HIGH RESOLUTION OPTICAL SPECTRA OF THE DORMANT LBV STAR P Cyg
- Authors: Klochkova V.G.1, Panchuk V.E.1, Tavolzhanskaya N.S.1
-
Affiliations:
- Special Astrophysical Observatory RAS
- Issue: Vol 100, No 12 (2023)
- Pages: 1245-1258
- Section: Articles
- URL: https://journals.rcsi.science/0004-6299/article/view/233465
- DOI: https://doi.org/10.31857/S0004629923120046
- EDN: https://elibrary.ru/CYKTJG
- ID: 233465
Cite item
Full Text
Abstract
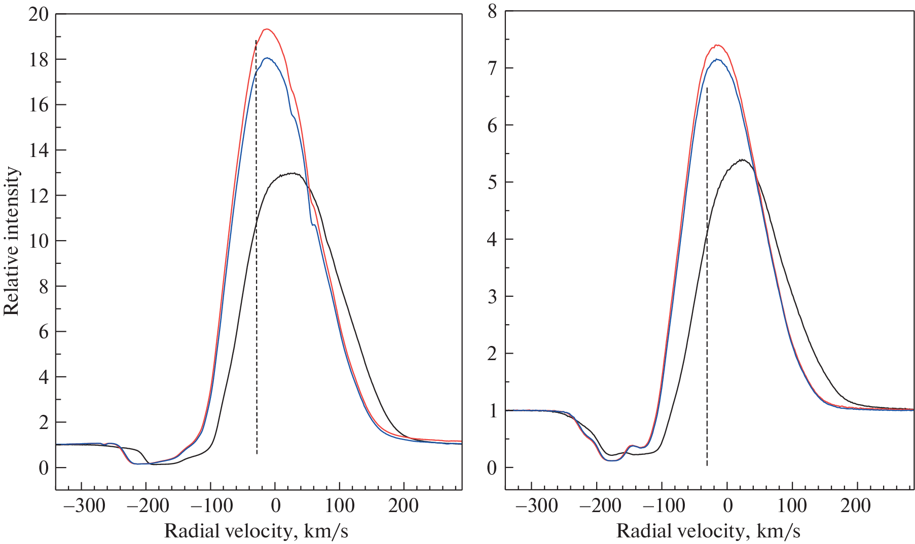
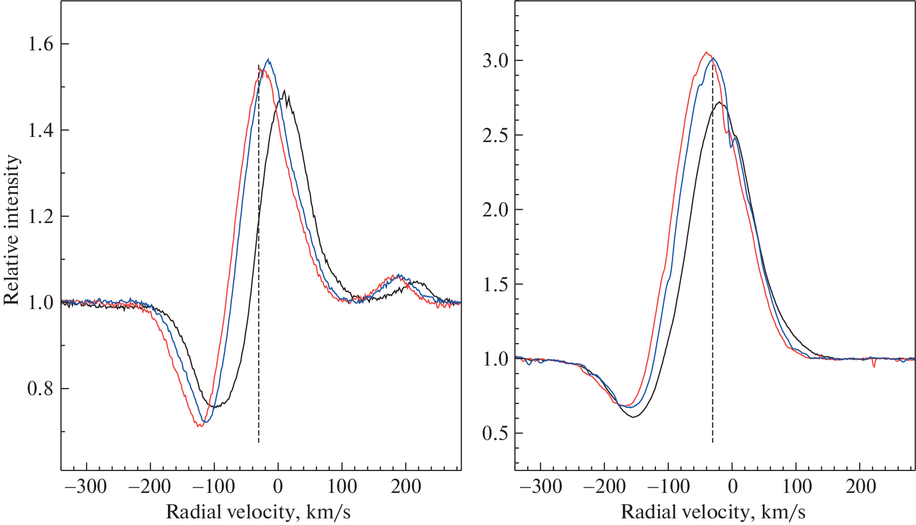
High resolution optical spectra (R = 60 000) of the dormant LBV star P Cyg were obtained on the BTA telescope in the wavelength range \(\Delta \lambda G7 = 780\) nm. After performing a detailed identification of different types lines (photospheric absorptions, permitted and forbidden emissions, components of lines with profiles of type P Cyg), we studied the variability of their profiles and patterns of radial velocities. The average radial velocity from positions of forbidden emissions ([N II] 5754.64, [Fe II] 5261.62, [Fe II] 7155.14 and [Ni II] 7377.83 Å) is accepted as the system \({{V}_{{{\text{sys}}}}} = - 34 \pm 1.4\) km/s. About a dozen photospheric absorptions of CNO-triad ions and Si III are found, their stable position, \({{V}_{r}}({\text{abs}}) = - 73.8\) km/s, shifted relative to \({{V}_{{{\text{sys}}}}}\) at \( - 40\) km/s, indicates that these absorbtions are formed in the pseudophotosphere region. The high-excitation emissions ([O I] 5577, 6300, 6363 Å, [O III] 4959 and 5007 Å, as well as He II 4686 Å) are absent in the spectra. The radial velocity \({{V}_{r}}({\text{DIBs}}) = - 11.8\) km/s according to the position of numerous DIBs is consistent with the position of the interstellar components of the D-lines Na I and K I forming in the galactic Perseus arm. An excess of color \(E(B - V) = 0.34 \pm {{0.03}^{m}}\) and interstellar absorption \({{A}_{v}}{{ = 1.09}^{m}}\) were determined by measurements of equivalent widths of nine DIBs.
Keywords
About the authors
V. G. Klochkova
Special Astrophysical Observatory RAS
Author for correspondence.
Email: Valentina.R11@yandex.ru
Russia, Nizhnij Arkhyz
V. E. Panchuk
Special Astrophysical Observatory RAS
Email: Valentina.R11@yandex.ru
Russia, Nizhnij Arkhyz
N. S. Tavolzhanskaya
Special Astrophysical Observatory RAS
Email: Valentina.R11@yandex.ru
Russia, Nizhnij Arkhyz
References
- M. de Groot, Bull. Astron. Inst. Netherland 20, 225 (1969).
- P. S. Conti, in Observational Tests of the Stellar Evolution Theory, IAU Symp. № 105, held in Geneva, Switzerland, September 12–16, 1983, edited by A. Maeder and A. Renzini (Dordrecht, The Netherlands: D. Reidel Publishing Co., 1984), p. 233 (1984).
- R. M. Humphreys and K. Davidson, Publ. Astron. Soc. Pacific 106, 1025 (1994).
- G. Israelian and M. de Groot, Space Sci. Rev. 90 (3/4), 493 (1999).
- W. W. Campbell, Astrophys. J. 2, 177 (1895).
- A. A. Belopolsky, Astrophys. J. 10 (12), 319 (1899).
- P. W. Merrill, Lick Observ. Bull. 8, 24 (1913).
- W. S. Adams and P. W. Merrill, Astrophys. J. 125, 102 (1957).
- C. de Jager and G. Israelian, New Astronomy 8 (5), 475 (2003).
- F. Najarro, D. J. Hillier, and O. Stahl, Astron. and Astrophys. 326, 1117 (1997).
- N. Markova and I. Kolka, An atlas of spectral line profiles of P Cygni in 1981–83 (Tallinn: Valgus, 1989).
- O. Stahl, H. Mandel, B. Wolf, Th. Gaeng, A. Kaufer, R. Kneer, Th. Szeifert, and F. Zhao, Astron. and Astrophys. Suppl. Ser. 99, 167 (1993).
- O. Stahl, B. Wolf, Th. Gaeng, A. Kaufer, H. Mandel, Th. Szeifert, and F. Zhao, Astron. and Astrophys. Suppl. Ser. 107, 1 (1994).
- N. Markova and I. Kolka, Astrophys. Space Sci. 141, 45 (1988).
- K. Weis and D. Bomans, Galaxies 8, 20 (2020).
- D. G. Turner, A. Horsford, M. Heysmour, and W. Feibelman, J. AAVSO 29(2), 73 (2001).
- L. Mahy, C. Lanthermann, D. Hutsemekers, J. Kluska, et al., Astron. and Astrophys. 657, id. A4 (2022).
- H. G. L. M. Lamers, in Luminous stars and associations in galaxies (Dordrecht: D. Reidel Publishing Co., 1986), Proc. of IAU Symp. 116, 157 (1986).
- R. H. de Gent and H. G. L. M. Lamers, Astron. and Astrophys. 158, 335 (1986).
- В. Е. Панчук, В. Г. Клочкова, М. В. Юшкин, Астрон. журн. 94, 808 (2017).
- М. В. Юшкин, В. Г. Клочкова, Препринт Спец. Астрофиз. Обсерв. No. 206 (2005).
- G. A. Galazutdinov, Astrophys. Bull. 77 (4), 519 (2022).
- E. L. Chentsov, V. G. Klochkova, and A. S. Miroshnichenko, Astrophys. Bull. 65 (2), 150 (2010).
- V. G. Klochkova and E. L. Chentsov, Astrophys. Bull. 71 (1), 33 (2016).
- A. S. Miroshnichenko, V. G. Klochkova, E. L. Chentsov, V. E. Panchuk, M. V. Yushkin, and N. Manset, Monthly Not. Roy. Astron. Soc. 507, 879 (2022).
- V. G. Klochkova, E. S. Islentieva, and V. E. Panchuk, Astron. Rep. 66 (11), 998 (2022).
- F. Kupka, N. Piskunov, and T. Ryabchikova, Astron. and Astrophys. Suppl. Ser. 138, 119 (1999).
- N. Markova, Astron. and Astrophys. Suppl. Ser. 144, 391 (2000).
- O. Struve, Astrophys. J. 81, 66 (1935).
- A. S. Miroshnichenko, Y. Fremat, L. Houziaux, Y. Andrillat, E. L. Chentsov, and V. G. Klochkova, Astron. and Astrophys. Suppl. Ser. 131, 469 (1998).
- N. Markova and M. de Groot, Astron. and Astrophys. 326, 1111 (1997).
- N. Markova and R. Zamanov, Astron. and Astrophys. Suppl. Ser. 111, 499 (1995).
- A. Nota, M. Livio, M. Clampin, and R. Schulte-Ladbeck, Astrophys. J. 448, 788 (1995).
- M. J. Barlow, J. E. Drew, J. Meaburn, and R. M. Massey, Monthly Not. Roy. Astron. Soc. 268, L29 (1994).
- N. Smith and P. Hartigan, Astrophys. J. 638, 1045 (2006).
- J. P. Vallo, Astron. J. 135, 1301 (2005).
- E. L. Chentsov, V. G. Klochkova, and N. S. Tavolganskaya, Astrophys. Bull. 48(1), 25 (1999).
- M. Mizumoto, N. Kobayashi, S. Hamano, Y. Ikeda, et al., Monthly Not. Roy. Astron. Soc. 481, 793 (2018).
- A. S. Miroshnichenko, V. G. Klochkova, K. S. Bjorkman, and V. E. Panchuk, Astron. and Astrophys. 390, 627 (2002).
- L. B. Lucy, Astron. and Astrophys. 294, 555 (1995).
- V. G. Klochkova, E. L. Chentsov, and V. E. Panchuk, Astrophys. Bull. 63 (2), 112 (2008).
- J. Kos and T. Zwitter, Astrophys. J. 774, id. 72 (2013).
- V. G. Klochkova, E. L. Chentsov, and V. E. Panchuk, Monthly Not. Roy. Astron. Soc. 292, 19 (1997).
- A. Frasca, A. S. Miroshnichenko, C. Rossi, M. Friedjung, E. Marilli, G. Muratorio, and I. Busá, Astron. and Astrophys. 585, id. A60 (2016).
- V. G. Klochkova and E. L. Chentsov, Astron. Rep. 62 (1), 19 (2018).
Supplementary files











