MHD modeling of the molecular filament evolution
- Authors: Sultanov I.M.1, Khaibrakhmanov S.A.2,1,3
 - 
							Affiliations: 
							
- Chelyabinsk State University
 - Saint Petersburg State University
 - Ural Federal University
 
 - Issue: Vol 101, No 1 (2024)
 - Pages: 34-41
 - Section: Articles
 - URL: https://journals.rcsi.science/0004-6299/article/view/261215
 - DOI: https://doi.org/10.31857/S0004629924010044
 - EDN: https://elibrary.ru/LFUCTV
 - ID: 261215
 
Cite item
Full Text
Abstract
We perform numerical magnetohydrodynamic (MHD) simulations of the gravitational collapse and fragmentation of a cylindrical molecular cloud with the help of the FLASH code. The cloud collapses rapidly along it’s radius without any signs of fragmentation in the simulations without magnetic field. The radial collapse of the cloud is stopped by the magnetic pressure gradient in the simulations with parallel magnetic field. Cores with high density form at the cloud’s edges during further evolution. The core densities are n ≈ 1.7×108 and 2×10-7 cm–3 in the cases with initial magnetic field strengths B = 1.9×10-4 and 6×10-4 G, respectively. The cores move toward the cloud’s centre with supersonic speeds |vz| = 3.6 and 5.3 km/s. The sizes of the cores along the cloud’s radius and cloud’s main axis are dr = 0.0075 pc and dz = 0.025 pc, dr = 0.03 pc and dz = 0.025 pc, respectively. The masses of the cores increase during the filament evolution and lie in range of ≈(10-20)Me. According to our results, the cores observed at the edges of molecular filaments can be a result of the filament evolution with parallel magnetic field.
Full Text
1. ВВЕДЕНИЕ
Современные наблюдения показывают, что межзвездные облака имеют волокнистую структуру, которая прослеживается от сверхоблаков H I до отдельных молекулярных облаков [1]. Под волокнами понимаются вытянутые структуры на картах излучения межзвездной среды. Подобные волокна могут представлять собой либо цилиндрические облака, либо плоские слои молекулярного газа, видимые с ребра [2]. Большинство протозвездных облаков, в которых происходит звездообразование, располагаются внутри волокнообразных молекулярных облаков [3]. Поэтому исследование структуры и эволюции молекулярных волокон имеет важное значение для построения теории образования звезд.
Наблюдения показывают, что характерная ширина молекулярных волокон составляет порядка 10⁻¹ пк, а длина варьируется от нескольких пк до сотен пк. Температура в волокнах лежит в диапазоне от 10 до 25 К, а плотность вещества — от 10⁴ до 10⁵ см⁻³[2].
Поляризационное картирование молекулярных облаков указывает на то, что они пронизаны крупномасштабным магнитным полем [4]. В разреженных облаках магнитное поле, как правило, направлено вдоль главной оси волокна, в плотных облаках — поперек. Согласно измерениям зеемановского расщепления линий OH и оценкам с помощью метода Чандрасекара—Ферми, установлено, что интенсивность магнитного поля волокон увеличивается с лучевой концентрацией N и лежит в диапазоне от 10–5 Гс для разреженных облаков с N = 10¹⁹ см⁻² до 10⁻³ Гс для наиболее плотных волокон с N = 10²³ см⁻².
Вопрос о природе волокнистой структуры межзвездной среды в настоящее время является открытым [5]. Предложено несколько механизмов формирования волокон на различных уровнях иерархии межзвездной среды: паркеровская и тепловая неустойчивости на масштабах спиральных рукавов Галактики, гравитационная неустойчивость протяженных слоев газа, столкновения межзвездных ударных волн в турбулентной среде, крупномасштабные анизотропные движения газа в межзвездной среде с магнитным полем. Эволюция волокон после их образования зависит от их начального состояния и внешних условий.
В уединенных однородных изотермических волокнах гравитационная фокусировка приводит к образованию плотных ядер на концах волокна. Данный механизм иногда называется в литературе “коллапс с конца” (англ., end–dominated collapse [6]) или “фрагментация на концах” (edge fragmentation [5]). Примером такого облака является волокно S242, на концах которого наблюдаются ядра плотностью порядка 10⁵ см⁻³и размерами 1 пк [7].
Малые продольные возмущения волокон могут привести к развитию гравитационной неустойчивости [8, 9, 10]. В случае волокон без магнитного поля, неустойчивость развивается для волн, длина которых более чем в 4 раза превышает радиус однородной части волокна. Неустойчивость приводит к формированию гравитационных перетяжек и впоследствии — ядер, распределенных вдоль волокна с характерным расстоянием между ними порядка длины волны наиболее быстрорастущей моды неустойчивости. Форма ядер, образующихся в результате гравитационной фрагментации, близка к сферической [11]. Примером объекта, в котором наблюдаются признаки гравитационной фрагментации, является волокно NGC 2024S/Orion B. Ядра в этом волокне имеют размер порядка 10⁻² пк и массы ~1Me [12]. Профиль скорости вдоль волокна имеет периодический характер с длиной волны λ ~ 0.2 пк. Ядра смещены относительно максимумов скорости на λ/4, что явно указывает на гравитационную фрагментацию волокна. Другим примером подобного волокна является WB 673 [13].
С точки зрения интерпретации наблюдений особый интерес представляет моделирование фрагментации волокон с магнитным полем и определением условий их фрагментации. В работе Сейфрида и Уолш [14] с помощью численного кода FLASH выполнено моделирование эволюции волокон с учетом турбулентности и различных ориентаций магнитного поля. В зависимости от начальных условий, авторы выделили несколько режимов фрагментации волокна: фрагментация на концах, гравитационная фрагментация волокна с последующим образованием равномерно распределенных волокон, глобальный коллапс волокна по направлению к центру облака. Авторы показали, что градиент давления продольного магнитного поля поддерживает почти постоянную толщину волокна порядка 0.1 пк. Впоследствии этот вывод был подтвержден в МГД-расчетах Дудорова и Хайбрахманова [2].
В настоящей работе выполнено численное моделирование однородных молекулярных волокон с продольным магнитным полем и определены свойства ядер, образующихся в результате фрагментации на концах волокна. Основное внимание уделено влиянию магнитного поля на фрагментацию, а также на внутреннюю структуру, размеры и массы образующихся ядер.
В разделе 2 описана постановка задачи, основные уравнения и численный код FLASH, который используется для решения системы уравнений. В параграфе 3.1 приведены результаты расчетов эволюции волокна без магнитного поля и со слабым магнитным полем. Результаты расчетов с более сильным магнитным полем приведены в параграфе 3.2. В параграфе 3.3 описаны характеристики ядер, образующихся в расчетах с магнитным полем. В заключении суммированы результаты и сформированы выводы.
2. Модель
2.1. Постановка задачи
В работе моделируется гравитационный коллапс цилиндрического молекулярного облака (волокна) длиной H0 = 10 пк и радиусом r₀ = 0.2 пк. Молекулярный вес газа равен m = 2.31, температура T0 = 10 К, концентрация n0 = 10⁵ см⁻³. Линейная масса волокна M/L = 658M⊚ /пк превышает критическое значение (M/L)crit = 16.6M⊚ /пк [9, 10], т.е. волокно является гравитационно неустойчивым. Модели коллапса с учетом переноса излучения показывают, что в диапазоне концентраций n = [10⁵,10¹¹] см⁻³тепловая энергия сжимающегося газа эффективно высвечивается и температура газа остается примерно постоянной. На основе этого вывода в настоящей работе для простоты принимается, что газ характеризуется уравнением состояния с эффективным показателем адиабаты γ = 1.001, соответствующим изотермическому сжатию. Соответствующее отношение тепловой энергии к модулю гравитационной энергии εT = 0.003. Скорость звука в волокне равна cs = 0.19 км/с.
Для исследования роли магнитного поля в эволюции волокон проведены три расчета с разными значениями отношения магнитной энергии облака к его модулю гравитационной энергии: εm = 0 (расчет ГД), εm = 0.03 (расчет МГД-1), εm = 0.27 (расчет МГД-2). Соответствующие интенсивности магнитного поля равны: B = 0, 1.9×10⁻⁴, 6×10⁻⁴ Гс соответственно. В обоих случаях магнитное поле параллельно волокну. Волокно находится в равновесии по давлению с внешней средой с концентрацией и температурой n = 10⁴ см⁻³и T = 100 К. Характерное время свободного падения для выбранной плотности составляет tff ≈ 10⁵ лет.
Выясним, необходимо ли при исследовании начальных стадий сжатия волокна учитывать эффекты диффузии магнитного поля. Для этого оценим магнитное число Рейнольдса,
(1)
где v0 и l0 — характерные скорость газа и пространственный масштаб, η — коэффициент диффузии магнитного поля. В качестве l0 выберем радиус волокна r₀, в качестве характерной скорости — v0 = r₀/tff . Диссипация магнитного потока может быть обусловлена омической диффузией (ОД) или магнитной амбиполярной диффузией (МАД). Для оценок соответствующих коэффициентов используем формулы из статьи Дудорова и Хайбрахманова [15]:
(2)
где x — степень ионизации, T — температура газа, B — магнитная индукция, ρ — плотность газа, — коэффициент взаимодействия ионов массой mi = 30mH и нейтралов массой mn = μmH, где ⟨σv⟩in = 2×10⁻⁹ см³/с, mH — масса атома водорода. В рассматриваемом диапазоне плотностей степень ионизации можно оценить из баланса ионизацией космическими лучами со скоростью x и лучистыми рекомбинациями: , где ar = 6.21×10⁻¹¹T –½ см³/с — коэффициент лучистых рекомбинаций, n — концентрация газа [16].
Используя типичные параметры для межзвездной среды, получим для случая омической диффузии:
(3)
для амбиполярной диффузии:
(4)
Формулы (3) и (4) показывают, что при выбранных параметрах Rm≫1, то есть магнитное поле вморожено в газ.
2.2. Основные уравнения и методы решения
Исследуем эволюцию молекулярного волокна с помощью системы уравнений идеальной МГД:
, (5)
, (6)
(7)
(8)
(9)
(10)
где r, v и P — плотность, вектор скорости и давление газа, Ф — гравитационный потенциал, B — магнитная индукция, ε — внутренняя энергия газа, G — гравитационная постоянная, g — показатель адиабаты.
Для моделирования эволюции волокна используем численный код FLASH 4, в котором реализована технология адаптивно–встраиваемых сеток (AMR) [17]. В коде уравнения идеальной МГД (5)–(8) решаются с помощью схемы MUSCL годуновского типа [18]. Рассматривается трехмерная постановка задачи в декартовых координатах. Ось соответствует оси симметрии волокна. Размеры расчетной области в направлениях x × y × ɀ составляют 1.93 × 1.93 × 12.9 пк³, используется 7 уровней вложенности AMR-сетки. Размеры самой большой ячейки в направлениях x × y × ɀ равны 0.24 × 0.24 × 1.61 пк³, размеры самой малой — 0.0037 × 0.0037 × 0.025 пк³. Эффективное разрешение сетки на 7-м уровне вложенности составляет 512 × 512 × 512. Гравитационный потенциал находится с помощью древесного алгоритма Барнса—Хата [19].
3. Результаты расчетов
3.1. Общая картина эволюции волокна
Рис. 1. Распределение плотности волокна в плоскости x – ɀ в ГД-расчете в моменты времени t = 0 (а), 0.8tff (б), 1tff (в).
На рис. 1 приведены срезы плотностей в плоскости x - ɀ для ГД-расчета в моменты времени t = 0, 0.8tff , 1tff . Расчеты показывают, что в случае без магнитного поля волокно свободно сжимается вдоль радиуса и к моменту времени t = 1tff плотность в центре волокна вырастает на 3 порядка, толщина волокна вдоль радиуса составляет 0.004 пк. Фрагментации волокна не происходит.
Рис. 2. Распределение плотности (цветовая заливка) и линий магнитного поля (черные линии со стрелками) волокна в плоскости x – ɀ в расчете МГД-1 в моменты времени t = 0 (а), 1tff (б), 1.28tff (в).
На рис. 2 приведены срезы плотностей в плоскости x - ɀ для расчета МГД-1 в моменты времени t = 0, 1tff , 1.28tff . В расчете МГД-1 к моменту времени t = 1tff волокно сжимается до радиуса r ≈ 0.1 пк и плотности n ≈ 1.77×10⁸ см⁻³. К этому моменту времени эффективный показатель адиабаты увеличивается от 1 до 2, сжатие вдоль r останавливается градиентом магнитного давления, и в дальнейшем облако осциллирует вдоль радиуса.
На концах облака к моменту времени t = 1.28tff выделяются ядра плотностью n = 1.7×10⁸ см⁻³. Свойства ядер обсуждаются далее в разделе “Характеристики образующихся ядер”.
3.2. Влияние магнитного поля на эволюцию магнитного поля
Рис. 3. Распределение плотности и линий магнитного поля волокна в плоскости x – ɀ в расчете МГД-2 в моменты времени t = 0 (а), 1tff (б), 1.28tff (в), 1.9tff (г).
На рис. 3 приведены срезы плотностей в плоскости x – ɀ для расчета МГД-2 в моменты времени t = 0.1tff , 1.28tff , 1.9tff . В расчете МГД-2 картина коллапса качественно похожа на результаты для варианта МГД-1. Волокно сжимается до радиуса r ≈ 0.3 пк и концентрации n ≈ 2×10⁵ см⁻³к моменту времени 1tff , после чего сжатие останавливается и начинаются осцилляции волокна вдоль радиуса. Плотность образующихся на торцах волокна ядер к моменту времени 1.9tff составляет n ≈ 2×10⁷ см⁻³.
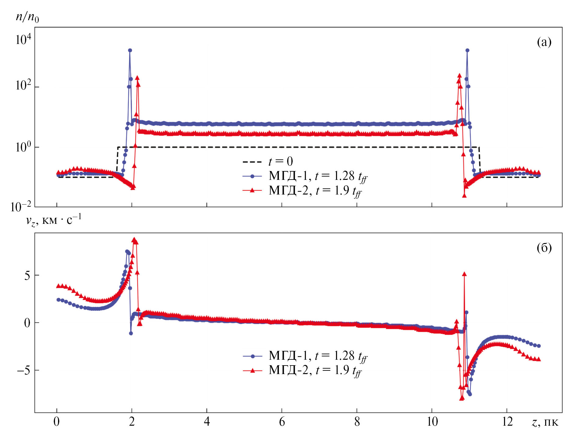
Рис. 4. Панель (а): профили плотности волокна вдоль оси ɀ для МГД-расчетов в моменты времени t = 0, 1.28tff и 1.9tff . Панель (б): профили скорости vɀ вдоль оси ɀ для МГД-расчетов в моменты времени t = 1.28tff и t = 1.9tff .
На рис. 4 показана эволюция профилей плотности и скорости вдоль волокна в МГД-расчетах. Расположение торцов волокна в момент времени t = 0 соответствует координатам ɀL = 1.6 пк и ɀR = 11.3 пк. В расчете МГД-1 к моменту времени t = 1.28tff на концах волокна (ɀL = 1.9 пк и ɀR = 11 пк) наблюдаются пики плотностей n = 1.7×10⁸ см⁻³и скоростей vɀ = 3.6 км/с. Пики соответствует ядрам, образующимся на концах волокна. Скорость левого ядра положительна, правого — отрицательна. Для данных значений скоростей число Маха составляет M = 6, то есть ядра двигаются со сверхзвуковыми скоростями навстречу друг к другу.
Рис. 5. Распределение плотности (цветовая заливка), поля скоростей (зеленые стрелки) и линий магнитного поля (черные линии со стрелками) в области формирования ядер в расчете МГД-1 в моменты времени t = 1tff (а) и 1.28tff (б).
В расчете МГД-2 плотности и скорости ядер, расположенных в момент времени t = 1.9tff на координатах ɀL = 2.15 пк и ɀR = 10.75 пк, равны соответственно n = 2×10⁸ см⁻³и | vɀ | = 5 км/с, а соответствующее число Маха равно M = 8.3.
3.3 Характеристики образующихся ядер
На рис. 5 приведено распределение плотности, линий магнитного поля и поля скоростей для расчета МГД-1 в области формирования ядер в моменты времени t = 1 и 1.28tff в плоскости x – ɀ. В силу симметрии, для примера показаны только ядра, находящиеся на “левом” торце волокна. На рис. 6 приведено аналогичное распределение для расчета МГД-2 в моменты времени t = 1.28tff и 1.9tff в плоскости x – ɀ.
Таблица 1. Характеристики ядер в МГД-расчетах
Расчет  | Время, tff  | dr , пк  | dɀ, пк  | n, см⁻³  | M, M⊚  | vɀ, км/с  | 
МГД-1  | 1.28  | 0.0075  | 0.025  | 1.7×10⁸  | 12.5  | 3.6  | 
МГД-2  | 1.28  | 0.06  | 0.025  | 5.3×10⁵  | 2.5  | 2.7  | 
1.9  | 0.03  | 0.025  | 2×10⁷  | 23.6  | 5.3  | 
Рис. 6. Распределение плотности (цветовая заливка), поля скоростей (зеленые стрелки) и линий магнитного поля (голубые изолинии) в области формирования ядер в МГД-2 расчете в моменты времени t = 1tff (а), 1.28tff (б), 1.9tff (в).
В табл. 1 приведены следующие характеристики ядер в МГД-расчетах: размеры вдоль радиуса волокна r и оси ɀ (столбцы 3 и 4), концентрация n (столбец 5), масса M (столбец 6) и скорость vɀ (столбец 7). Таблица показывает, что в расчете с большей начальной интенсивностью магнитного поля образуются ядра большего радиуса dr и меньшей плотности. Это связано с тем, что в случае большей начальной интенсивности магнитного поля усиливается влияние градиента магнитного давления на динамику волокна. Размеры ядер вдоль оси ɀ не зависят от интенсивности начального магнитного поля, так как продольное магнитное поле не препятствует сжатию вдоль волокна. Масса ядер растет в процессе их движения и достигает 12.5M⊚ в расчете МГД-1 и 23M⊚ в расчете МГД-2.
4. Заключение
В работе исследовано влияние магнитного поля на эволюцию молекулярных волокон и на характеристики ядер, формирующихся в волокнах в результате фрагментации на концах. Для этого проведено численное МГД-моделирование гравитационного коллапса цилиндрического молекулярного волокна с различными значениями продольного магнитного поля.
Расчеты подтверждают выводы ранних работ о том, что волокно без магнитного поля свободно коллапсирует вдоль своего радиуса. Фрагментации волокна и образования ядер за время коллапса не происходит, поскольку коллапс вдоль радиуса происходит на меньшей шкале времени.
В МГД-расчетах градиент магнитного давления препятствует коллапсу и приводит к затухающим колебаниям волокна вдоль радиуса. В ходе эволюции на концах волокна образуются плотные сгустки (ядра), которые передвигаются к центру облака со сверхзвуковыми скоростями в диапазоне от 3 до 5 км/с. В облаках с большей начальной интенсивностью образуются ядра больших размеров и меньшей плотности, поскольку с увеличением интенсивности увеличивается влияние градиента давления магнитного поля вдоль радиуса. Масса ядер увеличивается в процессе эволюции волокна и лежит в диапазоне » H(10–20)Me.
Проведенные расчеты указывают, что коллапс с конца является естественным результатом эволюции волокна с продольным магнитным полем. Можно предположить, что волокна, в которых уплотнения наблюдаются только на концах (пр., [7]), поддерживаются от гравитационной фрагментации продольным магнитным полем. Дополнительную поддержку против гравитации может оказывать турбулентность в волокне [14, 20].
Дальнейшее развитие представленной модели предполагает моделирование эволюции волокон с учетом их неоднородности, а также вращения и/или внутренней турбулентности. Особый интерес представляет исследование гравитационной фрагментации волокна с продольным магнитным полем в рамках механизма гравитационных перетяжек Чандрасекара—Ферми [8].
ФИНАНСИРОВАНИЕ
Работа выполнена при финансовой поддержке Фонда перспективных научных исследований ЧелГУ (проект 2023/7). Расчеты проводились на вычислительном кластере Челябинского государственного университета. С. А. Хайбрахманов выражает благодарность за финансирование в рамках гос. задания по проекту FEUz-2020-0038.
КОНФЛИКТ ИНТЕРЕСОВ
Авторы данной работы заявляют, что у них нет конфликта интересов.
About the authors
I. M. Sultanov
Chelyabinsk State University
							Author for correspondence.
							Email: syltahof@yandex.ru
				                					                																			                												                	Russian Federation, 							Chelyabinsk						
S. A. Khaibrakhmanov
Saint Petersburg State University; Chelyabinsk State University; Ural Federal University
														Email: syltahof@yandex.ru
				                					                																			                												                	Russian Federation, 							Saint Petersburg; Chelyabinsk; Yekaterinburg						
References
- P. André, J. Di Francesco, D. Ward-Thompson, S.-I. Inutsuka, R. E. Pudritz, and J. E. Pineda, Protostars and Planets VI, edited by H. Beuther, R. S. Klessen, C. P. Dullemond, and T. Henning, (Tucson: University of Arizona Press, 2014), p.27.
 - A. E. Dudorov and S. A. Khaibrakhmanov, Open Astronomy 26(1), 285 (2017).
 - V. Konyves, P. André, A. Men’shchikov, P. Palmeirim, et al., Astron. and Astrophys. 584, id. A91 (2015).
 - D. Ward-Thompson, K. Pattle, P. Bastien, R. S. Furuya, et al., Astrophys J. 842(1), id. 66 (2017).
 - A. Hacar, S. E. Clark, F. Heitsch, J. Kainulainen, G. V. Panopoulou, D. Seifried, and R. Smith, Protostars and Planets VII, ASP Conf. Ser. 534, Proc. of a conference held 10–15 April 2023 at Kyoto, Japan; edited by Shu-ichiro Inutsuka, Y. Aikawa, T. Muto, K. Tomida, and M. Tamura (San Francisco: Astron. Soc. Pacific, 2023), p. 153.
 - P. Bastien, Astron. and Astrophys. 119(1), 109 (1983).
 - L.K. Dewangan, L.E. Pirogov, O.L. Ryabukhina, D. K. Ojha, and I. Zinchenko, Astrophys. J. 877(1), id. 1 (2019).
 - S. Chandrasekhar and E. Fermi, Astrophys. J. 118, 116 (1953).
 - J. S. Stodolkiewicz, Acta Astronomica 13, 30 (1963).
 - J. Ostriker, 140, 10⁵6 (1964).
 - Shu-ichiro Inutsuka and S. M. Miyama, 480, Astrophys. J. 681 (1997).
 - Y. Shimajiri, P. André, N. Peretto, D. Arzoumanian, E. Ntormousi, and V. Konyves, Astron. and Astrophys. 672, id. A133 (2023).
 - O.L. Ryabukhina, M. S. Kirsanova, C. Henkel, and D. S. Wiebe, Monthly Not. Roy. Astron. Soc. 517(4), 4669 (2022).
 - D. Seifried and S. Walch, Monthly Not. Roy. Astron. Soc. 452(3), 2410 (2015).
 - A.E. Dudorov and S. A. Khaibrakhmanov, Astrophys. Space Sci. 352(1), 103 (2014).
 - A. E. Dudorov and Yu. V. Sazonov, Nauchnye Informatsii 63, 68 (1987).
 - B. Fryxell, K. Olson, P. Ricker, F. X. Timmes, et. al., Astrophys. J. Suppl. 131, 273 (2000).
 - B. van Leer, J. Comput. Phys. 32(1), 101 (1979).
 - J. Barnes and P. Hut, Nature 324(6096), 446 (1986).
 - C. Federrath, R.S. Klessen, L. Iapichino, and J.R. Beattie, Nature Astron. 5, 365 (2021).
 
Supplementary files
				
			
					
						
						
						
						
				







