Рис. 1. Спектры источников с зарегистрированными линиями NH 2 D. Верхняя шкала на рисунках показывает V LSR в км/с.
Рис. 2. Спектры источников, где линии NH 2 D не были зарегистрированы. Верхняя шкала на рисунках показывает V LSR в км/с.
Таблица 2. Параметры зарегистрированных линий однократно дейтерированного аммиака NH 2 D
Источник | V , км/с | T mb , мК | ∆ V , км/с | τ |
G121.30+0.66 | –17.50(05) | 308(18) | 1.99(12) | 1.20(54) |
S184 | –29.80(18) | 168(43) | 2.15(54) | 1.72(1.79) |
S187(N 2 H + ) | –13.30(04) | 225(21) | 0.88(08) | 1.82(98) |
G133.69+1.22 | <81 | 4.98(28) | ||
G133.71+1.22 | <85 | 3.29(20) | ||
G133.75+1.20 | <119 | 2.82(1.31) | ||
G133.95+1.07 | <82 | 4.40(72) | ||
S199 | –37.90(13) | 158(27) | 1.26(21) | 0.83(2.17) |
S201 | <38 | 2.96(27) | ||
AFGL490 | –12.20(03) | 335(24) | 0.84(06) | 2.35(83) |
G142.00+1.83 | <89 | 2.02(50) | ||
G170.66–0.27 | <78 | 1.52(14) | ||
G174.20–0.08 | –3.77(09) | 344(69) | 1.16(23) | 0.67(2.26) |
G173.17+2.35 | <55 | 2.12(81) | ||
S231 | –16.40(12) | 149(28) | 2.17(41) | 1.00(1.29) |
G173.58+2.44 | –16.40(03) | 254(13) | 1.1(06) | 2.39(68) |
S235 | <74 | 2.23(31) | ||
G205.11–14.11 | 9.49(06) | 254(29) | 1.00(12) | 4.57(1.71) |
G189.78+0.35 | 8.75(30) | 117(19) | 2.55(41) | 0.47(2.75) |
AFGL6366 | 3.83(10) | 149(47) | 0.75(24) | <14.00 |
S247 | <46 | 3.05(39) | ||
S255N | <58 | 3.07(18) | ||
S255IR | <148 | 2.25(37) | ||
W217 | 7.49(13) | 427(77) | 2.21(40) | 2.14(1.31) |
W40 | 4.76(01) | 1231(38) | 0.64(02) | 3.80(41) |
G58.47+0.43 | 36.50(26) | 144(32) | 1.83(40) | <9.00 |
S100 | <88 | 5.99(30) | ||
G65.78–2.61 | 6.41(30) | 195(64) | 2.80(92) | 1.75(2.48) |
G69.54–0.98 | 10.90(23) | 222(48) | 2.52(54) | 2.78(1.85) |
G77.46+1.76 | 1.72(05) | 667(33) | 1.99(10) | 2.38(50) |
G75.78–0.34 | <28 | 3.88(53) | ||
G79.27+0.39 | 1.86(09) | 443(49) | 1.38(15) | 4.37(1.56) |
G79.34+0.33 | 0.26(08) | 436(58) | 1.26(17) | 1.24(1.42) |
W75N | 8.30(02) | 134(36) | 2.88(78) | 0.82(1.71) |
W75(OH) line 1 | –3.84(27) | 302(192) | 1.39(89) | 1.12(10) |
W75(OH) line 2 | –2.58(27) | 140(25) | 5.02(89) | 0.52(10) |
W75S3 | –4.32(01) | 964(12) | 1.59(02) | 2.84(14) |
G81.50+0.14 | <68 | 1.18(73) | ||
G92.67+3.07 | <53 | 2.32(37) | ||
G99.98+4.17 | 0.43(32) | 97(26) | 2.05(56) | 5.02(3.25) |
S140 | –7.51(25) | 59(10) | 2.32(38) | <2.50 |
G109.87+2.11 | <106 | 3.81(65) | ||
G108.76–0.95 | –50.80(09) | 241(19) | 1.88(15) | <2.50 |
S153 | –51.90(21) | 338(92) | 1.76(48) | 5.06(2.18) |
S152(OH) | –51.30(05) | 584(35) | 1.56(09) | 2.96(66) |
S156 | <193 | 5.21(40) | ||
G111.54+0.78 | –56.30(09) | 28(8) | 3.76(1.07) | 1.63(0.28) |
S158 | –55.30(36) | 125(36) | 4.19(1.19) | 0.36(3.21) |
Примечание. В скобках приведены среднеквадратичные погрешности последних знаков. Для источников, не зарегистрированных в данных линиях, использовались средние ширины других узких линий, обнаруженных в конкретном источнике (см. раздел 3).
Рис. 3. Сравнение ширины линии однократно дейтерированного аммиака NH 2 D и средней ширины узких линий в источнике < ∆ V > . Сплошная линия соответствует < ∆ V > = ∆ V (NH 2 D) , штриховая — < ∆ V > = 1.52 ∆ V (NH 2 D) .
В последнем столбце табл. 2 приведены оценки оптической толщины в линии, полученные в программе CLASS из отношений интенсивностей компонентов сверхтонкой структуры линии методом HFS. Эта величина представляет собой сумму оптических толщин по всем компонентам. Оптическая толщина центрального компонента составляет 1/2 от этой величины. Для случаев, когда величина оптической толщины слишком мала и не может быть определена, в табл. 2 указаны верхние пределы, представляющие собой утроенные значения погрешности определения оптической толщины. Надо отметить, что в документации GILDAS в качестве одного из предположений для метода HFS указывается отсутствие перекрытий компонентов сверхтонкого расщепления. Для наших источников это условие в большинстве случаев не выполняется, как можно видеть на рис. 1. Однако анализ документации GILDAS показывает, что данное предположение не является обязательным. Для проверки мы оценили оптические толщины для некоторых источников, используя подход, описанный в работе [18]. Результаты получились близкими.
3.2. Оценки лучевых концентраций NH 2 D
Для оценок лучевых концентраций молекул NH 2 D и определения степени обогащения дейтерием в исследуемых источниках необходимо знать кинетическую температуру газа в этих областях. Температуры ряда источников были взяты для расчетов из публикаций [19–27], главным инструментом оценки которых является основной изотоп аммиака NH 3 . Температуры части наблюдавшихся объектов были определены по вращательным диаграммам молекулы типа симметричного волчка CH 3 CCH, линии которой видны в данных объектах. Эта молекула является хорошим индикатором температуры достаточно плотного газа [19]. Температуры, полученные этим методом, взяты из нашей предыдущей публикации [1]. Недавно была опубликована работа, в которой проводились сравнения методов оценки температуры по линиям основного изотопа аммиака NH 3 и по линиям метилацетилена CH 3 CCH [28]. Результаты данного исследования показали хорошую согласованность результатов оценок по обоим методам. Для источников, температуры которых неизвестны и не было обнаружено линий молекул, по которым можно определить температуру объектов, кинетические температуры газа были приняты равными 20 К. Всего таких источников 9: 4 источника с зарегистрированными линиями NH 2 D и 5 источников, где линия NH 2 D обнаружена не была. Это соответствует типичной температуре пыли для части источников нашей выборки [28]. Кинетические температуры газа наблюдавшихся объектов, использовавшиеся для расчетов, приведены в табл. 3.
Таблица 3. Лучевая концентрация молекул
Примечание. — температуры, полученные по вращательным диаграммам молекул CH 3 CCH; — принятое значение.
Источник | NH 2 D, 10 13 , см –2 1 × 10 4 см – 3 | NH 2 D 10 13 , см –2 1 × 10 5 см –3 | NH 2 D 10 13 , см –2 1 × 10 6 см –3 | NH 3 10 14 , см –2 | NH 2 D/NH 3 10 –2 , см –2 1 × 10 4 см –3 | NH 2 D/NH 3 10 –2 , см –2 1 × 10 5 см –3 | NH 2 D/NH 3 10 –2 , см –2 1 × 10 6 см –3 | T kin , K | |
G121.30+0.66 | 50.00(2.97) | 4.79(28) | 1.97(12) | 10.00 [24] | 50.00(2.97) | 4.79(28) | 1.97(12) | 21.1 [24]; 34.4 a | |
S184 | 22.60(5.72) | 2.21(56) | 1.04(26) | 7.94 [24] | 28.50(7.21) | 2.78(70) | 1.31(33) | 29 [24]; 30 a | |
S187(N 2 H + ) | 23.60(2.25) | 2.15(20) | 0.77(07) | 6.48 [29] | 36.50(3.47) | 3.31(32) | 1.18(11) | 15 [24] | |
G133.69+1.22 | <8.57 | <0.83 | <1.14 | 1.58 [24] | <54.00 | <5.25 | <7.20 | 30.7 [19] | |
G133.71+1.22 | <20.30 | <1.89 | <0.84 | 25.1 [21] | |||||
G133.75+1.20 | <9.98 | <1.41 | <1.49 | 1.58 [24] | <62.90 | <8.90 | <9.40 | 55.2 a | |
G133.95+1.07 | <7.42 | <0.66 | <1.22 | 5.01 [24] | <14.80 | <1.32 | <2.44 | 18.6 a | |
S199 | 13.60(2.29) | 1.30(22) | 0.59(10) | 2.47 [24] | 55.10(9.28) | 5.27(89) | 2.38(40) | 26.4 [21] | |
S201 | <7.05 | <0.67 | <0.32 | 29.7 [21] | |||||
AFGL490 | 24.00(1.74) | 2.29(17) | 0.92(07) | 20.0 [29] | 12.00(87) | 1.15(08) | 0.46(03) | 20 [24] | |
G142.00+1.83 | <16.20 | <1.46 | <0.59 | 20 b | |||||
G170.66–0.27 | <10.70 | <0.96 | <0.39 | 20 b | |||||
G174.20–0.08 | <26.00 | <2.59 | <1.18 | 3.98 [24] | <65.20 | <6.49 | <2.95 | 27 [21] | |
G173.17+2.35 | <10.60 | <0.94 | <0.38 | 20 b | |||||
S231 | 22.10(4.17) | 2.11(40) | 0.95(18) | 7.94 [24] | 27.80(5.25) | 2.65(50) | 1.20(23) | 26.5 [24]; 40.2 a | |
G173.58+2.44 | 26.10(1.36) | 2.43(13) | 0.95(05) | 8.50 [23] | 30.70(1.59) | 2.86(15) | 1.12(06) | 18.6 [24] | |
S235 | <2.93 | <0.33 | <0.44 | 2.77 [21] | <10.60 | <1.17 | <1.60 | 40.4 a | |
G205.11–14.11 | 10.60(1.22) | 1.21(14) | 0.69(08) | 2.00 [24] | 53.10(6.12) | 6.05(70) | 3.43(40) | 40.5 a | |
G189.78+0.35 | 17.80(2.89) | 1.75(28) | 0.85(14) | 30.6 [21] | |||||
AFGL6366 | 5.32(1.67) | 0.57(18) | 0.31(10) | 2.00 [24] | 26.70(8.37) | 2.85(90) | 1.53(48) | 37.1 a | |
S247 | <1.52 | <0.14 | <0.40 | 3.16 [24] | <4.80 | <0.45 | <1.28 | 28.5 [21] | |
S255N | <4.81 | <0.49 | <0.49 | 4.79 [27] | <10.10 | <1.03 | <1.02 | 34.8 a | |
S255IR | <3.40 | <0.35 | <0.92 | 2.45 [27] | <13.90 | <1.43 | <3.75 | 34.5 [26] | |
W217 | 64.90(11.60) | 6.49(1.16) | 2.85(51) | 7.94 [24] | 81.70(14.60) | 8.17(1.46) | 3.58(64) | 25 [24]; 37.1 a | |
W40 | 62.50(1.94) | 6.65(21) | 2.69(08) | 20 b | |||||
G58.47+0.43 | 23.40(5.17) | 2.14(47) | 0.86(19) | 20 b | |||||
S100 | <47.60 | <4.28 | <1.72 | 20 b | |||||
G65.78–2.61 | 47.90(15.70) | 4.44(1.46) | 1.78(59) | 20 b | |||||
G69.54–0.98 | 47.10(10.10) | 4.42(95) | 1.80(39) | 15.90 [24] | 29.60(6.36) | 2.78(60) | 1.13(24) | 20.8 [24]; 32.5 a | |
G77.46+1.76 | 78.20(3.88) | 8.27(41) | 3.88(19) | 5.01 [24] | 156.00(7.74) | 16.50(82) | 7.75(38) | 29 a | |
G75.78–0.34 | <5.29 | <0.55 | <0.30 | 36.8 a | |||||
G79.27+0.39 | 51.60(5.65) | 5.00(55) | 2.01(22) | 20.50 [25] | 25.00(2.76) | 2.44(27) | 0.98(11) | 20 b | |
G79.34+0.33 | 64.60(8.67) | 6.17(83) | 2.18(29) | 11.90 [25] | 54.30(7.29) | 5.19(70) | 1.82(25) | 14.6 [25] | |
W75N | 16.00(4.31) | 1.81(49) | 1.04(28) | 41.2 a | |||||
W75(OH) line 1 | 25.30(16.10) | 2.54(1.62) | 1.16(74) | 25.10 [24] | 10.10(6.42) | 1.01(65) | 0.46(30) | 29.6 a | |
W75(OH) line 2 | 35.40(6.27) | 3.67(0.65) | 1.94(35) | 25.10 [24] | 14.10(2.50) | 1.46(26) | 0.77(14) | 29.6 a | |
W75S3 | 59.60(76) | 7.37(09) | 4.23(05) | 3.71 [24] | 7.50(10) | 0.93(01) | 0.53(01) | 41.6 a | |
G81.50+0.14 | <11.10 | <0.96 | <0.30 | 7.60 [25] | <14.60 | <1.26 | <0.40 | 15.4 [25] | |
G92.67+3.07 | <7.39 | <0.72 | <0.35 | 30.7 a | |||||
G99.98+4.17 | 11.00(2.98) | 1.10(30) | 0.55(15) | 2.51 [24] | 43.60(11.90) | 4.37(1.19) | 2.20(60) | 33 a | |
S140 | 7.69(1.26) | 0.76(13) | 0.38(06) | 7.94 [24] | 9.68(1.59) | 0.96(16) | 0.48(08) | 32.6 a | |
G109.87+2.11 | <11.10 | <1.01 | <1.32 | 18.80 [30] | <5.90 | <0.53 | <0.70 | 20 b | |
G108.76–0.95 | 46.60(3.62) | 4.31(34) | 1.62(13) | 12.60 [24] | 36.90(2.87) | 3.42(27) | 1.28(10) | 17 [24] | |
S153 | 62.50(17.10) | 5.88(1.61) | 2.18(60) | 16.4 [23] | |||||
S152(OH) | 91.50(5.48) | 9.02(54) | 3.35(20) | 15.90 [24] | 57.50(3.45) | 5.67(34) | 2.11(13) | 16.4 [24]; 31.4 a | |
S156 | <8.01 | <0.73 | <0.34 | 3.98 [24] | <20.10 | <1.84 | <0.85 | 18.8 [23] | |
G111.54+0.78 | 3.62(1.02) | 0.45(13) | 0.28(08) | 4.32 [30] | 8.37(2.37) | 1.03(29) | 0.65(18) | 47.7 a | |
S158 | 23.10(6.57) | 2.54(72) | 1.42(40) | 1.00 [24] | 231.00(65.7) | 25.40(7.22) | 14.2(4.03) | 39.3 a | |
Лучевые концентрации молекул орто-NH 2 D оценивались в не-ЛТР модели с помощью оффлайн версии программы RADEX по полученным в результате обработки спектров параметрам линий, приведенным в табл. 2. Были рассмотрены различные концентрации газа от 1 × 10 4 см –3 до 1 × 10 6 см –3 . Этот диапазон концентраций соответствует оценкам, полученным для части источников из этой выборки по наблюдениям двух переходов молекул DCN, DNC и DCO + [18]. Необходимость использования не-ЛТР модели обусловлена следующими факторами. Для того, чтобы согласовать оценки оптической толщи в линиях с измеренными значениями антенной температуры, есть несколько возможностей. Во-первых, можно предположить, что кинетическая температура газа в областях излучения NH 2 D очень мала, всего несколько градусов. Такое предположение выглядит совершенно нереальным, поскольку непонятно, как могут появиться такие области в этих источниках. Во-вторых, можно предположить, что очень мал фактор заполнения диаграммы направленности антенны излучением источника. Но это предположение не согласуется с данными о размерах источников [31, 18]. В принципе, низкий фактор заполнения может быть связан с возможной неоднородной структурой источников. Однако, имеющиеся данные о мелкомасштабных неоднородностях в таких источниках (см., напр., [32, 33]) не согласуются с требуемым очень низким значением фактора заполнения. Остается предположить, что температура возбуждения данного перехода много меньше кинетической температуры газа, что и делает необходимым использование не-ЛТР моделирования. Надо также отметить, что критическая концентрация газа (при которой сравниваются скорости радиационных и столкновительных переходов [34]) для данного перехода NH 2 D весьма высока, см –3 при температурах 5–20 K по данным работы [35]. Для более горячих источников с кинетическими температурами газа K критическая концентрация газа снижается и приближается к отметке см –3 . Эти величины заметно превышают приведенные выше оценки концентрации газа в таких источниках, что также указывает на необходимость не-ЛТР моделирования. Оценки лучевых концентраций NH 2 D, полученные для критической концентрации, приняты в качестве нижнего предела этих величин и приведены в табл. 3. Как показано в работе [1], именно при концентрациях газа близких к критической получаются минимальные оценки лучевых концентраций.
Однако вывод о не-ЛТР возбуждении NH 2 D может поставить под сомнение оценки оптической толщи в данной линии, поскольку они основаны на предположении о равенстве температур возбуждения компонентов сверхтонкого расщепления. По нашему мнению, для этих сомнений нет оснований. Для равенства этих температур возбуждения ЛТР в принципе не требуется. Действительно, есть хорошо известные случаи «аномалий» сверхтонкой структуры, когда температуры возбуждения компонентов сильно различаются, например, в переходах HCN и (1,1) NH 3 . Они объясняются некоторыми особенностями структуры энергетических уровней этих молекул и перекрытиями компонентов [36, 37, 38, 39]. В случае NH 3 эти аномалии не препятствуют оценкам оптической толщи. Для NH 2 D аномалии не известны, так что оценки оптической толщи представляются надежными.
Надо отметить, что при моделировании излучения NH 2 D в RADEX не учитывается сверхтонкое расщепление данного перехода. Это может привести к ошибкам в оценках лучевой концентрации. В качестве входных параметров мы задаем яркостную температуру центрального компонента и ширину линии. Поскольку сателлиты при этом, вероятно, не учитываются, полученная оценка лучевой концентрации может быть занижена примерно в 2 раза. Для проверки этого предположения мы сравнили ЛТР оценки лучевых концентраций, полученные по известным формулам (см., напр., [40]), с оценками в программе RADEX для очень высоких концентраций газа ( см –3 ), при которых должны выполняться условия ЛТР. Оказалось, что оценки RADEX, действительно, примерно в 2 раза ниже. Поэтому все оценки лучевых концентраций, полученные при моделировании в RADEX, были увеличены в 2 раза.
Для дальнейших оценок полного содержания NH 2 D рассчитанные лучевые концентрации орто-NH 2 D были умножены на коэффициент 1.33, что соответствует отношению содержаний орто- и пара-NH 2 D равному 3 из спиновой статистики [41]. Это значение хорошо согласуется с данными наблюдений. Наиболее строгий анализ данных наблюдений с учетом оптической толщи в линиях дает для отношения лучевых концентраций значение [8] (для массивных сгустков из обзора ATLASGAL). Более простые оценки по отношению интегральных интенсивностей линий орто и пара-NH 2 D дали величины [42], [8], [18]. Более низкие значения по сравнению с отношением лучевых концентраций, скорее всего, объясняются более высокой оптической толщей в линиях орто-NH 2 D по сравнению с линиями пара-NH 2 D. Значения полных лучевых концентраций для молекулы однократно дейтерированного аммиака NH 2 D с учетом поправки на пара-NH 2 D приведены в табл. 3. Для нескольких наблюдавшихся объектов не была найдена информация о лучевых концентрациях аммиака NH 3 , поэтому эти объекты не учитываются в настоящем исследовании.
В источнике W75(OH) были обнаружены 2 линии NH 2 D с разными скоростями. Каждая из этих линий была обработана отдельно и данные, полученные в результате обработки, представлены для каждой линии отдельной строкой в табл. 2 и 3. Для дальнейших исследований была выбрана линия со скоростью – 3.84 км/с как более интенсивная и соответствующая основному компоненту источника (см., напр., [18]).
Верхние пределы лучевых концентраций NH 2 D рассчитывались так же, как и лучевые концентрации для зарегистрированных источников, только с использованием верхних пределов интенсивностей линии NH 2 D и средних ширин узких линий молекул, обнаруженных в конкретном источнике, как описано выше. Поскольку эти средние ширины несколько больше ширин линии NH 2 D (см. рис. 3), оценки верхних пределов лучевых концентраций NH 2 D могут быть завышены на %, что не является принципиальным. В источнике G81.50+0.14 не было обнаружено узких линий, поэтому в качестве ширины линии использовалось среднее значение ширин линий переходов (1,1) и (2,2) молекулы аммиака NH 3 , взятые из работы [25]. Кинетические температуры источников, использовавшиеся для расчетов пределов обнаружения однократно дейтерированного аммиака, указаны в табл. 3.
При моделировании измеренных спектров с помощью RADEX получаются и модельные значения оптической толщины в линиях. При предполагаемой концентрации газа от 1 × 10 4 см –3 до 1 × 10 6 см –3 эти модельные значения оказываются значительно ниже оценок оптической толщины в табл. 2. Для того, чтобы согласовать модельные оптические толщины с измеренными, есть несколько возможностей. Во-первых, можно предположить более низкую концентрацию газа. Требуемая для этого величина см –3 . Она по крайней мере в 3 раза ниже упомянутых выше оценок концентрации газа в таких источниках. Оценки по наблюдениям аммиака обычно так же дают более высокие значения. Однако области, которые вносят основной вклад в излучение NH 2 D и NH 3 , вполне могут быть разными. Надо отметить, что погрешности оценок оптической толщи по данным наблюдений в большинстве случаев весьма велики, что не позволяет судить о возможной зависимости концентрации газа, при которой удается согласовать модельные и измеренные значения оптической толщины, от кинетической температуры газа, приведенной в табл. 3. Другие варианты — это более низкая кинетическая температура газа в областях излучения NH 2 D, либо низкий фактор заполнения диаграммы направленности антенны. Эти варианты были рассмотрены и отброшены выше. Таким образом, оценки оптической толщи, скорее всего, указывают на довольно низкую концентрацию газа в тех областях, где эта оптическая толща значительна. Надо, однако, учитывать тот факт, что моделирование в RADEX не принимает во внимание сверхтонкое расщепление перехода, как отмечено выше. Это приводит к неопределенностям в оценках. Для дальнейших оценок мы принимаем в качестве наиболее вероятного значения концентрации газа величину см –3 , которая соответствует упомянутым выше оценкам из анализа возбуждения молекул и достаточна близка к той, которая требуется для согласования измеренных и модельных значений оптической толщи в линии. Тем не менее, эта величина находится на нижней границе интервала значений концентрации, найденных из анализа возбуждения молекул. Таким образом, найденные нами в предположении см –3 значения лучевой концентрации представляют собой, по сути, верхние пределы истинных значений.
3.3. Оценки относительного содержания NH 2 D и отношения содержаний NH 2 D/NH 3
Следующим шагом исследований стали расчеты относительного содержания NH 2 D, т. е. отношения количества дейтрерированного аммиака NH 2 D на луче зрения к количеству молекул H 2 . Для расчетов количества молекулярного водорода H 2 были использованы данные о молекулах C 18 O, взятые из работы [43]. Относительное содержание C 18 O принято равным 1.7 × 10 –7 [44]. Таким образом, выразив из этого соотношения лучевую концентрацию молекулярного водорода H 2 , можно рассчитать относительное содержание дейтерированного аммиака NH 2 D. Известно, что относительное содержание C 18 O меняется по радиусу Галактики вследствие наличия градиента отношения распространенностей 16 O/ 18 O [45, 46]. Мы это изменение не учитываем, поскольку для источников нашей выборки с достаточно надежными оценками расстояний оно не превышает % (галактоцентрические расстояния для них лежат в интервале от до кпк (см. табл. 1). Это значительно меньше, чем вариации, которые в дальнейшем обсуждаются. Примерно для 20% источников расстояния не известны. В некоторых случаях мы рассчитали кинематические расстояния (отмечены в табл. 1). Однако в направлениях центра и антицентра Галактики, а также в тангенциальных направлениях кинематические расстояния имеют очень большие погрешности и их использование не представляется возможным.
Для определения степени обогащения дейтерием для молекулы однократно дейтерированного аммиака NH 2 D необходимо знать лучевые концентрации молекул аммиака NH 3 . Значения количества молекул на луче зрения для аммиака NH 3 брались из публикаций [21, 23, 24, 25, 27, 30, 47]. Для нескольких источников брались данные наблюдений линий аммиака NH 3 из работы [29] и лучевые концентрации для них рассчитывались по формулам, представленным в публикации [47].
3.4. Анализ зависимостей относительного содержания NH 2 D, NH 3 и отношения содержаний NH 2 D/NH 3 от температуры и дисперсии скоростей
Далее мы провели анализ зависимостей полученных оценок относительного содержания NH 2 D и отношения содержаний NH 2 D/NH 3 как с учетом, так и без учета верхних пределов этих величин от температуры и от ширины линий в источнике.
Наличие корреляции с учетом пределов определялось по методу Кендалла [48], а коэффициенты линейной регрессии (коэффициенты наклона) определялись с помощью метода Бакли-Джеймса [48]. Все расчеты этих параметров выполнялись в программе ASURV. Без учета пределов помимо ранговой корреляции Кендалла, рассчитывался также коэффициент корреляции и показатель значимости по Пирсону. Критерием наличия корреляции был принят показатель значимости p < α , где α — это порог уровня значимости, заданный равным 0.05, что означает допустимую вероятность ошибки первого рода не более 5%. В табл. 4 приведены полученные значения уровней значимости для всех зависимостей, рассмотренных в данной работе, как с учетом пределов, так и без их учета. А также в табл. 4 приведены значения коэффициентов линейной регрессии для всех рассмотренных случаев. При определении уровней значимости и коэффициентов линейной регрессии были исключены источники, для которых не были известны кинетические температуры.
Таблица 4. Показатели значимости корреляций и коэффициенты наклона линейной регрессии
Зависимость | Показатель значимости (p) | Коэффициент наклона линейной регрессии | |||
с учетом пределов | без учета пределов | с учетом пределов | без учета пределов | ||
(Кендалл) | (Пирсон) | ||||
N (NH 2 D)/ N (H 2 ) , n = 10 4 см –3 | 0.073 | 0.061 | 0.029 | ||
N (NH 2 D)/ N (H 2 ) , n = 10 5 см –3 | 0.097 | 0.099 | 0.053 | ||
N (NH 2 D)/ N (H 2 ) , n = 10 4 см –3 | 0.014 | 0.509 | 0.149 | ||
N (NH 2 D)/ N (H 2 ) , n = 10 5 см –3 | 0.010 | 0.378 | 0.182 | ||
N (NH 2 D)/ N (NH 3 ) , n = 10 4 см –3 | 0.204 | 0.194 | 0.254 | ||
N (NH 2 D)/ N (NH 3 ) , n = 10 5 см –3 | 0.417 | 0.427 | 0.444 | ||
N (NH 2 D)/ N (NH 3 ) , n = 10 4 см –3 | 0.076 | 0.932 | 0.517 | ||
N (NH 2 D)/ N (NH 3 ) , n = 10 5 см –3 | 0.062 | 0.842 | 0.418 | ||
N (NH 3 )/ N (H 2 ) | – | 0.283 | 0.249 | – | |
N (NH 3 )/ N (H 2 ) | – | 0.029 | 0.008 | – | |
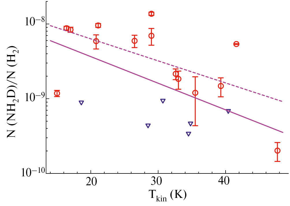
Графики зависимостей относительного содержания NH 2 D от кинетической температуры газа и от ширины линий в источнике приведены на рис. 4, 5. Для верхних пределов относительного содержания, как отмечено выше, использовались средние ширины других узких линий в источнике (HC 3 N, H 2 CO и H 13 CN). Для зависимости относительного содержания однократно дейтерированного аммиака от кинетической температуры источника, представленной на рис. 4, обнаружена статистически значимая корреляция. На этом рисунке приведены оценки относительного содержания молекул однократно дейтерированного аммиака NH 2 D в зависимости от кинетической температуры источника для концентрации газа равной 1 × 10 4 см –3 . На рис. 4 красными кружками показаны полученные оценки, а синими треугольниками — значения, при расчетах которых были использованы пределы обнаружения молекул однократно дейтерированного аммиака NH 2 D. Рис. 4 показывает, что относительное содержание однократно дейтерированного аммиака NH 2 D падает с ростом кинетической температуры источника. Показатель значимости для этой зависимости c учетом пределов составляет p = 0.073, что несколько превышает принятый порог уровня значимости. Сплошная линия на рис. 4 — это прямая линейной регресии с учетом пределов. Так же был проведен анализ зависимости относительного содержания однократно дейтерированного аммиака NH 2 D от кинетической температуры источника без учета пределов обнаружения данной молекулы. Уровень значимости по Пирсону в этом случае составляет p = 0.029, что меньше принятого порога уровня значимости. Штриховая линия на рис. 4 — это прямая линейной регрессии без учета пределов.
Рис. 4. Зависимость относительного содержания однократно дейтерированного аммиака NH 2 D от кинетической температуры источника для плотности газа n = 10 4 см –3 . Кружки — измеренные значения, треугольники — пределы обнаружения NH 2 D. Сплошная линия — прямая линейной регрессии с учетом пределов, штриховая — прямая линейной регрессии без учета пределов.
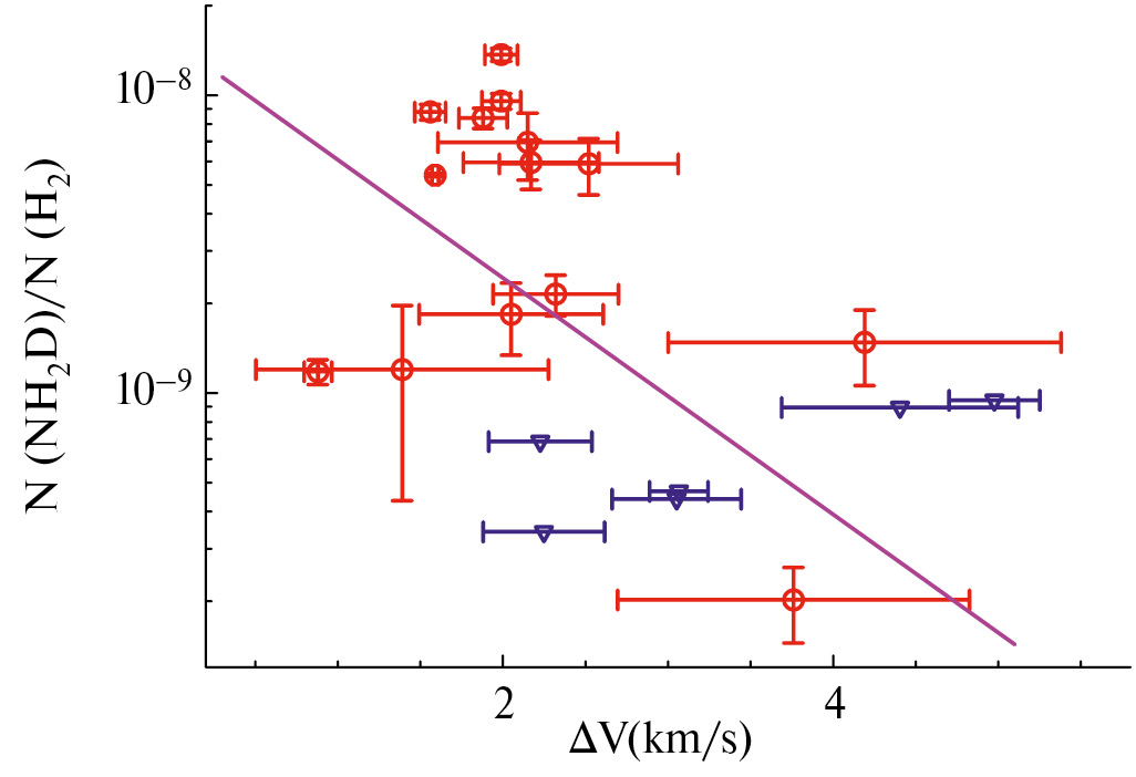
Рис. 5. Зависимость относительного содержания однократно дейтерированного аммиака NH 2 D от ширины линии для плотности газа n = 10 4 см –3 . Кружки — измеренные значения, треугольники — пределы обнаружения NH 2 D. Сплошная линия — прямая линейной регрессии с учетом пределов.
На рис. 4 показана зависимость относительного содержания молекул однократно дейтерированного аммиака NH 2 D от ширины линий в источнике для случая, когда концентрация газа принята равной 10 4 см –3 . Ширины линий NH 2 D во всех наблюдавшихся источниках, кроме одного, находятся в диапазоне от 0.5 км/с до 4 км/с. Показатель значимости для данного соотношения равен 0.014, что ниже принятого порога уровня значимости. Здесь сплошная линия — это прямая линейной регрессии с учетом пределов. Уровень значимоcти по Пирсону для данной зависимости без учета пределов составляет p = 0.149, что существенно превышает принятый порог уровня значимости.
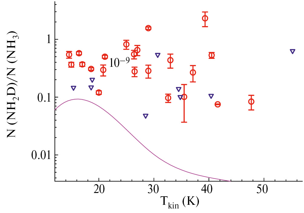
На рис. 6 показана зависимость отношения лучевых концентраций NH 2 D и NH 3 от кинетической температуры источника для предполагаемой концентрации газа 10 4 см –3 . Статистически значимого изменения этого отношения в рассматриваемом интервале кинетических температур 15–50 K не наблюдается. Разброс этого отношения в исследуемых объектах составляет от до для предполагаемой концентрации газа 10 4 см –3 и от до для концентрации газа 10 5 см –3 . Среднее значение отношения лучевых концентраций NH 2 D и NH 3 получилось равным в диапазоне температур 10–30 K для предполагаемой концентрации газа 10 4 см –3 . Модель же дейтерирования аммиака [2, 9] предсказывает отношение лучевых концентраций NH 2 D и NH 3 при кинетических температурах газа 10–20 K, что ниже полученных нами значений (которые, как отмечено выше, представляют собой, по сути, верхние пределы).
Рис. 6. Зависимость отношения лучевых концентраций однократно дейтерированного ммиака NH 2 D и недейтерированной фракции NH 3 от кинетической температуры источника для плотности газа n = 10 4 см –3 . Кружки — измеренные значения, треугольники — пределы обнаружения NH 2 D. Кривая показывает модельную зависимость отношения N (NH 2 D)/ N (NH 3 ) от кинетической температуры источника T kin согласно работе [2].
Аналогичным образом была рассмотрена зависимость отношения лучевых концентраций однократно дейтерированного аммиака NH 2 D и основного изотопа NH 3 от дисперсии скоростей. Данная зависимость для предполагаемой концентации газа 10 4 см –3 представлена на рис. 7. Статистически значимой корреляции между этими величинами не обнаружено (табл. 4). На рис. 6 и 7 отсутствуют точки, соответствующие источникам, для которых неизвестны кинетические температуры и приняты равными 20 K.
Рис. 7. Зависимость отношения лучевых концентраций однократно дейтерированного аммиака NH 2 D и недейтерированной фракции NH 3 от ширины линии для плотности газа n = 10 4 см –3 . Кружки — измеренные значения, треугольники — пределы обнаружения NH 2 D.
Мы рассмотрели также зависимости относительного содержания аммиака NH 3 от кинетической температуры источника и от дисперсии скоростей. Данные зависимости представлены на рис. 8 и 9 соответственно. Относительное содержание аммиака NH 3 определялось аналогично относительному содержанию однократно дейтерированного аммиака NH 2 D, описанному выше. На рис. 8 наблюдается тенденция к уменьшению относительного содержания аммиака NH 3 с ростом кинетической температуры газа в источниках, однако она не является статистически значимой. При этом имеется статистически значимое уменьшение относительного содержания аммиака с ростом дисперсии скоростей (рис. 9).
Рис. 8. Зависимость относительного содержания аммиака NH 3 от кинетической температуры источника.
Рис. 9. Зависимость относительного содержания аммиака NH 3 от ширины линии. Сплошная линия — прямая линейной регрессии.
4. ОБСУЖДЕНИЕ РЕЗУЛЬТАТОВ
Наши результаты показывают отсутствие статистически значимого изменения отношения содержаний NH 2 D/NH 3 в исследуемом интервале температур 15–50 K, хотя разброс оценок довольно велик (он превышает порядок величины) и некоторая тенденция к уменьшению этого отношения при температурах К на рис. 6 просматривается. В то же время имеющиеся теоретические модели предсказывают сильную зависимость от температуры в этом интервале. Модель дейтерирования аммиака, представленная в работах [9, 2], предсказывает отношение NH 2 D/NH 3 при 10–20 K и его падение до при 50 K. Сильная зависимость степени обогащения дейтерием от температуры предсказывается и в других моделях (см., напр., [41]). Однако существенным недостатком корреляционного анализа в данной работе является предположение об одинаковой концентрации газа во всех источниках. Это предположение, скорее всего, неверно. По некоторым оценкам имеется положительная корреляция между температурой и концентрацией газа в части этих источников [А. Г. Пазухин, частное сообщение]. Поскольку с ростом концентрации газа оценки лучевой концентрации NH 2 D уменьшаются, такая корреляция будет транслироваться в антикорреляцию между этими оценками и температурой, что может усилить обсуждаемые здесь тренды и обеспечить согласие с теоретической моделью.
Недавно был выполнен обзор 50-ти областей образования массивных звезд в линии пара-NH 2 D на частоте 110 ГГц при помощи 300-метрового радиотелескопа Института миллиметровой радиоастрономии [49]. Линия была зарегистрирована в 36 источниках, что составляет 72% наблюдавшихся объектов. Анализ данных проводился в приближении ЛТР. Оценки степени обогащения дейтерием в этой работе получились в среднем примерно такие же, как и у нас. При этом в работе [49] найдено (на уровне 3.5σ), что отношение содержаний NH 2 D/NH 3 уменьшается с ростом дисперсии скоростей в источнике, что не подтверждается нашими данными с учетом пределов обнаружения молекулы NH 2 D. Также и в работе [42] такой антикорреляции не обнаружено. В этой работе ширины линий не превышают км/с.
В работе [8] найдено, что частота детектирования NH 2 D в сгустках ATLASGAL понижается при температурах > 20 К. В принципе это согласуется с найденным нами уменьшением относительного содержания NH 2 D с ростом температуры. Зависимости отношения NH 2 D/NH 3 от температуры (в интервале 10–30 К) в работе [8], как и у нас, не обнаружено.
В работе [18], основанной на анализе карт нескольких источников, полученных на 30-метровом радиотелескопе IRAM, наблюдается заметное уменьшение отношения NH 2 D/NH 3 с ростом температуры выше K. При этом значения этого отношения, как и в данной работе, в несколько раз выше предсказываемого моделью [2]. Надо отметить, что объем анализируемых данных в работе [18] заметно выше, чем в данной работе.
Что касается наблюдаемой тенденции к уменьшению относительного содержания аммиака с ростом кинетической температруры газа в источниках, а также его статистически значимого уменьшения с ростом дисперсии скоростей, то стоит отметить, что в работе [27] отмечалось уменьшение относительного содержания аммиака в направлении источников с наибольшей светимостью. Температура газа вокруг источников с высокой светимостью, как и турбулентность, естественно, также повышены. При этом значения относительной концентрации NH 3 при температурах К близки к типичным значениям [23].
5. ЗАКЛЮЧЕНИЕ
В результате обзора областей образования массивных звезд излучение однократно дейтерированного аммиака NH 2 D зарегистрировано в 29 из 50 наблюдавшихся объектов. Анализ полученных данных, а также тот факт, что концентрация газа в исследуемых источниках по независимым оценкам значительно ниже критической концентрации для данного перехода NH 2 D, указывают на не-ЛТР возбуждение NH 2 D. Получены оценки лучевой концентрации NH 2 D на основе не-ЛТР моделирования с использованием доступных данных о кинетической температуре газа для нескольких значений предполагаемой концентрации газа. Выявлены статистически значимые анти-корреляции между относительным содержанием NH 2 D и кинетической температурой газа в интервале температур 15–50 K, а также между относительным содержанием NH 2 D и дисперсией скоростей в источнике.
При этом значительного уменьшения отношения содержаний NH 2 D/NH 3 с ростом температуры, предсказываемого имеющимися химическими моделями, не наблюдается (в предположении об одинаковой концентрации газа во всех источниках). Оно составляет при предполагаемой концентрации газа см –3 в данном интервале температур, хотя разброс оценок довольно велик и эти оценки представляют собой, по сути, верхние пределы. В работе [2] предсказывается отношение NH 2 D/NH 3 при 10–20 K и его падение до при 50 K. В недавно опубликованной работе [18] в диапазоне температур 10–20 K данное соотношение , однако там наблюдается спад отношения NH 2 D/NH 3 при температурах > 30 K согласно модели, хотя остается выше модельных значений. Надо, однако, иметь в виду, что предположение об одинаковой концентрации газа во всех источниках, скорее всего, неверно. При наличии положительной корреляции между концентрацией газа и температурой оценки отношения NH 2 D/NH 3 будут уменьшаться с ростом температуры. Таким образом, с учетом неопределенностей наших оценок лучевой концентрации результаты данной работы не противоречат химической модели в работе [2]. При этом зависимости отношения содержаний NH 2 D/NH 3 от дисперсии скоростей не выявлено. Анализ имеющихся данных также выявил статистически значимую анти-корреляцию между относительным содержанием аммиака NH 3 и дисперсией скоростей, в то время как явной анти-корреляции между относительным содержанием аммиака NH 3 и кинетической температурой газа в источниках в диапазоне от 15 K до 50 K выявлено не было. Однако наблюдается тенденция к снижению относительного содержания аммиака NH 3 с ростом температуры газа.
ФИНАНСИРОВАНИЕ
Работа выполнена при поддержке гранта РНФ 22-22-00809.
БЛАГОДАРНОСТИ
Авторы выражают благодарность за поддержку со стороны Обсерватории Онсала (Швеция) в предоставлении ее оборудования и обеспечении наблюдений. Авторы благодарны анонимному рецензенту за полезные замечания, которые позволили улучшить представление результатов.
1 http://www.iram.fr/IRAMFR/GILDAS
2 http://var.sron.nl/radex/radex.php
3 http://www.cv.nrao.edu/php/splat/
4 https://physics.nist.gov/cgi-bin/micro/table5/start.pl
About the authors
E. A. Trofimova
Federal Research Center A. V. Gaponov-Grekhov Institute of Applied Physics of the Russian Academy of Sciences
Author for correspondence.
Email: tea@ipfran.ru
Russian Federation, Nizhny Novgorod
I. I. Zinchenko
Federal Research Center A. V. Gaponov-Grekhov Institute of Applied Physics of the Russian Academy of Sciences
Email: zin@ipfran.ru
Russian Federation, Nizhny Novgorod
P. M. Zemlyanukha
Federal Research Center A. V. Gaponov-Grekhov Institute of Applied Physics of the Russian Academy of Sciences
Email: petez@ipfran.ru
Russian Federation, Nizhny Novgorod
M. Thomasson
Chalmers University of Technology
Email: magnus.thomasson@chalmers.se
Onsala Space Observatory
Sweden, OnsalaReferences
- E. A. Trofimova, I. I. Zinchenko, P. M. Zemlyanukha, and M. Thomasson, Astron. Rep. 64(3), 244 (2020).
- E. Roueff, B. Parise, and E. Herbst, Astron. and Astrophys. 464, 245 (2007).
- T. Pillai, F. Wyrowski, J. Hatchell, A. G. Gibb, and M. A. Thompson, Astron. and Astrophys. 467, 207 (2007), arXiv:astro-ph/0702548.
- T. Pillai, J. Kauffmann, F. Wyrowski, J. Hatchell, A. G. Gibb, and M. A. Thompson, Astron. and Astrophys. 530, id. A118 (2011), arXiv:1105.0004 [astro-ph.GA].
- F. Fontani, A. Palau, P. Caselli, Á. Sánchez-Monge, et al., Astron. and Astrophys. 529, id. L7 (2011), arXiv:1103.5636 [astro-ph.SR].
- O. Miettinen, M. Hennemann, and H. Linz, Astron. and Astrophys. 534, id. A134 (2011), arXiv:1108.5691 [astro-ph.GA].
- T. Gerner, Y. L. Shirley, H. Beuther, D. Semenov, H. Linz, T. Albertsson, and T. Henning, Astron. and Astrophys. 579, id. A80 (2015), arXiv:1503.06594 [astro-ph.GA].
- M. Wienen, F. Wyrowski, C. M. Walmsley, T. Csengeri, T. Pillai, A. Giannetti, and K. M. Menten, Astron. and Astrophys. 649, id/ A21 (2021), arXiv:2102.04478 [astro-ph.GA].
- E. Roueff, D. C. Lis, F. F. S. van der Tak, M. Gerin, and P. F. Goldsmith, Astron. and Astrophys. 438(2), 585 (2005), arXiv:astro-ph/0504445.
- J. G. A. Wouterloot and J. Brand, Astron. and Astrophys. Suppl. Ser. 80, 149 (1989).
- F. Daniel, L. H. Coudert, A. Punanova, J. Harju, et al., Astron. and Astrophys. 586, id. L4 (2016), arXiv:1601.00162 [astro-ph.GA].
- S. Tiné, E. Roueff, E. Falgarone, M. Gerin, and G. Pineau des Forêts, Astron. and Astrophys. 356, 1039 (2000).
- L. H. Coudert and E. Roueff, Astron. and Astrophys. 449(2), 855 (2006).
- F. F. S. van der Tak, J. H. Black, F. L. Schöier, D. J. Jansen, and E. F. van Dishoeck, Astron. and Astrophys. 468, 627 (2007), arXiv:0704.0155 [astro-ph].
- T. Isobe and E. D. Feigelson, Bull. Amer. Astron. Soc. 22, 917 (1990).
- M. P. Lavalley, T. Isobe, and E. D. Feigelson, Bull. Amer. Astron. Soc. 24, 839 (1992).
- W. H. Press, S. A. Teukolsky, W. T. Vetterling, and B. P. Flannery, Numerical Recipes 3rd Edition: The Art of Scientific Computing, 3rd Edition (Cambridge University Press, 2007), http://www.amazon.com/ Numerical-Recipes-3rd-Scientific-Computing/dp/0521880688/ref=sr_1_1?ie=UTF8& s=books&qid=1280322496&sr=8-1.
- A. G. Pazukhin, I. I. Zinchenko, E. A. Trofimova, C. Henkel, and D. A. Semenov, Monthly Not. Roy. Astron. Soc. 526(3), 3673 (2023), arXiv:2309.16510 [astro-ph.GA].
- S. Y. Malafeev, I. I. Zinchenko, L. E. Pirogov, and L. E. B. Johansson, Astron. Letters 31, 239 (2005).
- L. E. Pirogov, V. M. Shul’ga, I. I. Zinchenko, P. M. Zemlyanukha, A. N. Patoka, and M. Thomasson, Astron. Rep. 60, 904 (2016), arXiv:1608.08446 [astro-ph.GA].
- K. Schreyer, T. Henning, C. Koempe, and P. Harjunpaeae, Astron. and Astrophys. 306, 267 (1996).
- L. E. Pirogov and I. I. Zinchenko, Astron. Rep. 37, 484 (1993).
- J. Harju, C. M. Walmsley, and J. G. A. Wouterloot, Astron. and Astrophys. Suppl. Ser. 98, 51 (1993).
- J. Jijina, P. C. Myers, and F. C. Adams, Astrophys. J. Suppl. 125, 161 (1999) .
- T. Pillai, F. Wyrowski, S. J. Carey, and K. M. Menten, Astron. and Astrophys. 450, 569 (2006), arXiv:astro-ph/0601078.
- I. Zinchenko, P. Caselli, and L. Pirogov, Monthly Not. Roy. Astron. Soc. 395, 2234 (2009), arXiv:0903.1209 [astro-ph.GA].
- I. Zinchenko, T. Henning, and K. Schreyer, Astron. and Astrophys. Suppl. Ser. 124, 385 (1997).
- A. G. Pazukhin, I. I. Zinchenko, E. A. Trofimova, and C. Hen kel, Astron. Rep. 66(12), 1302 (2022), arXiv:2211.14063 [astro-ph.GA].
- J. M. Torrelles, P. T. P. Ho, J. M. Moran, L. F. Rodriguez, and J. Canto, 307, 787 (1986).
- F. C. Li, Y. Xu, Y. W. Wu, J. Yang, D. R. Lu, K. M. Menten, and C. Henkel, Astron. J. 152(4), id. 92 (2016), arXiv:1608.04251 [astro-ph.GA].
- I. I. Zinchenko, A. G. Pazukhin, E. A. Trofimova, P. M. Zem lyanukha, C. Henkel, and M. Thomasson, The Multifaceted Universe: Theory and Observations–2022, held 23–27 May 2022, SAO RAS, Nizhny Arkhyz, Russia; PoS(MUTO2022), 425, id. 038 (2022) https://pos.sissa.it/cgi-bin/reader/conf.cgi?confid=425, id.38 .
- L. E. Pirogov and I. I. Zinchenko, Astron. Rep. 52(12), 963 (2008), arXiv:0903.4280 [astro-ph.GA].
- L. Pirogov, Res. Astron. and Astrophys. 18(8), id. 100 (2018), 1804.05600.
- Y. L. Shirley, Publ. Astron. Soc. Pacific 127(949), 299 (2015), arXiv:1501.01629 [astro-ph.IM].
- S. Feng, P. Caselli, K. Wang, Y. Lin, H. Beuther, and O. Sipilä, 883(2), id. 202 (2019), arXiv:1909.00209 [astro-ph.GA].
- S. Guilloteau and A. Baudry, Astron. and Astrophys. 97(1), 213 (1981).
- I. I. Zinchenko and L. E. Pirogov, Soviet Astron. 31, 254 (1987).
- J. R. Goicoechea, F. Lique, and M. G. Santa-Maria, Astron. and Astrophys. 658, id. A28 (2022), arXiv:2111.03609 [astro-ph.GA].
- J. Stutzki and G. Winnewisser, Astron. and Astrophys. 144, 13 (1985).
- G. Busquet, A. Palau, R. Estalella, J. M. Girart, Á. Sánchez-Monge, S. Viti, P. T. P. Ho, and Q. Zhang, Astron. and Astrophys. 517, id. L6 (2010), arXiv:1006.4280 [astro-ph.GA].
- O. Sipilä, J. Harju, P. Caselli, and S. Schlemmer, Astron. and Astrophys. 581, id. A122 (2015), arXiv:1507.02856 [astro-ph.GA].
- F. Fontani, G. Busquet, A. Palau, P. Caselli, Á. Sánchez-Monge, J. C. Tan, and M. Audard, Astron. and Astrophys. 575, id. A87 (2015), arXiv:1410.7232 [astro-ph.SR].
- I. Zinchenko, C. Henkel, and R. Q. Mao, Astron. and Astrophys. 361, 1079 (2000).
- M. A. Frerking, W. D. Langer, and R. W. Wilson, 262, 590 (1982).
- T. L. Wilson and R. Rood, Ann. Rev. Astron. Astrophys. 32, 191 (1994).
- T. Liu, Y. Wu, and H. Zhang, 775, id. L2 (2013), arXiv:1306.0046 [astro-ph.SR].
- M. Kohno, T. Omodaka, T. Handa, J. O. Chibueze, et al., Publ. Astron. Soc. Japan 74(3), 545 (2022), arXiv:2202.01518 [astro-ph.GA].
- T. Isobe, E. D. Feigelson, and P. I. Nelson, 306, 490 (1986).
- Y. Li, J. Wang, J. Li, S. Liu, and Q. Luo, Monthly Not. Roy. Astron. Soc. 512(4), 4934 (2022), arXiv:2204.12299 [astro-ph.GA].
Supplementary files











