Is the young star association ε Cha double?
- Authors: Bobylev V.V.1, Bajkova A.T.1
-
Affiliations:
- Central Astronomical Observatory of the Russian Academy of Sciences
- Issue: Vol 101, No 3 (2024)
- Pages: 222-232
- Section: Articles
- URL: https://journals.rcsi.science/0004-6299/article/view/264786
- DOI: https://doi.org/10.31857/S0004629924030039
- EDN: https://elibrary.ru/KJVOVD
- ID: 264786
Cite item
Full Text
Abstract
The kinematics of the ε Cha young stellar association close to the Sun has been studied based on a list of candidate stars from the Dickson-Vandervelde work. The working sample consists of 26 stars with parallaxes, proper motions from the Gaia DR3 catalog and radial velocities taken from literary sources. The orbits of the stars back to the past were constructed, and the moment when the association had a minimum spatial size was determined, as well as an analysis of the dependencies of the velocities U, V, W on the coordinates x, y, z was carried out. It is shown that the initial sample is divided into two parts with different kinematic properties. The first sample included 9 stars. Based on the construction of the orbits of these 9 stars, an age estimate of t = 4.9 ± 0.8 million years was obtained. An expansion coefficient in the xz plane with the value Kxz = 135±19 km/s/kpc was also found for them, on the basis of which another age estimate t = 7.2 ± 1.0 million years was obtained. The second sample included 17 stars. The construction of their orbits gave an estimate of age t = 0.2 ± 0.3 million years, and based on the gradient dW/dz = 707 ± 248 km/s/kpc, a second estimate of their age t = 1.4 ± 0.5 million years was obtained. This suggests that the ε Cha association either consists of two groupings of different ages, or a younger one arose as a result of a recent outbreak of star formation within a common star system. The question of the gravitational connection of the groupings has not been considered in the framework of this work.
Full Text
ВВЕДЕНИЕ
Около Солнца известен целый ряд небольших ассоциаций и компактных движущихся групп, состоящих из очень молодых (менее примерно 10 млн лет) звезд. Например, β Pic, TW Hya, η Cha, ε Cha, которые расположены в четвертом галактическом квадранте и тесно связаны [2] с обширной OB-ассоциацией Sco-Cen.
Предметом исследования настоящей работы является компактная звездная ассоциация ε Cha, которую иногда обозначают и как молодое рассеянное звездное скопление Feigelson 1. Собственно звезда ε Cha является визуально-двойной (WDS J11596–7813AB) c главным компонентом спектрального класса B9V. Остальные члены ассоциации являются, как правило, маломассивными звездами типа Т Тельца. Изучению ассоциации ε Cha посвящено большое количество публикаций, где авторов интересует звездный состав, кинематика, а также фотометрические и спектральные характеристики членов и кандидатов в члены ассоциации [1–12].
Уже в работе [2] на основе интегрирования назад в прошлое было показано общее происхождение таких структур как LCC (Lower Centaurus Crux), UCL (Upper Centaurus Lupus), US (Upper Scorpius), TW Hya, h Cha и ε Cha в момент времени около –10 млн лет. При этом для вычисления средней траектории ассоциации ε Cha были использованы лишь 4 звезды. Также с применением метода интегрирования орбит по небольшому количеству звезд-членов ассоциаций h Cha и ε Cha в работе [5] была получена оценка их возраста — 6.7 млн лет.
Благодаря работам [1, 3–9] количество вероятных членов ассоциации ε Cha существенно увеличилось. Это дало, например, возможность оценивать возраст ассоциации путем подгонки к подходящей теоретической изохроне с использованием большого количества звезд. Так, с использованием фотометрических данных из каталога Gaia DR2 [13] для более чем 20 звезд в недавней работе [1] этим методом была получена оценка 5-2+3 млн лет.
Звезды ассоциации ε Cha находятся от Солнца в среднем на расстоянии 102 пк. Из-за близости к Солнцу для исследования этой ассоциации доступны многие кинематические и фотометрические параметры, измеренные с высокой точностью. Практически для всех звезд-кандидатов известны тригонометрические параллаксы из каталога Gaia DR3 [14], полученные с относительными ошибками менее 5%.
Для вычисления пространственных скоростей звезд важны измерения их лучевых скоростей. Несмотря на наличие лучевых скоростей в каталоге Gaia DR3, в настоящее время остается актуальным использование более точных значений лучевых скоростей звезд, полученных в результате наземных наблюдений. Тем более это актуально при наличии большого процента двойных в ассоциации ε Cha (40% согласно [1]). Для этой цели привлекались индивидуальные спектроскопические измерения отдельных звезд-членов ассоциации ε Cha. В ряде случаев [11] использовались обширные каталоги лучевых скоростей, например, RAVE (The Radial Velocity Experiment [15]). Большая база данных о звездах ассоциации ε Cha, которая включает измерения их тригонометрических параллаксов, собственных движений и лучевых скоростей, создана в работе [1].
Молодость ассоциации ε Cha и близость ее к Солнцу позволяет выполнять уникальные работы, например, осуществлять прямыми телескопическими наблюдениями поиск звезд с протопланетными дисками [12], поиск маломассивных коричневых карликов низкой светимости и др.
Целью настоящей работы является изучение кинематики ассоциации ε Cha и кинематическая оценка ее возраста. Метод заключается в построении орбит звезд в прошлом на заданном временном интервале и оценке того момента, когда звездная группировка имела минимальный пространственный размер. Интересно также оценить кинематический возраст на основе эффекта расширения ассоциации.
МЕТОДЫ
Используем прямоугольную систему координат с центром в Солнце, где ось x направлена в сторону галактического центра, ось y — в сторону галактического вращения и ось z — в северный полюс Галактики. Тогда
где r = 1/π — гелиоцентрическое расстояние звезды в кпк, которое мы вычисляем через тригонометрический параллакс звезды p в мсд (миллисекунды дуги).
Из наблюдений известны лучевая скорость Vr и две проекции тангенциальной скорости Vl = 4.74rml cos b и Vb = 4.74rmb, направленные вдоль галактической долготы l и широты b соответственно, выраженные в км/с. Здесь коэффициент 4.74 является отношением числа километров в астрономической единице к числу секунд в тропическом году. Компоненты собственного движения ml cos b и mb выражены в мсд/год.
Через компоненты Vr,Vl,Vb вычисляются скорости U,V,W, где скорость U направлена от Солнца к центру Галактики, V — в направлении вращения Галактики и W — на северный галактический полюс:
(1)
Таким образом скорости U,V,W направлены вдоль соответствующих координатных осей x,y,z.
2.1. Построение орбит звезд
Для построения орбит звезд в системе координат, вращающейся вокруг центра Галактики, используем эпициклическое приближение [16]:
(2)
где t — время в млн лет (исходим из соотношения 1 пк/1 млн лет = 0.978 км/с), A и B — постоянные Оорта; — эпициклическая частота; Ω0 — угловая скорость галактического вращения местного стандарта покоя, Ω0 = A – B; — частота вертикальных колебаний, где G — гравитационная постоянная, а ρ0 — звездная плотность в околосолнечной окрестности.
Параметры x0, y0, z0 и U0, V0, W0 в системе уравнений (2) обозначают современные положения и скорости звезд соответственно. Возвышение Солнца над галактической плоскостью ho принято равным 16 пк согласно работе [17]. Скорости U,V,W вычисляем относительно местного стандарта покоя с использованием значений (Uo,Vo,Wo) = (11.1, 12.2, 7,3) км/с, полученных Шонрихом и др. [18]. Мы приняли ρ0 = 0.1Mo/ пк3 [19], что дает n = 74 км/с/кпк. Используем следующие значения постоянных Оорта: A = 16.9 км/с/кпк и B = –13.5 км/с/кпк, близкие к современным оценкам. Обзор таких оценок можно найти, например, в работе [20].
Система уравнений (2) позволяет вычислить положение звезды на каждый заданный момент времени. Значения всех констант определены, решение находится путем подстановки момента времени.
2.2. Анализ мгновенных скоростей звезд
Согласно линейной модели Огородникова–Милна [21], в предположении о том, что пекулярная скорость Солнца (U,V,W )o исключена или равна нулю, скорости U,V,W можно представить в виде следующей системы линейных уравнений:
(3)
Здесь нижний индекс «0» означает, что производные взяты в начале системы координат. Отметим, что все девять градиентов, участвующие в системе уравнений (3), можно найти графически.
По трем диагональным градиентам из правых частей системы уравнений (3) можно найти параметры расширения звездной системы Kxy, Kxz и Kyz в трех соответствующих плоскостях:
(4)
Коэффициенты Kxy, Kxz и Kyz, имеющие размерность угловой скорости, представляют важное значение для оценки времени, прошедшего с начала расширения звездной системы.
РЕЗУЛЬТАТЫ И ОБСУЖДЕНИЕ
Основу нашей выборки составляют звезды ассоциации ε Cha из списка [1]. Эти авторы изучили кинематические свойства ассоциации с использованием данных из каталога Gaia DR2. В настоящей работе мы снабдили звезды из списка [1] данными из версии Gaia DR3 [14]. Отметим, что в выборку не вошли несколько двойных систем из списка [1], для которых отсутствуют измерения в каталоге [14]. Таким образом в нашей рабочей выборке содержится 26 звезд, отмеченных индексом «M» (member) в работе [1].
Исходные данные об отобранных 26 звездах ассоциации ε Cha содержатся в табл. 1 и 2. Как видно из табл. 2, значения лучевых скоростей из каталога Gaia DR3, измеренные обычно с большими ошибками по сравнению с наземными измерениями, имеются не для всех отобранных звезд. Библиографические ссылки на наземные измерения лучевых скоростей даны в работе [1].
Таблица 1. Исходные данные о звездах ассоциации ε Cha
Название | α, град | δ, град | π ± σ, мсд | μαcos δ ± σ, мсд | μδ ± σ, мсд |
CP-68 1388 | 164.46 | –69.23 | 8.64 ± 0.01 | –34.81 ± 0.01 | 3.79 ± 0.01 |
MP Mus | 200.53 | –69.64 | 10.22 ± 0.01 | –38.35 ± 0.01 | –20.00 ± 0.01 |
RX J1147.7-7842 | 176.95 | –78.70 | 9.91 ± 0.02 | –41.27 ± 0.03 | –3.81 ± 0.03 |
RX J1149.8-7850 | 177.38 | –78.85 | 9.94 ± 0.02 | – 42.03 ± 0.03 | –4.00 ± 0.02 |
T Cha | 179.31 | –79.36 | 9.74 ± 0.03 | –41.59 ± 0.04 | –8.65 ± 0.03 |
HD 104036 | 179.65 | –77.83 | 9.54 ± 0.03 | –41.23 ± 0.03 | –7.73 ± 0.03 |
RX J1159.7-7601 | 179.93 | –76.02 | 10.09 ± 0.01 | –41.03 ± 0.01 | –6.02 ± 0.01 |
HD 104467 | 180.41 | –78.99 | 10.18 ± 0.12 | –42.11 ± 0.14 | –5.05 ± 0.12 |
RX J1202.1-7853 | 180.51 | –78.88 | 10.18 ± 0.06 | – 43.79 ± 0.07 | –4.61 ± 0.06 |
RX J1204.6-7731 | 181.15 | –77.53 | 9.91 ± 0.02 | –41.45 ± 0.02 | –6.22 ± 0.02 |
RX J1207.7-7953 | 181.95 | –79.88 | 10.01 ± 0.01 | –42.10 ± 0.01 | –7.24 ± 0.01 |
HD 105923 | 182.91 | –71.18 | 9.47 ± 0.01 | –38.78 ± 0.01 | –7.34 ± 0.01 |
RX J1216.8-7753 | 184.19 | –77.89 | 9.82 ± 0.02 | –39.98 ± 0.02 | –9.05 ± 0.02 |
RX J1219.7-7403 | 184.93 | –74.07 | 9.92 ± 0.01 | –40.35 ± 0.01 | –9.14 ± 0.01 |
MASS J12210499-7116493 | 185.27 | –71.28 | 10.06 ± 0.01 | – 40.56 ± 0.01 | –9.65 ± 0.02 |
RX J1239.4-7502 | 189.84 | –75.04 | 9.70 ± 0.01 | – 38.30 ± 0.01 | –12.21 ± 0.01 |
CD-69 1055 | 194.61 | –70.48 | 10.51 ± 0.01 | –41.13 ± 0.01 | –16.48 ± 0.01 |
RX J1158.5-7754A | 179.62 | –77.91 | 9.35 ± 0.08 | –40.95 ± 0.09 | –10.58 ± 0.11 |
RX J1150.9-7411 | 177.69 | –74.19 | 9.44 ± 0.03 | –38.28 ± 0.04 | –3.82 ± 0.05 |
CXOU J115908.2-781232 | 179.78 | –78.21 | 9.41 ± 0.03 | – 38.95 ± 0.03 | –5.48 ± 0.03 |
MASS J12005517-7820296 | 180.23 | –78.34 | 9.73 ± 0.04 | – 40.75 ± 0.04 | – 5.04 ± 0.04 |
MASS J12014343-7835472 | 180.43 | –78.60 | 9.55 ± 0.07 | – 40.39 ± 0.08 | –6.21 ± 0.08 |
CXOU J120152.8-781840 | 180.47 | –78.31 | 9.77 ± 0.03 | –40.90 ± 0.03 | –7.03 ± 0.03 |
RX J1202.8-7718 | 180.73 | –77.31 | 9.61 ± 0.01 | –39.34 ± 0.02 | –6.12 ± 0.02 |
USNO–B 120144.7-781926 | 180.43 | –78.32 | 9.79 ± 0.03 | – 41.85 ± 0.04 | –6.13 ± 0.04 |
HD 104237A | 180.02 | –78.19 | 9.38 ± 0.04 | – 39.28 ± 0.05 | –5.78 ± 0.05 |
Таблица 2. Лучевые скорости звезд ассоциации ε Cha
Название | α, град | δ, град | Vr ± σ, км/с | (Vr ± σ)G, км/с |
CP–68 1388 | 164.46 | –69.23 | 15.90 ± 1.00 | 15.69 ± 0.63 |
MP Mus | 200.53 | –69.64 | 11.60 ± 0.20 | 7.20 ± 1.65 |
RX J1147.7–7842 | 176.95 | –78.70 | 16.10 ± 0.90 | 18.52 ± 3.40 |
RX J1149.8–7850 | 177.38 | –78.85 | 13.40 ± 1.30 | 14.56 ± 1.60 |
T Cha | 179.31 | –76.36 | 18.00 ± 2.00 | 17.31 ± 2.63 |
HD 104036 | 179.65 | –77.83 | 12.60 ± 0.50 | 13.55 ± 0.61 |
RX J1159.7–7601 | 179.93 | –76.02 | 13.00 ± 3.70 | 12.68 ± 0.61 |
HD 104467 | 180.41 | –78.99 | 12.81 ± 0.96 | 13.10 ± 0.81 |
RX J1202.1–7853 | 180.51 | –78.88 | 17.10 ± 0.20 | 13.91 ± 1.62 |
RX J1204.6–7731 | 181.15 | –77.53 | 10.40 ± 2.00 | 12.96 ± 4.45 |
RX J1207.7–7953 | 181.95 | –79.88 | 15.00 ± 0.70 | 13.71 ± 2.77 |
HD 105923 | 182.91 | –71.18 | 14.34 ± 1.06 | 14.26 ± 0.69 |
RX J1216.8–7753 | 184.19 | –77.89 | 14.00 ± 2.00 | 13.28 ± 7.23 |
RX J1219.7–7403 | 184.93 | –74.07 | 13.86 ± 1.89 | 13.74 ± 1.49 |
MASS J12210499–71164 | 185.27 | –71.28 | 11.44 ± 2.53 | 11.56 ± 0.68 |
RX J1239.4–7502 | 189.84 | –75.04 | 13.62 ± 2.80 | 12.66 ± 0.59 |
CD–69 1055 | 194.61 | –70.48 | 11.18 ± 1.67 | 10.68 ± 1.00 |
RX J1158.5–7754A | 179.62 | –77.91 | 14.02 ± 1.82 | 10.25 ± 1.26 |
RX J1150.9–7411 | 177.69 | –74.19 | 15.00 ± 1.20 | |
CXOU J115908.2–781232 | 179.78 | –78.21 | 15.10 ± 0.20 | |
MASS J12005517–78202 | 180.23 | –78.34 | 10.70 ± 1.30 | |
MASS J12014343–78354 | 180.43 | –78.60 | 20.00 ± 0.60 | |
CXOU J120152.8–781840 | 180.47 | –78.31 | 16.50 ± 1.10 | |
RX J1202.8–7718 | 180.73 | –77.31 | 14.40 ± 0.60 | |
USNO–B 120144.7–78192 | 180.43 | –78.32 | 14.90 ± 1.10 | |
HD 104237A | 180.02 | –78.19 | 13.52 ± 0.39 |
Примечание. (Vr ± σ)G — лучевые скорости звезд из каталога Gaia DR3.
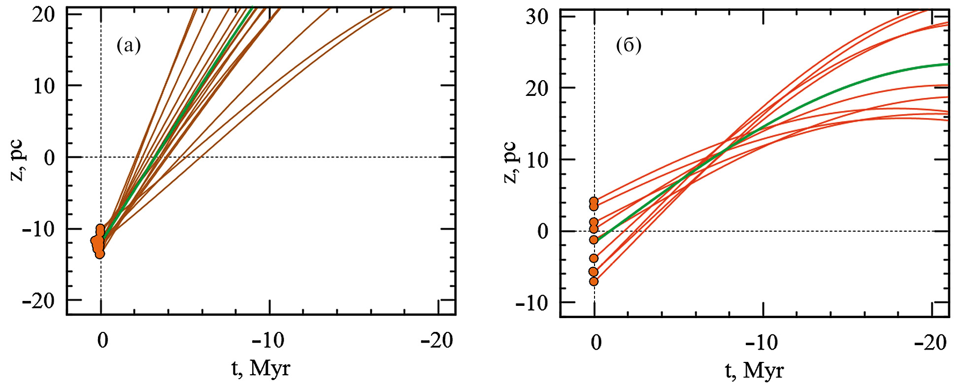
На рис. 1 даны современные положения 26 звезд ассоциации ε Cha и их траектории, построенные назад в прошлое. Дана также траектория кинематического центра ассоциации. Чтобы задать траекторию кинематического центра, были вычислены средние положения и скорости звезд x0, y0, z0 и U0, V0, W0. В итоге по 26 звездам были вычислены следующие значения: x0 = 50.2 пк, y0 = –85.8 пк и z0 = –24.4 пк, а также U0 = –10.11 км/с, V0 = –19.90 км/с и W0 = –10.18 км/с.
Рис. 1. Распределение 26 звезд ассоциации ε Cha в проекции на галактическую плоскость xy и их траектории (a), вертикальное распределение и их траектории, прослеженные назад в прошлое на интервале 30 млн лет (б). Траектория кинематического центра ассоциации показана красным цветом
С использованием разностей (между звездой и кинематическим центром) координат Dx, Dy, Dz на каждый момент интегрирования для каждой звезды вычисляем значение параметра q следующего вида:
, (5)
которое характеризует отклонение звезды от траектории кинематического центра. Отметим, что траектории звезд вычислены с учетом возвышения Солнца над галактической плоскостью. Таким образом на всех наших рисунках (с траекториями звезд) координата z отражает положение звезд относительно плоскости Галактики.
На рис. 2 для каждой звезды дана зависимость параметра q от времени на интервале интегрирования 10 млн лет. Видно, что размер звездной группировки 10 млн лет в прошлом имел существенно больший пространственный размер по сравнению с настоящим. Однако по положению минимума красной кривой мы должны были бы заключить, что кинематический возраст ассоциации ε Cha составляет около 1 млн лет, что сильно отличается от известных оценок, полученных другими методами.
Рис. 2. Отклонения от траектории кинематического центра (параметр q) на интервале интегрирования 10 млн лет для 26 звезд ассоциации ε Cha. Красным цветом показаны усредненные значения и соответствующие дисперсии
На рис. 3 даны зависимости скоростей U, V и W от координаты z для 26 звезд ассоциации ε Cha. На всех трех панелях хорошо видны два сгущения звезд, которые разделены границей z = –25 пк. Особенно отчетливо они видны на рис. 3(в).
Рис. 3. Зависимости скоростей U (a), V (б) и W (в) от координаты z для 26 звезд ассоциации ε Cha
Поэтому далее было решено каждое сгущение проанализировать в отдельности. С использованием всего лишь одного граничного условия z = –25 пк были получены две выборки. Выборка, отобранная при условии z > -25 пк содержит 9 звезд, а отобранная при условии z < -25 пк содержит 17 звезд. Как оказалось, эти выборки имеют сильно различающиеся кинематические свойства.
При условии z > -25 пк были отобраны следующие 9 звезд:
CP–68 1388, | MP Mus, | RX J1159.7–7601, |
HD 105923, | RX J1219.7–7403, | 2MASS J12210499–7116493, |
RX J1239.4–7502, | CD–69 1055, | RX J1150.9–7411. |
А при условии z < -25 пк были отобраны следующие 17 звезд:
RX J1147.7–7842, | RX J1149.8–7850, | T Cha, |
HD 104036, | HD 104467, | RX J1202.1–7853, |
RX J1204.6–7731, | RX J1207.7–7953, | RX J1216.8–7753, |
RX J1158.5–7754A, | CXOU J115908.2–781232, | 2MASS J12005517–78202, |
MASS J12014343–78354, | CXOU J120152.8–781840, | RX J1202.8–7718, |
USNO–B 120144.7–78192, | HD 104237A. |
На рис. 4 дано вертикальное распределение звезд двух выборок и траектории их кинематических центров, вычисленные по звездам каждой выборки. На панели (a) хорошо видно, что звезды совсем недавно (~1 млн лет назад) сошлись вместе, а вот звезды на панели (б) занимали минимальный размер, по крайней мере, вдоль оси z около 8 млн лет назад, и демонстрируют в настоящий момент расширение.
Рис. 4. Вертикальное распределение 17 звезд с z < –25 пк и их траектории (a), 9 звезд с z > –25 пк и их траектории (б). Траектории кинематических центров, которые вычислены по звездам этих выборок, показаны зеленым цветом
На рис. 5 даны зависимости скоростей U, V, W от координат x, y, z для выборки из 9 звезд, отобранных при условии z > -25 пк. На панелях (a) и (i) красными линиями показаны найденные по этим данным методом наименьших квадратов зависимости, соответствующие градиентам ∂U/∂x = 159±36 км/с/кпк и ∂W/∂z = 120 ± 14 км/с/кпк. Указаны границы доверительных областей, соответствующих уровню 1s. Других значимо отличающихся от нуля градиентов по этим звездам не обнаружено. На основе соотношения (4) с использованием двух найденных градиентов можем оценить коэффициент угловой скорости расширения этой звездной группировки в плоскости xz:
Рис. 5. Зависимости скоростей U, V, W от координат x, y, z для выборки из 9 звезд с z > -25 пк (б)
, (6)
и найти промежуток времени, прошедший от начала расширения звездной системы до настоящего момента, t = 977.5/Kxz:
. (7)
На рис. 6 даны зависимости скоростей U, V, W от координат x, y, z для выборки из 17 звезд, отобранных при условии z < -25 пк. По звездам этой выборки методом наименьших квадратов был найден только один значимо отличающийся от нуля градиент, ∂W/∂z = 707 ± 248 км/с/кпк. Соответствующая зависимость дана красной линией на рис. 6(и), где доверительная область не показана, так как она слишком широка. Соответствующее значению этого градиента время, прошедшее от начала расширения вдоль оси z звездной системы до настоящего момента, составляет:
. (8)
Рис. 6. Зависимости скоростей U, V, W от координат x, y, z для выборки из 17 звезд с z < -25 пк (б)
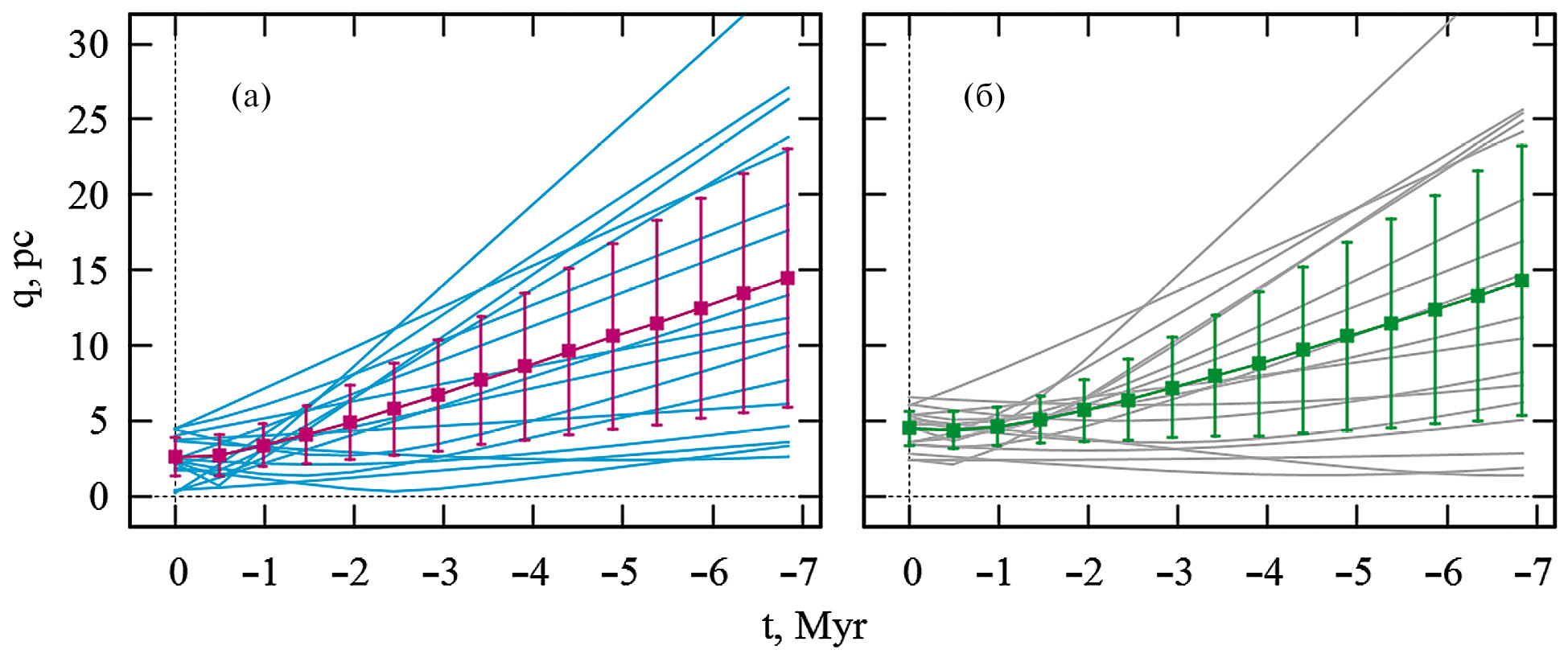
На рис. 7 даны орбиты выборки из 9 звезд с z > -25 пк, построенные для двух вариантов кинематического центра. На рис. 7(a) использованы параметры кинематического центра, вычисленные по 9 звездам выборки. На рис. 7(б) были использованы параметры кинематического центра, вычисленные по всем 26 звездам ассоциации. В обоих случаях хорошо виден прогиб линии средних значений в районе 5 млн лет, а в случае рис. 7(б) прогиб более отчетливый. Однако на панели (a) меньшие значения дисперсий в каждом интервале. Анализ показанных на рисунке средних значений и их дисперсий дает возможность оценить момент времени, при котором размер звездной системы в прошлом был минимальным. В итоге было найдено значение
. (9)
Рис. 7. Зависимость параметра q от времени для выборки из 9 звезд с z > -25 пк, орбиты которых построены с использованием кинематического центра, вычисленного по этим 9 звездам (a), и с параметрами кинематического центра, полученными по всем 26 звездам ассоциации (б)
Здесь ошибка момента t была найдена в результате статистического моделирования методом Монте-Карло. При этом предполагалось, что орбиты звезд построены с ошибками 10%, распределенными по нормальному закону.
На рис. 8 даны орбиты выборки из 17 звезд с z < -25 пк. Из анализа показанных на рисунке средних значений и их дисперсий получена величина промежутка времени, прошедшего с того момента, когда размер системы был минимальным:
. (10)
Рис. 8. Зависимость параметра q от времени выборки из 17 звезд с z < -25 пк, орбиты которых построены с использованием кинематического центра, вычисленного по этим 17 звездам (a), и с параметрами кинематического центра, полученными по всем 26 звездам ассоциации (б)
Так же как и при вычислении результата (9), ошибка момента t была найдена в результате статистического моделирования методом Монте-Карло в предположении о том, что орбиты звезд построены с ошибками 10%, распределенными по нормальному закону. Наибольший интерес представляет именно эта группировка молодых звезд, так как найденные для них оценки (8) и (10) сильно отличаются от результатов оценок характерного возраста ассоциации ε Cha, 5–7 млн лет, полученных другими авторами (отмечены нами во Введении).
ЗАКЛЮЧЕНИЕ
Изучена выборка из вероятных членов ассоциации ε Cha. На основе списка звезд-кандидатов из работы [1] составлена рабочая выборка из 26 звезд. Эти звезды снабжены тригонометрическими параллаксами, собственными движениями из каталога Gaia DR3, а также лучевыми скоростями, взятыми из литературных источников.
Для оценки кинематического возраста ассоциации ε Cha были: a) построены орбиты звезд назад в прошлое и определен момент, когда звездная группировка имела минимальный пространственный размер; б) построены зависимости наблюдаемых скоростей U, V, W от координат x, y, z с целью выявления эффекта расширения. Это дало возможность получить оценки возраста ассоциации двумя способами, оба из которых являются кинематическими.
При анализе звездных траекторий и зависимостей скоростей от координат было установлено, что исходная выборка делится на две части. Как оказалось, обе части обладают различными кинематическими свойствами.
В первую выборку вошли 9 звезд. На основе построения орбит звезд назад в прошлое для этих звезд получена оценка возраста t = 4.9 ± 0.8 млн лет (результат (9)). Анализ зависимостей скоростей U, V, W от координат x, y, z показал наличие расширения в плоскости xz с величиной Kxz = 135 ± 19 км/с/кпк, на основе которого найден промежуток времени, прошедший от начала расширения звездной системы до настоящего момента t = 7.2 ± 1.0 млн лет (результат (7)). Видим, что обе оценки хорошо согласуются между собой в пределах найденных ошибок.
Во вторую выборку вошли 17 звезд. На основе построения орбит звезд назад в прошлое для этих звезд получена оценка возраста t = 0.2 ± 0.3 млн лет (результат (10)). Анализ зависимостей скоростей U, V, W от координат x, y, z показал наличие одного градиента, который описывает расширение вдоль оси z с величиной ∂W/∂z = 707 ± 248 км/с/кпк, на основе которого найден промежуток времени, прошедший от начала расширения этой части ассоциации ε Cha до настоящего момента t = 1.4 ± 0.5 млн лет (результат (8)). Видим и здесь неплохое согласие оценок, полученных двумя методами.
В нашей выборке использованы координаты и скорости звезд, измеренные с высокой точностью. При этом с разницей в несколько s получены различные оценки возраста для двух группировок. Можно предложить два сценария для объяснения полученных результатов. В первом случае представляется возможным вариант, когда ассоциация ε Cha состоит из двух независимых частей разного возраста. Во втором варианте обе группировки имеют общую длительную эволюцию, но более молодая могла возникнуть в результате недавней вспышки звездообразования. Оба этих сценария не противоречат тому, что звездные ассоциации имеют сложную иерархическую структуру [22, 23].
Отметим, например, что на ранних стадиях формирования звездные скопления могут подвергаться быстрой динамической эволюции, приводящей к сильным гравитационным воздействиям и выбросу «убегающих» звезд. Процессы потери звезд в окрестности звездного скопления NGC 1976 (ONC) рассмотрены в работе [24]. В работе [25] с помощью расчетов пространственного движения звезд в прошлые эпохи было сообщено об открытии «старой» звездной «реликтовой нити», связанной с областью звездообразования в Орионе.
Расчеты пространственных движений газовых облаков Орион А и Орион Б показали, что они располагались рядом друг с другом около 6 млн лет назад, а сейчас удаляются радиально из примерно одной и той же области космоса [26]. В работе [27] опубликовано исследование трехмерной структуры, кинематики и возрастного распределения ассоциации Орион на основе данных Gaia DR2.
БЛАГОДАРНОСТИ
Авторы благодарны рецензенту за полезные замечания, которые способствовали улучшению работы.
About the authors
V. V. Bobylev
Central Astronomical Observatory of the Russian Academy of Sciences
Author for correspondence.
Email: bob-v-vzz@rambler.ru
Russian Federation, Pulkovo
A. T. Bajkova
Central Astronomical Observatory of the Russian Academy of Sciences
Email: bob-v-vzz@rambler.ru
Russian Federation, Pulkovo
References
- D. A. Dickson-Vandervelde, E. C. Wilson, and J. H. Kastner, Astron. J. 161(2), id. 87 (2021).
- E.E. Mamajek, W.A. Lawson, and E.D. Feigelson, 544(1), 356 (2000).
- E.D. Feigelson, W.A. Lawson, and G.P. Garmire, 599(2), 1207 (2003).
- K.L. Luhman, 616(2), 1033 (2004).
- E. Jilinski, V. G. Ortega, and R. de la Reza, 619(2), 945 (2005).
- C. A. O. Torres, G. R. Quast, C. H. F. Melo, and M. F Sterzik, Young Nearby Loose Associations (Handbook of Star Forming Regions, Volume II: The Southern Sky ASP Monograph Publications, Vol. 5, edited by Bo Reipurth, 2008), p. 757.
- B. Lopez Marti, F. Jimenez Esteban, A. Bayo, D. Barrado, E. Solano, and C. Rodrigo, Astron. and Astrophys. 551, id. A46 (2013).
- C. Briceño and A. Tokovinin, Astron. J. 154(5), id. 195 (2017).
- K. Kubiak, K. Mužić, I. Sousa, V. Almendros-Abad, R. Kohler, and A. Scholz, Astron. and Astrophys. 650, id. A48 (2021).
- A.-R. Lyo, W. A. Lawson, and M. S. Bessell, Monthly Not. Roy. Astron. Soc. 389(3), 1461 (2008).
- L.L. Kiss, A. Moór, T. Szalai, J. Kovács, et al., Monthly Not. Roy. Astron. Soc. 411(1), 117 (2011).
- M. Fang, R. van Boekel, J. Bouwman, T. Henning, W.A. Lawson, and A. Sicilia-Aguilar, Astron. and Astrophys. 549, id. A15 (2013).
- A.G.A. Brown, A. Vallenari, T. Prusti, J.H.J. de Bruijne, et al., Astron. and Astrophys. 616, id. A1 (2018).
- A. Vallenari, A. G. A. Brown, T. Prusti, J. H. J. de Bruijne, et al., arXiv:2208.00211 [astro-ph.GA] (2022).
- A. Kunder, G. Kordopatis, M. Steinmetz, T. Zwitter, et al., Astron. J. 153(2), id. 75 (2017).
- B. Lindblad, Arkiv for Matematik, Astronomi och Fysik, Vol. 20A, No. 17 (1927).
- V.V. Bobylev and A.T. Bajkova, Astron. Letters 42(1), 1 (2016).
- R. Schönrich, J. Binney, and W. Dehnen, Monthly Not. Roy. Astron. Soc. 403(4), 1829 (2010).
- J. Holmberg and C. Flynn, Monthly Not. Roy. Astron. Soc. 352(2), 440 (2004).
- O.I. Krisanova, V.V. Bobylev, and A.T. Bajkova, Astron. Letters 46(6), 370 (2020).
- K. F. Ogorodnikov, Dynamics of stellar systems, edited by A. Beer (Oxford: Pergamon, 1965).
- S. Ratzenböck, J. E. Großschedl, T. Möller, J. Alves, I. Bomze, and S. Meingast, Astron. and Astrophys. 677, id. A59 (2023).
- S. Ratzenböck, J. E. Großschedl, J. Alves, N. Miret-Roig, et al., Astron. and Astrophys. 678, id. A71 (2023).
- M. Fajrin, J.J. Armstrong, J.C. Tan, J. Farias, and L. Eyer, arXiv:2402.12258 [astro-ph.SR] (2024).
- T. Jerabkova, H.M.J. Boffin, G. Beccari, and R.I. Anderson, Monthly Not. Roy. Astron. Soc. 489, 4418 (2019).
- J. E. Großschedl, J. Alves, S. Meingast, and G. Herbst-Kiss, Astron. and Astrophys. 647, id. A91 (2021).
- J. A. Caballero, A. de Burgos, F. J. Alonso-Floriano, A. Cabrera-Lavers, D. Garcia-Alvarez, and D. Montes, Astron. and Astrophys. 629, id. A114 (2019).
Supplementary files










