Determination of dynamic and physical characteristics of near-Earth asteroids based on observations from 2022–2023
- Authors: Kuznetsov Е.D.1, Wiebe Y.Z.1, Glamazda D.V.1, Kaiser G.T.1, Krushinsky V.V.1, Kryuchkov M.S.2, Naroenkov S.А.2, Perminov A.S.1
-
Affiliations:
- Ural Federal University
- Institute of Astronomy of the Russian Academy of Sciences
- Issue: Vol 101, No 7 (2024)
- Pages: 641-650
- Section: Articles
- URL: https://journals.rcsi.science/0004-6299/article/view/274368
- DOI: https://doi.org/10.31857/S0004629924070063
- EDN: https://elibrary.ru/IULCHE
- ID: 274368
Cite item
Full Text
Abstract
Astrometric and multicolor photometric observations of near-Earth asteroids have been made at the SBG telescopes of the Kourovka Astronomical Observatory of the UrFU and the Zeiss-1000 telescope of the Simeiz Observatory in 2022–2023. Improved orbital elements were obtained for seven asteroids from astrometric observations at the SBG telescope. Axial rotation periods were estimated from photometric observations for seven asteroids. Color indices for six asteroids were obtained from photometric observations in B, V, R, and I filters.
Full Text
1. Введение
Наблюдения астероидов, сближающихся с Землей (АСЗ), являются актуальной задачей, которая тесно связана с проблемой астероидно-кометной опасности. Позиционные и фотометрические наблюдения АСЗ позволяют получать динамические и физические характеристики астероидов, которые используются для оценки опасности астероида при его тесном сближении с Землей или возможном падении на Землю.
Наблюдения АСЗ имеют ряд особенностей, отличающих их от других малых тел и, в первую очередь, от астероидов главного пояса. Периоды видимости, в которые АСЗ доступны наземным телескопам малых и средних размеров, повторяются нерегулярно. Исключение составляют АСЗ, которые находятся в орбитальных резонансах с Землей. В этом случае условия наблюдений в каждом из регулярных появлений АСЗ оказываются близкими по геоцентрическим расстояниям и фазовым углам, а астероид находится примерно в одинаковой области орбиты. Для нерезонансных астероидов характерно нерегулярное распределение интервалов видимости, при этом условия наблюдений АСЗ становятся более разнообразными. Чем меньше размер АСЗ, тем в среднем больше интервалы времени между его появлениями, и тем короче промежутки времени, позволяющие выполнять наблюдения. В случае тесных сближений астероидов с Землей появляется возможность наблюдать объекты небольшого размера, диаметром несколько десятков или сотен метров, однако область поверхности Земли, с которой можно проводить наблюдения, сокращается. Каждое появление АСЗ становится уникальным, дающим возможность получить новые сведения, характеризующие динамические и физические характеристики астероида.
С 2020 г. в Коуровской астрономической обсерватории Уральского федерального университета (КАО УрФУ) и Центре коллективного пользования (ЦКП) «Терскольская обсерватория» ИНАСАН выполняется совместный проект АСЗ-КС по определению динамических и физических параметров астероидов, сближающихся с Землей, по результатам позиционных и фотометрических наблюдений [1]. Решаются следующие задачи.
- Определение улучшенных элементов орбит.
- Определение периодов осевого вращения астероидов.
- Оценка показателей цвета астероидов.
Наблюдения АСЗ проводятся на телескопе СБГ АО УрФУ и телескопе Цейсс-1000 ЦКП «Терскольская обсерватория», находящемся в Симеизской обсерватории ИНАСАН. Статья посвящена описанию и анализу результатов, полученных на основе этих наблюдений. Описание инструментов и светоприемной аппаратуры дано в разделе 2. В разделе 3 приведены результаты позиционных наблюдений. В разделе 4 получены периоды осевого вращения астероидов. Показателям цвета посвящен раздел 5.
2. Сведения о телескопах
Наблюдения АСЗ проводились на двух инструментах: телескопе СБГ КАО УрФУ и телескопе Цейсс-1000 ИНАСАН. Основные параметры телескопов СБГ и Цейсс-1000 и их светоприемной аппаратуры приведены в табл. 1. На телескопе СБГ выполнялись позиционные и фотометрические наблюдения АСЗ. Для позиционных наблюдений иcпользовался фильтр R, для фотометрических наблюдений — фильтры V, R, I. На телескопе Цейсс-1000 проводились фотометрические наблюдения в фильтрах B, V, R, I. Количественные сведения о наблюдениях, выполненных с июля 2022 г. по март 2023 г., приведены в табл. 2 и 3.
Таблица 1. Основные параметры телескопов СБГ и Цейсс-1000
Параметр | СБГ | Цейсс-1000 |
Оптическая система | Шмидта | Ричи-Кретьена |
Диаметр зеркала, м | 0.4 | 1 |
Фокусное расстояние, м (с редуктором фокуса, Цейсс-1000) | 0.8 | 13 5.7 |
Светоприемник | Apogee Alta U32 | FLI PL 16803 |
Размер пикселя, мкм | 6.8 × 6.8 | 9 × 9 |
Масштаб изображения, ʺ/пиксель (с редуктором фокуса, Цейсс-1000) | 1.8 | 0.143 0.326 |
Поле зрения (с редуктором фокуса, Цейсс-1000) | 65ʹ × 44ʹ | 10ʹ × 10ʹ 22ʹ × 22ʹ |
Таблица 2. Cведения о наблюдениях, выполненных на телескопе СБГ в 2022–2023 гг.
Астероид | Дата наблюдений | Количество положений в фильтрах | Астероид | Дата наблюдений | Количество положений в фильтрах | ||||
V | R | I | V | R | I | ||||
(2100) Ra-Shalom | 22.08.2022 | 74 | 74 | 78 | (161 989) Cacus | 15.08.2022 | 53 | 53 | 56 |
24.08.2022 | 74 | 72 | 76 | 18.08.2022 | 13 | 16 | 14 | ||
25.08.2022 | 64 | 66 | 65 | 19.08.2022 | 75 | 77 | 75 | ||
26.08.2022 | 69 | 66 | 72 | 21.08.2022 | 60 | 60 | 60 | ||
27.08.2022 | 44 | 45 | 43 | (226 554) 2003 WR21 | 29.12.2022 | − | 315 | − | |
28.08.2022 | 63 | 64 | 65 | 15.01.2023 | − | 92 | − | ||
29.08.2022 | 60 | 60 | 60 | (422 787) 2001 WS1 | 17.11.2022 | − | 462 | − | |
(4486) Mithra | 11.03.2023 | − | 211 | − | 18.11.2022 | 43 | 44 | 51 | |
12.03.2023 | 17 | 16 | 16 | 19.11.2022 | − | 145 | − | ||
14.03.2023 | − | 151 | − | 25.11.2022 | 22 | 25 | 23 | ||
15.03.2023 | 10 | 12 | 10 | 28.11.2022 | 31 | 47 | 30 | ||
18.03.2023 | 59 | 61 | 59 | 2008 TB27 | 13.12.2022 | − | 284 | − | |
30.03.2023 | 40 | 45 | 39 | 14.12.2022 | 14 | 14 | 15 | ||
(65 803) Didymos | 27.11.2022 | − | 187 | − | 21.12.2022 | − | 202 | − | |
28.11.2022 | − | 92 | − | 2023 DZ2 | 23.03.2023 | − | 16 | − | |
02.12.2022 | − | 196 | − | 24.03.2023 | − | 210 | − | ||
(98 943) 2001 CC21 | 20.01.2023 | − | 169 | − | |||||
16.01.2023 | − | 89 | − | ||||||
Таблица 3. Cведения о наблюдениях, выполненных на телескопе Цейсс-1000 в 2022 г.
Астероид | Дата наблюдений | Количество положений в фильтрах | Астероид | Дата наблюдений | Количество положений в фильтрах | ||||||
B | V | R | I | B | V | R | I | ||||
(2100) Ra-Shalom | 14.07.2022 | 7 | 7 | 7 | 7 | (161 989) Cacus | 20.08.2022 | 19 | 19 | 19 | 19 |
15.07.2022 | 10 | 10 | 10 | 10 | 21.08.2022 | 15 | 15 | 15 | 15 | ||
16.07.2022 | 11 | 11 | 11 | 11 | 22.08.2022 | 15 | 15 | 15 | 15 | ||
18.07.2022 | 9 | 9 | 9 | 9 | 23.08.2022 | 17 | 17 | 17 | 17 | ||
19.07.2022 | 10 | 10 | 10 | 10 | 27.08.2022 | 44 | 44 | 44 | 44 | ||
20.07.2022 | 10 | 10 | 10 | 10 | 28.08.2022 | 50 | 50 | 50 | 50 | ||
21.07.2022 | 10 | 10 | 10 | 10 | 29.08.2022 | 40 | 40 | 40 | 40 | ||
22.07.2022 | 13 | 13 | 13 | 13 | 30.08.2022 | 50 | 50 | 50 | 50 | ||
23.07.2022 | 12 | 12 | 12 | 12 | (560 563) 2015 HH10 | 14.07.2022 | 17 | 17 | 17 | 17 | |
24.07.2022 | 13 | 13 | 13 | 13 | 15.07.2022 | 30 | 30 | 30 | 30 | ||
(12 711) Tukmit | 20.08.2022 | 15 | 15 | 15 | 15 | 16.07.2022 | 30 | 30 | 30 | 30 | |
21.08.2022 | 20 | 20 | 20 | 20 | 17.07.2022 | 30 | 29 | 29 | 30 | ||
22.08.2022 | 20 | 20 | 20 | 20 | 18.07.2022 | 30 | 30 | 30 | 30 | ||
23.08.2022 | 20 | 20 | 20 | 20 | 19.07.2022 | 30 | 30 | 30 | 30 | ||
26.08.2022 | 8 | 8 | 7 | 7 | 20.07.2022 | 29 | 29 | 29 | 29 | ||
27.08.2022 | 19 | 19 | 19 | 19 | 21.07.2022 | 30 | 30 | 30 | 30 | ||
28.08.2022 | 20 | 20 | 20 | 20 | 22.07.2022 | 30 | 30 | 30 | 30 | ||
29.08.2022 | 24 | 24 | 24 | 24 | 23.07.2022 | 28 | 28 | 28 | 28 | ||
30.08.2022 | 20 | 20 | 20 | 20 | 24.07.2022 | 11 | 10 | 10 | 9 | ||
3. Определение улучшенных элементов орбит и оценка точности позиционных наблюдений
Для всех кадров, полученных на телескопе СБГ по программам позиционных и фотометрических наблюдений, выполнялась астрометрическая обработка. Использовалась программа IzmCCD1 [2]. По результатам позиционных наблюдений с помощью программного комплекса «ИДА» [3] было выполнено улучшение орбит астероидов, которые наблюдались на телескопе СБГ в 2022–2023 гг. На основе улучшенных элементов орбит были получены среднеквадратические ошибки разностей (O − C) экваториальных координат σα и σδ . Результаты даны в табл. 4, где σ — среднеквадратическая ошибка разностей (O − C) по всем использованным при улучшении орбиты наблюдениям. Точность определения координат, представленных в табл. 4 АСЗ по наблюдениями на телескопе СБГ, составляет: по прямому восхождению — 0.2ʺ, по склонению — 0.1ʺ–0.3ʺ, что достаточно для решения задачи оперативного сопровождения объектов.
Таблица 4. Улучшенные элементы орбит и оценки σα и σδ
АСЗ | Эпоха, JD | a, а. е. | e | i, град. | Ω, град. | g, град. | M0, град. | σ,״ | σα,״ | σδ,״ |
(2100) Ra-Shalom | 245 5677.5 | 0.83211 | 0.43649 | 8.24842 | 17.51070 | 149.88922 | 176.39828 | 0.33 | 0.17 | 0.14 |
(4486) Mithra | 245 2974.5 | 2.20410 | 0.66040 | 24.02257 | 7.40319 | 244.34005 | 16.02834 | 0.43 | 0.23 | 0.13 |
(98 943) 2001 CC21 | 245 4973.5 | 1.03242 | 0.21920 | 25.04686 | 11.05703 | 244.81460 | 237.81819 | 0.42 | 0.24 | 0.19 |
(161 989) Cacus | 245 9829.5 | 1.12286 | 0.21382 | 8.25270 | 99.79479 | 165.23706 | 59.97467 | 0.43 | 0.21 | 0.22 |
(226 554) 2003 WR21 | 245 9503.5 | 1.11851 | 0.26143 | 25.73242 | 21.72952 | 174.00804 | 288.99696 | 0.36 | 0.17 | 0.33 |
2001 WS1 | 245 9880.5 | 2.59072 | 0.61883 | 36.68601 | 0.49549 | 6.05528 | 4.86960 | 0.33 | 0.21 | 0.21 |
2008 TB27 | 245 9938.5 | 1.77277 | 0.36056 | 41.93063 | 293.29449 | 133.10707 | 5.74538 | 0.37 | 0.29 | 0.43 |
4. Определение периодов осевого вращения
Первоначальная обработка фотометрических наблюдений выполнялась с помощью программы AM:PM, разработанной в Коуровской астрономической обсерватории УрФУ [4]. Зависимость ошибок определения блеска рассматриваемых в настоящей статье АСЗ на телескопе СБГ от видимой звездной величины в фильтрах V и R представлена на рис. 1. Обычно фотометрические наблюдения на телескопе СБГ проводятся для объектов ярче 16.5m–17.0m, что обеспечивает точность определения звездной величины не хуже 0.05m. Черными точками на рис. 1 показаны стандартные отклонения для фотометрических наблюдений в фильтре R астероида 2023 DZ2, который прошел 25.03.2023 на минимальном геоцентрическом расстоянии около 175 000 км. Точность наблюдений, выполненных 23.03.2023 (блеск астероида около 15.5m–16.0m), соответствует точности фотометрических наблюдений других астероидов. На следующий день 24.03.2023, накануне максимального сближения с Землей, астероид имел высокую скорость видимого движения относительно звезд (более 30ʺ/мин), что привело к росту ошибок фотометрических наблюдений примерно на 0.01m, несмотря на увеличение блеска астероида до 13.7m–14.5m.
Рис. 1. Зависимость ошибки фотометрических наблюдений АСЗ на телескопе СБГ от видимой звездной величины в фильтрах V (зеленые точки) и R (красные точки). Черные точки соответствуют астероиду 2023 DZ2, наблюдавшемуся в фильтре R.
На рис. 2 приведены ошибки фотометрии АСЗ, наблюдавшихся на телескопе Цейсс-1000 в фильтрах B, V, R, I, в зависимости от звездной величины. Дискретность приведенных на рис. 2 данных связана с тем, что оценки звездной величины были получены с точностью 0.001m. Ошибки фотометрических наблюдений АСЗ, имеющих блеск 17.0m–17.5m, на телескопе Цейсс-1000 в фильтрах R и V, как правило, не превышают 0.040m–0.045m.
Рис. 2. Зависимость ошибок фотометрических наблюдений АСЗ на телескопе СБГ от видимой звездной величины в фильтрах B (синие точки), V (зеленые точки), R (красные точки) и I (малиновые точки).
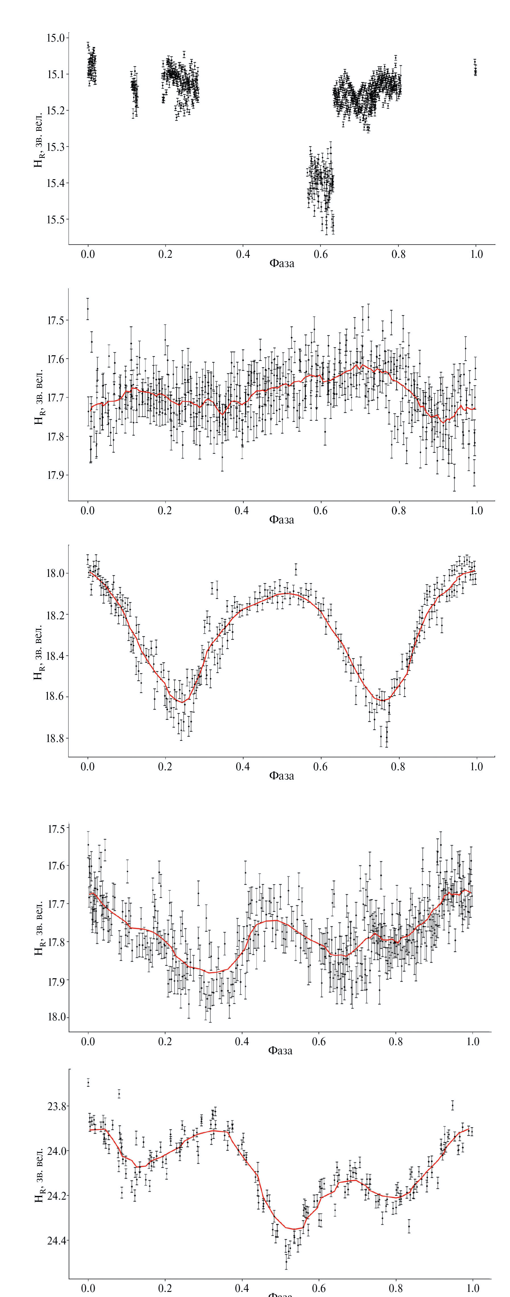
Для определения периодов вращения астероидов по фазовым кривым блеска, звездные величины в различных фильтрах были приведены к фильтру R. При построении фазовых кривых блеска для учета зависимости блеска астероида от фазового угла определялись параметры двух- или трехпараметрических моделей с использованием онлайн-калькулятора Online calculator for H, G1, G2 photometric system[2] [5–7]. Построение фазовых кривых блеска и оценка периода P осевого вращения выполнялись в онлайн-системе Period search service[3] методом Лафлера-Кинмана [8]. Примеры фазовых кривых блеска показаны на рис. 3–5. По оси ординат приведены значения HR — абсолютные звездные величины в фильтре R.
Рис. 3. Фазовые кривые блеска астероидов, наблюдавшихся на телескопе СБГ: (4486) Mithra (a), (65 803) Didymos (b), (98 943) 2001 CC21 (c), 2008 TB27 (d), и 2023 DZ2 (e). Красная линия — скользящее среднее.
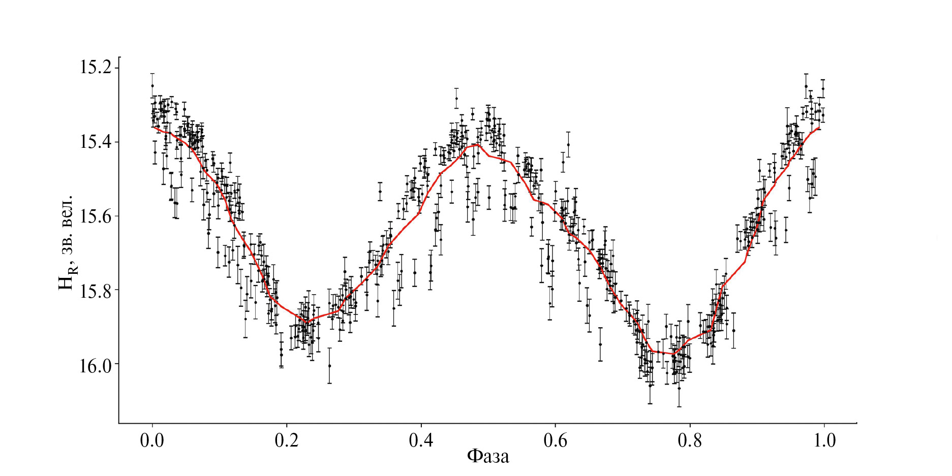
Рис. 4. Фазовая кривая блеска астероида (12 711) Tukmit по наблюдениям на телескопе Цейсс-1000. Красная линия — скользящее среднее.
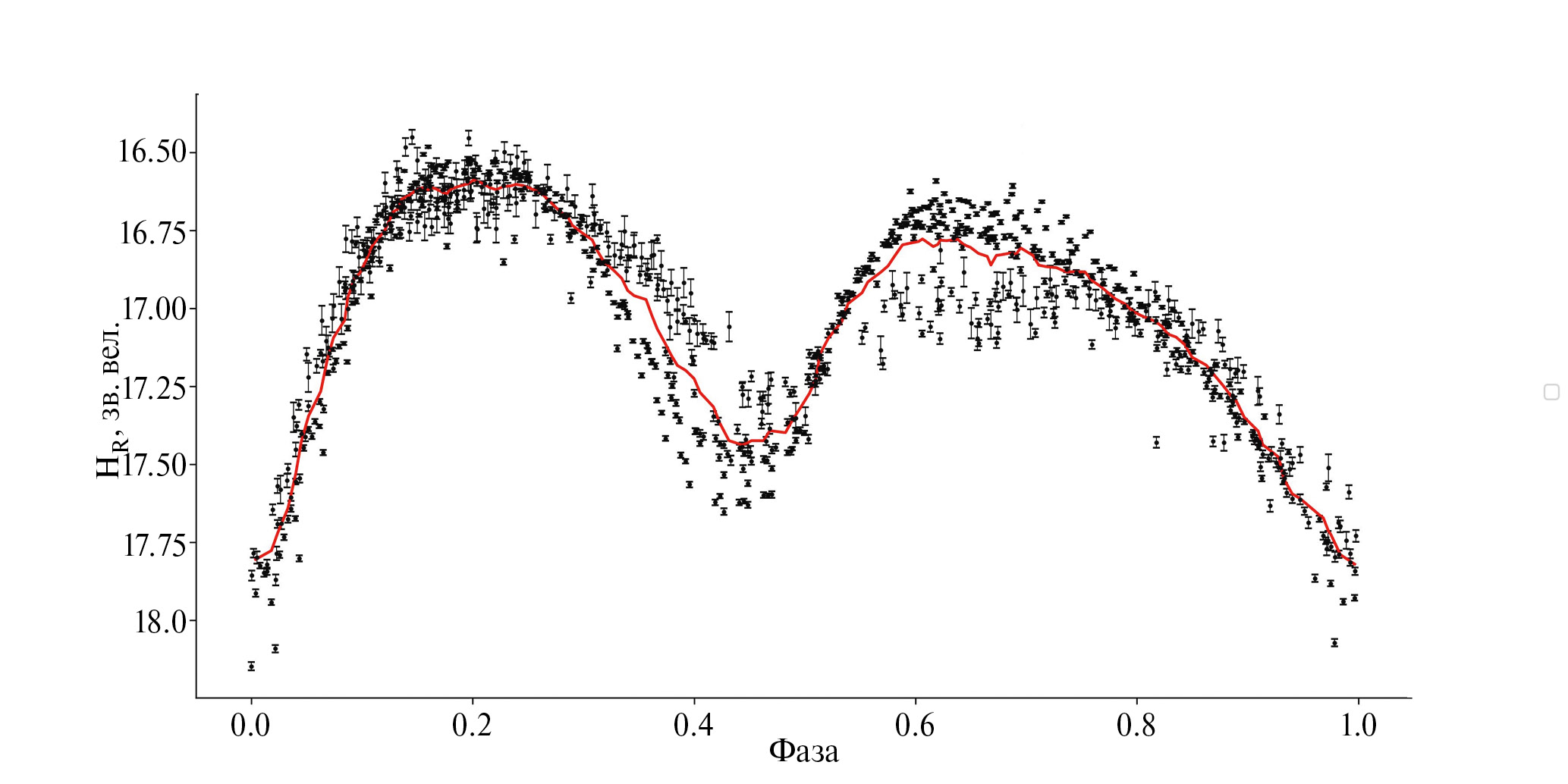
Рис. 5. Фазовая кривая блеска астероида (161 989) Cacus по наблюдениям на телескопах СБГ и Цейсс-1000. Красная линия — скользящее среднее.
Оценки периодов P осевого вращения астероидов приведены в табл. 5. Результаты согласуются с данными о периодах P0 вращения астероидов, содержащимися в базе данных фотометрических кривых блеска астероидов Центра малых планет (ALCDEF4), в пределах ошибок определения. Для большинства астероидов периоды согласуются в пределах стандартного отклонения σ. Как видно из рис. 3а, ввиду большого периода осевого вращения астероида (4486) Mithra —более 2.7 суток (см. табл. 5), не удалось охватить наблюдениями все фазы кривой блеска. Однако, благодаря тому, что наблюдался один из минимумов блеска, полученная оценка периода осевого вращения, P = 65.8 ± 4.7 часа, согласуется с найденным ранее в работе [10] периодом P = 67.5 ± 6 часа. Для астероида (98 943) 2001 CC21 наблюдается соответствие периодов в пределах 2σ. Период вращения астероида (161 989) Cacus оценивался на основе совместного анализа наблюдений, выполненных на телескопах СБГ и Цейсс-1000 (см. рис. 5). Оценка периода вращения для астероида 2008 TB27 получена впервые.
Таблица 5. Периоды осевого вращения астероидов
АСЗ | P, часы | P0, часы | Источник |
СБГ и Цейсс-1000 | |||
(161989) Cacus | 3.752 ± 0.019 | 3.755067 ± 0.000002 | [9] |
СБГ | |||
(4486) Mithra (65803) Didymos (98943) 2001 CC21 | 65.8 ± 4.7 2.265 ± 0.020 5.205 ± 0.021 | 67.5 ± 6 2.2593 ± 0.0002 5.0159 ± 0.0006 | [10] [11] [12] |
2008 TB27 | 6.05 ± 0.09 | ||
2023 DZ2 | 0.10458 ± 0.00019 | 0.1045748 ± 6 × 10−7 | ALCDEF |
Цейсс-1000 | |||
(12711) Tukmit | 3.485 ± 0.025 | 3.483 ± 0.001 | [13] |
5. Определение показателей цвета
В табл. 6 приведены оценки показателей цвета астероидов по результатам наблюдений на телескопах СБГ и Цейсс-1000. Показатели цвета V − R, V − I и R − I для астероидов (2100) Ra-Shalom и (161 989) Cacus получены в ходе совместного анализа наблюдений, выполненных на телескопах СБГ и Цейсс-1000. Полужирным шрифтом выделены названия астероидов, для которых показатели цвета определены впервые. В том случае, если имеются оценки показателей цвета, полученные другими авторами, они также приведены в табл. 6. В большинстве случаев вычисленные показатели цвета в пределах ошибок совпадают со значениями из базы ALCDEF. Рассмотрим отдельные случаи.
Таблица 6. Показатели цвета астероидов
B − V | B − R | V − R | V − I | R − I | Источник |
(2100) Ra-Shalom | |||||
0.365 ± 0.021 | 0.783 ± 0.024 | 0.418 ± 0.023 | СБГ, Цейсс-1000 | ||
0.798 ± 0.054 | 1.126 ± 0.051 | Цейсс-1000 | |||
0.398 ± 0.010 | [9] | ||||
0.719 ± 0.012 | 0.449 ± 0.009 | 0.759 ± 0.017 | [14] | ||
0.75 ± 0.05 | 0.40 ± 0.02 | [15] | |||
(12 711) Tukmit | |||||
0.804 ± 0.068 | 1.227 ± 0.066 | 0.423 ± 0.052 | 0.900 ± 0.063 | 0.472 ± 0.057 | Цейсс-1000 |
(4486) Mithra | |||||
0.455 ± 0.020 | 0.769 ± 0.026 | 0.314 ± 0.023 | СБГ | ||
0.814 ± 0.14 | 0.428 ± 0.10 | 0.699 ± 0.16 | [16] | ||
(161 989) Cacus | |||||
0.501 ± 0.040 | 0.917 ± 0.042 | 0.420 ± 0.040 | СБГ, Цейсс-1000 | ||
1.065 ± 0.029 | 1.598 ± 0.026 | Цейсс-1000 | |||
0.486 ± 0.015 | [9] | ||||
(422 787) 2001 WS1 | |||||
0.430 ± 0.071 | 0.884 ± 0.076 | 0.45 ± 0.11 | СБГ | ||
(560 563) 2015 HH10 | |||||
0.958 ± 0.057 | 1.486 ± 0.053 | 0.527 ± 0.036 | 0.805 ± 0.046 | 0.278 ± 0.042 | Цейсс-1000 |
Для астероида (2100) Ra-Shalom имеется несколько оценок показателей цвета [9, 14, 15]. Сравнение этих оценок с полученными на телескопах СБГ и Цейсс-1000 показывает, что показатели цвета согласуются в пределах двух стандартных отклонений σ.
Показатели цвета астероида (4486) Mithra, полученные на телескопе СБГ и в работе [16], согласуются в пределах стандартных отклонений.
Для астероида (161 989) Cacus оценка показателя цвета V − R, полученная в результате совместной обработки наблюдений на телескопах СБГ и Цейсс-1000, согласуется с результатом работы [9] в пределах стандартного отклонения.
Для астероидов (12 711) Tukmit, (422 787) 2001 WS1 и (560 563) 2015 HH10 оценки показателей цвета в базе ALCDEF отсутствуют.
6. Заключение
Полученные результаты показывают, что наблюдения на телескопах СБГ Коуровской астрономической обсерватории УрФУ и Цейсс-1000 ИНАСАН дополняют друг друга и позволяют определять как динамические, так и физические характеристики АСЗ. Телескоп СБГ ориентирован на позиционные наблюдения АСЗ, а также на фотометрические с целью определения периодов вращения АСЗ и показателей цвета V − R, V − I, R − I. Получение улучшенных элементов орбит дает возможность проведения детальных исследований орбитальной эволюции АСЗ.
Многоцветная фотометрия на телескопе Цейсс-1000 позволяет получать надежные оценки нескольких показателей цвета. Различия в оценках показателей цвета, в частности V − R, получаемых на разных телескопах, а также разными авторами, указывают на актуальность проведения многоцветной фотометрии АСЗ.
Полученные в настоящей работе результаты показывают возможности телескопа СБГ Коуровской астрономической обсерватории и телескопа Цейсс-1000 ИНАСАН при оперативном сопровождении и характеризации АСЗ. Точность позиционных наблюдений АСЗ на телескопе СБГ обеспечивает построение улучшенных орбит АСЗ. Многоцветные фотометрические наблюдения на телескопах СБГ и Цейсс-1000 позволяют надежно определять периоды осевого вращения АСЗ и их показатели цвета. Учитывая относительно короткие интервалы времени, в течение которых АСЗ доступны наблюдениям, в настоящей работе удалось получить первые оценки периода вращения астероида 2008 TB27 и показателей цвета АСЗ (12 711) Tukmit, (422 787) 2001 WS1, (560 563) 2015 HH10.
Финансирование
Работа выполнена при поддержке Министерства науки и высшего образования Российской Федерации, темы: FEUZ-2023-0019 (проведение наблюдений на телескопе СБГ и их обработка), FEUZ-2020-0038 (проведение наблюдений на телескопе Цейсс-1000 и их обработка).
Благодарности
При выполнении наблюдений использовались телескопы: СБГ, входящий в УНУ «Коуровская астрономическая обсерватория», и Цейсс-1000, входящий в состав научного оборудования ЦКП «Терскольская обсерватория» ИНАСАН.
1 http://izmccd.puldb.ru/
2 http://h152.it.helsinki.fi/HG1G2/
3 http://scan.sai.msu.ru/lk/
4 https://alcdef.org/
About the authors
Е. D. Kuznetsov
Ural Federal University
Author for correspondence.
Email: eduard.kuznetsov@urfu.ru
Russian Federation, Yekaterinburg
Yu. Z. Wiebe
Ural Federal University
Email: julia.vibe@urfu.ru
Russian Federation, Yekaterinburg
D. V. Glamazda
Ural Federal University
Email: antimuon@mail.ru
Russian Federation, Yekaterinburg
G. T. Kaiser
Ural Federal University
Email: galina.kaiser@urfu.ru
Russian Federation, Yekaterinburg
V. V. Krushinsky
Ural Federal University
Email: vadim.krushinsky@urfu.ru
Russian Federation, Yekaterinburg
M. S. Kryuchkov
Institute of Astronomy of the Russian Academy of Sciences
Email: snaroenkov@gmail.com
Russian Federation, Moscow
S. А. Naroenkov
Institute of Astronomy of the Russian Academy of Sciences
Email: snaroenkov@gmail.com
Russian Federation, Moscow
A. S. Perminov
Ural Federal University
Email: alexander.perminov@urfu.ru
Russian Federation, Yekaterinburg
References
- Э. Д. Кузнецов, Ю. З. Вибе, Д. В. Гламазда, Г. Т. Кайзер, и др. Научные труды Ин-та астрономии РАН 7(1), 62 (2022).
- I. S. Izmailov, M. L. Khovricheva, M. Yu. Khovrichev, O. V. Kiyaeva, et al., Astron. Letters 36(5), 349 (2010).
- T. Y. Galushina, L. E. Bykova, O. N. Letner, and A. P. Baturin, Astron. and Comput. 29, id. 100301 (2019).
- В. В. Крушинский, Физика Космоса, Тр. 47-й Международной студенческой научной конференции, Екатеринбург, 29 января–2 февраля 2018 г.; ред. Э. Д. Кузнецов, Д. З. Вибе, А. Б. Островский, С. В. Салий, А. М. Соболев, К. В. Холшевников, Б. М. Шустов (Екатеринбург: Изд-во Урал. ун-та, 2018), с. 205.
- K. Muinonen, I. N. Belskaya, A. Cellino, M. Delbò, A.-C. Levasseur-Regourd, A. Penttilä, and E. F. Tedesco, Icarus 209(2), 542 (2010).
- D. A. Oszkiewicz, K. Muinonen, E. Bowell, D. Trilling, A. Penttilä, T. Pieniluoma, L. H. Wasserman, and M.-T. Enga, J. Quant. Spectroscop. Radiative Transfer 112(11), 1919 (2011).
- Penttilä, V. G. Shevchenko, O. Wilkman, and K. Muinonen, Planet. Space Sci. 123, 117 (2016).
- J. Lafler and T. D. Kinman, Astrophys. J. Suppl. 11, 216 (1965).
- J.Ďurech, D. Vokrouhlickу, P. Pravec, J. Hanuš, et al., Astron. and Astrophys. 609, id. A86 (2018).
- M. Brozovic, L. A. M. Benner, C. Magri, S. J. Ostro, et al., Icarus 208(1), 207 (2010).
- P. Pravec, P. Scheirich, P. Kušnirák, L. Šarounová, et al., Icarus 181(1), 63 (2006).
- B. D. Warner, Minor Planet Bull. 50(3), 217 (2023).
- B. D. Warner and R. D. Stephens, Minor Planet Bull. 49(2), 83 (2022).
- C.-H. Lin, W.-H. Ip, Z.-Y. Lin, Y.-C. Cheng, H.-W. Lin, and C.-K. Chang, Planet. Space Sci 152, 116 (2018).
- С. Х. Абдуллоев, Н. Н. Киселев, Ш. Ш. Шамсиддинов, Астрон. вестн. 55(5), 403 (2021).
- M. Hicks, K. Lawrence, J. Somers, and A. McAuley, Astron. Telegram № 2488, 1 (2010).
Supplementary files







