Аэрономическая модель водородно-гелиевых верхних атмосфер горячих экзопланет-гигантов
- Авторы: Жилкин А.Г.1, Гладышева Ю.Г.1, Шематович В.И.1, Бисикало Д.В.1,2
-
Учреждения:
- Учреждение Российской академии наук Институт астрономии Российской академии наук
- Национальный центр физики и математики
- Выпуск: Том 100, № 12 (2023)
- Страницы: 1190-1209
- Раздел: СТАТЬИ
- URL: https://journals.rcsi.science/0004-6299/article/view/233458
- DOI: https://doi.org/10.31857/S0004629923120149
- EDN: https://elibrary.ru/CRYQRS
- ID: 233458
Цитировать
Полный текст
Аннотация
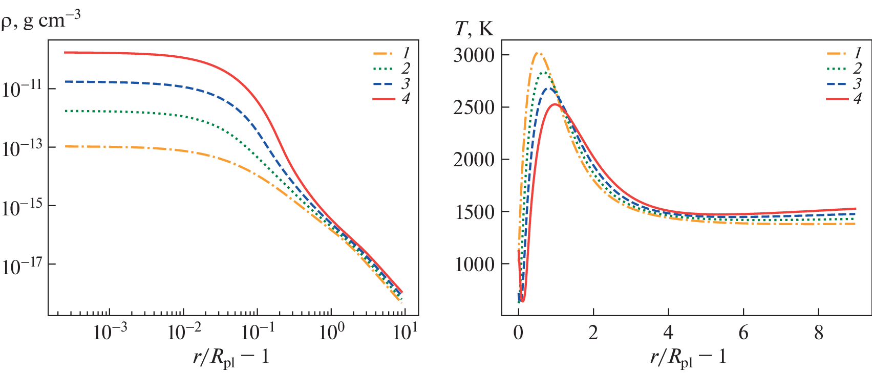
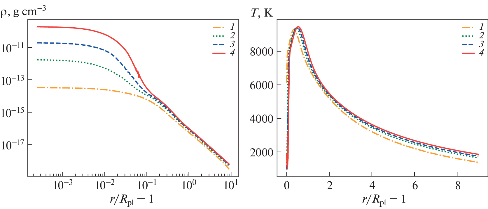
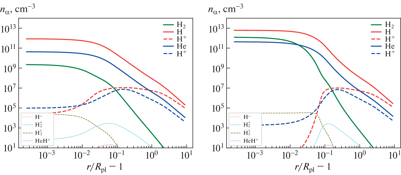
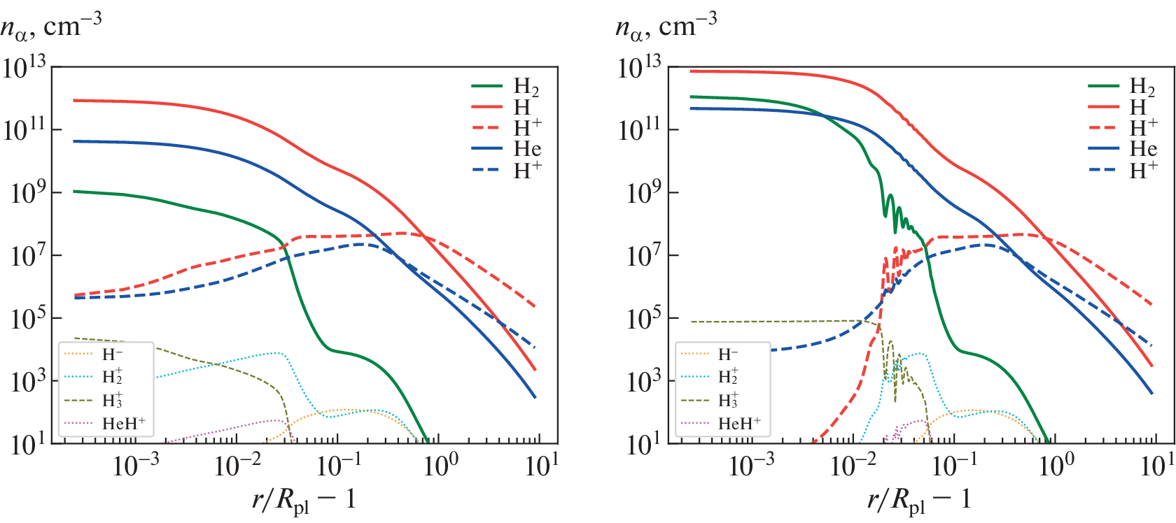
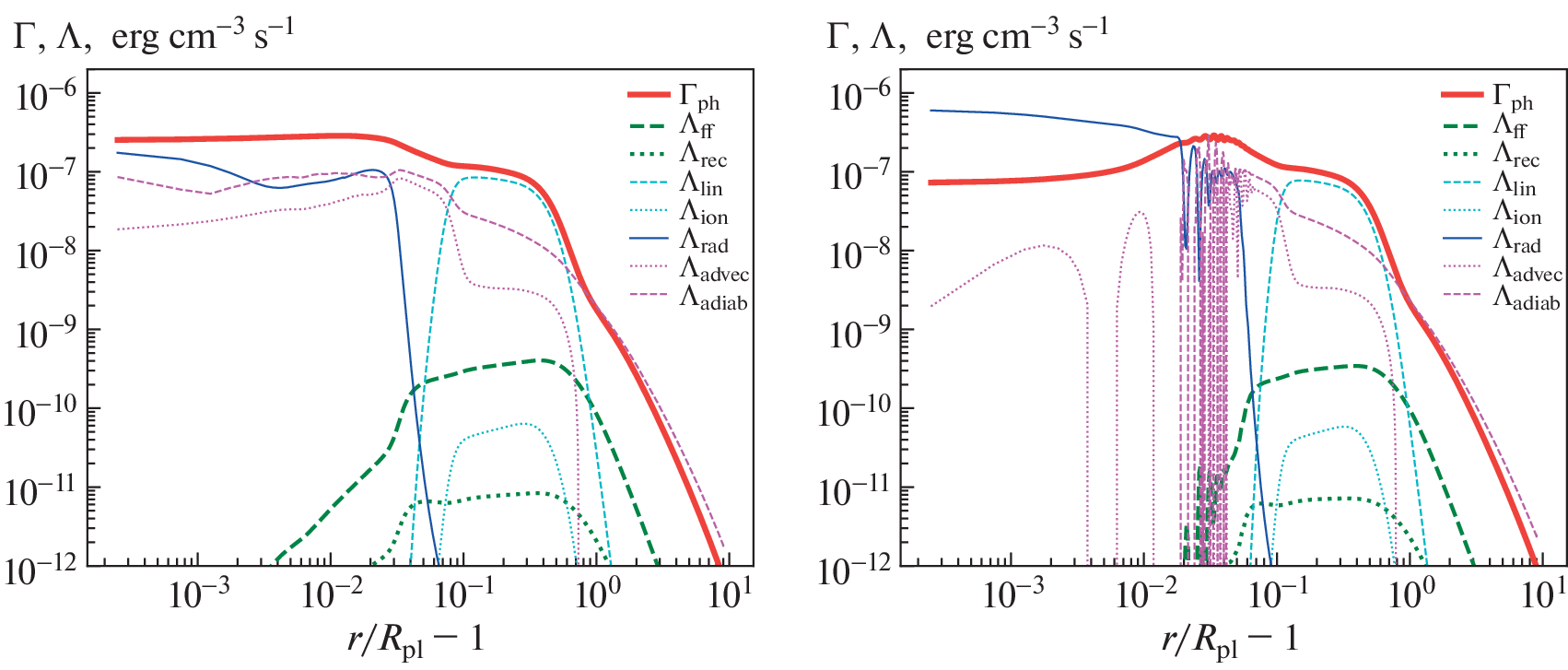
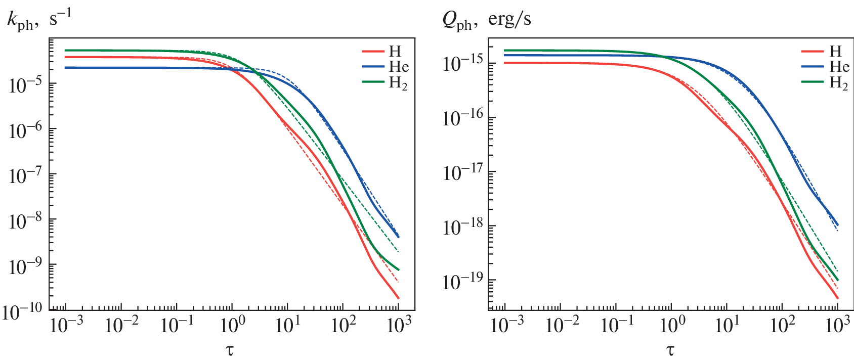
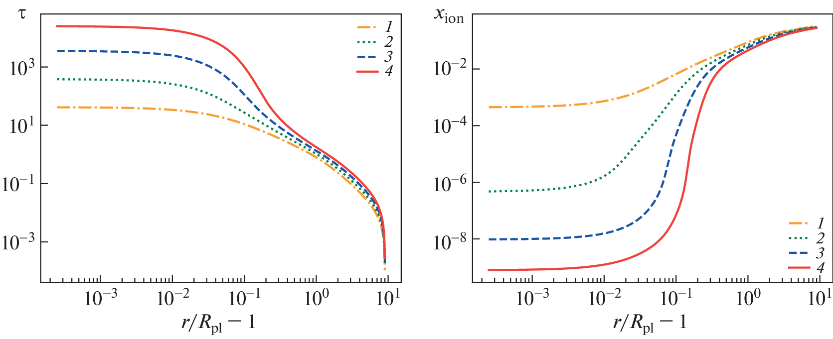
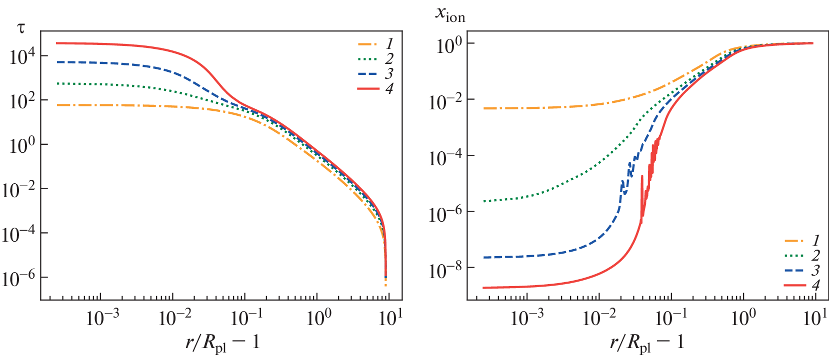
В работе представлена одномерная аэрономическая модель водородно-гелиевых верхних атмосфер горячих экзопланет-гигантов, основанная на приближении одножидкостной многокомпонентной гидродинамики. Учитываются химические реакции и процессы нагрева-охлаждения. В качестве примера приложения модели рассмотрены типичные горячий юпитер и теплый нептун. Расчеты проведены для различных значений газового давления на фотометрическом радиусе планеты. В полученных решениях формируется трансзвуковой планетный ветер, приводящий к гидродинамическому оттоку атмосферы с темпами потери массы порядка \(3.5 \times {{10}^{{10}}}\) г/с для горячего юпитера и \(3.7 \times {{10}^{9}}\) г/с для теплого нептуна. При этом внешние слои атмосферы горячего юпитера оказываются полностью ионизованными, в то время как атмосфера теплого нептуна в основном состоит из нейтрального газа. В некоторых вариантах модели горячего юпитера в глубоких слоях атмосферы развивается неустойчивость, которая может приводить к формированию специфического облачного слоя.
Ключевые слова
Об авторах
А. Г. Жилкин
Учреждение Российской академии наук Институт астрономии Российской академии наук
Автор, ответственный за переписку.
Email: zhilkin@inasan.ru
Россия, Москва
Ю. Г. Гладышева
Учреждение Российской академии наук Институт астрономии Российской академии наук
Email: zhilkin@inasan.ru
Россия, Москва
В. И. Шематович
Учреждение Российской академии наук Институт астрономии Российской академии наук
Email: zhilkin@inasan.ru
Россия, Москва
Д. В. Бисикало
Учреждение Российской академии наук Институт астрономии Российской академии наук; Национальный центр физики и математики
Email: zhilkin@inasan.ru
Россия, Москва; Россия, Саров
Список литературы
- N. Madhusudhan, M. Agundez, J. L. Moses, and Y. Hu, Space Sci. Rev. 205 (1–4), 285 (2016).
- L. D. Deming and S. Seager, J. Geophys. Res. Planets 122, 53 (2017).
- R. Hobbs, O. Shorttle, N. Madhusudhan, and P. Rimmer, Monthly Not. Roy. Astron. Soc. 487, 2242 (2019).
- R. I. Dawson and J. A. Johnson, Ann. Rev. Astron. Astrophys. 56, 175 (2018).
- S.-J. Paardekooper and A. Johansen, Space Sci. Rev. 214, 38 (2018).
- S. Dash, M. Liton, K. Willacy, S.-M. Tsai, et al., Astrophys. J. 932, id. 20 (2022).
- B. Drummond, P. Tremblin, I. Baraffe, D. S. Amundsen, N. J. Mayne, O. Venot, and J. Goyal, Astron. and Astrophys. 594, id. A69 (2016).
- S.-M. Tsai, J. R. Lyons, L. Grosheintz, P. B. Rimmer, D. Kitzmann, and K. Heng, Astrophys. J. Suppl. 228 (2), id. 20 (2017).
- E. K. H. Lee, S.-M. Tsai, M. Hammond, and X. Tan, Astron. and Astrophys. 672, id. A110 (2023).
- A. P. Showman, J. J. Fortney, Y. Lian, M. S. Marley, R. S. Freedman, H. A. Knutson, and D. Charbonneau, Astrophys. J. 699 (1), 564 (2009).
- J. I. Moses, C. Visscher, J. J. Fortney, A. P. Showman, et al., Astrophys. J. 737 (1), id. 15 (2011).
- B. Drummond, N. J. Mayne, J. Manners, A. L. Carter, et al., Astrophys. J. Letters 855 (2), id. L31 (2018).
- Д. В. Бисикало, В. И. Шематович, П. В. Кайгородов, А. Г. Жилкин, Успехи физ. наук 191 (8), 785 (2021).
- J. E. Owen, R. A. Murray-Clay, E. Schreyer, H. E. Schli-chting, et al., Monthly Not. Roy. Astron. Soc. 518, 4357 (2023).
- R. Yelle, H. Lammer, and W.-H. Ip, Space Sci. Rev. 139, 437 (2008).
- R. V. Yelle, Icarus 170, 167 (2004).
- A. Garcia Muñoz, Planet. Space Sci. 55 (10), 1426 (2007).
- T. T. Koskinen, M. J. Harris, R. V. Yelle, and P. Lavvas, Icarus 226, 1678 (2013).
- T. T. Koskinen, R. V. Yelle, M. J. Harris, and P. Lavvas, Icarus 226, 1695 (2013).
- I. F. Shaikhislamov, M. L. Khodachenko, Y. L. Sasunov, H. Lammer, K. G. Kislyakova, and N. V. Erkaev, Astrophys. J. 795 (2), id. 132 (2014).
- D. Bisikalo, P. Kaygorodov, D. Ionov, V. Shematovich, H. Lammer, and L. Fossati, Astrophys. J. 764 (1), id. 19 (2013).
- V. I. Shematovich, D. E. Ionov, and H. Lammer, Astron. and Astrophys. 571, id. A94 (2014).
- D. E. Ionov, Y. N. Pavlyuchenkov, and V. I. Shematovich, Monthly Not. Roy. Astron. Soc. 476, 5639 (2018).
- A. Garcia Muñoz, Icarus 392, id. 115373 (2023).
- H. Lammer, J. F. Kasting, E. Chassefiere, R. E. Johnson, Y. N. Kulikov, and F. Tian, Space Sci. Rev. 139 (1–4), 399 (2008).
- B. J. Fulton, E. A. Petigura, A. W. Howard, H. Isaacson, et al., Astron. J. 154 (3), id. 109 (2017).
- T. Mazeh, T. Holczer, and S. Faigler, Astron. and Astrophys. 589, id. A75 (2016).
- T. A. Berger, D. Huber, E. Gaidos, and J. L. van Saders, Astrophys. J. 866, id. 99 (2018).
- J. E. Owen, I. F. Shaikhislamov, H. Lammer, L. Fossati, and M. L. Khodachenko, Space Sci. Rev. 216 (8), id. 129 (2020).
- A. Vidal-Madjar, A. Lecavelier des Etangs, J.-M. Desert, G. E. Ballester, et al., Nature 422, 143 (2003).
- J. L. Linsky, H. Yang, K. France, C. S. Froning, J. C. Green, J. T. Stocke, and S. N. Osterman, Astrophys. J. 717, 1291 (2010).
- A. Lecavelier des Etangs, V. Bourrier, P. J. Wheatley, H. Dupuy, et al., Astron. and Astrophys. 543, id. L4 (2012).
- L. Ben-Jaffel and G. E. Ballester, Astron. and Astrophys. 553, id. A52 (2013).
- D. Ehrenreich, V. Bourrier, P. J. Wheatley, A. Lecavelier des Etangs, et al., Nature 522 (7557), 459 (2015).
- V. Bourrier, A. Lecavelier des Etangs, D. Ehrenreich, J. Sanz-Forcada, et al., Astron. and Astrophys. 620, id. A147 (2018).
- J. J. Spake, D. K. Sing, T. M. Evans, A. Oklopić, et al., Nature 557 (7703), 68 (2018).
- D. K. Sing, P. Lavvas, G. E. Ballester, A. Lecavelier des Etangs, et al., Astron. J. 158 (2), id. 91 (2019).
- J. E. Owen, Ann. Rev. Earth and Planet. Sci. 47, 67 (2019).
- J. M. Chadney, T. T. Koskinen, M. Galand, Y. C. Unruh, and J. Sanz-Forcada, Astron. and Astrophys. 608, id. A75 (2017).
- M. Lampón, M. López-Puertas, L. M. Lara, A. Sánchez-López, et al., Astron. and Astrophys. 636, id. A13 (2020).
- T. T. Koskinen, P. Lavvas, C. Huang, G. Bergsten, R. B. Fer-nandes, and M. E. Young, Astrophys. J. 929 (1), id. 52 (2022).
- R. O. P. Loyd, T. T. Koskinen, K. France, C. Schneider, and S. Redfield, Astrophys. J. Letters 834 (2), id. L17 (2017).
- M. Mansfield, J. L. Bean, A. Oklopić, L. Kreidberg, et al., Astrophys. J. Letters 868 (2), id. L34 (2018).
- H. Lammer, F. Selsis, I. Ribas, E. F. Guinan, S. J. Bauer, and W. W. Weiss, Astrophys. J. 598 (2), L121 (2003).
- D. Kubyshkina, L. Fossati, N. V. Erkaev, P. E. Cubillos, et al., Astrophys. J. Letters 866 (2), id. L18 (2018).
- E. D. Lopez, J. J. Fortney, and N. Miller, Astrophys. J. 761, id. 59 (2012).
- J. E. Owen and Y. Wu, Astrophys. J. 847, id. 29 (2017).
- L. Ben-Jaffel, Astrophys. J. 671, L61 (2007).
- L. Ben-Jaffel and S. Sona Hosseini, Astrophys. J. 709, 1284 (2010).
- A. Vidal-Madjar, J. Desert, A. Lecavelier des Etangs, G. Hérard, et al., Astrophys. J. 604 (1), L69 (2004).
- A. Oklopić and C. M. Hirata, Astrophys. J. Letters 855(1), id. L11 (2018).
- E. N. Parker, Astrophys. J. 128, 664 (1958).
- R. A. Murray-Clay, E. I. Chiang, and N. Murray, Astrophys. J. 693, 23 (2009).
- J. H. Guo, Astrophys. J. 733, id. 98 (2011).
- D. E. Ionov, V. I. Shematovich, and Ya. N. Pavlyuchenkov, Astron. Rep. 61, 387 (2017).
- F. Tian, O. B. Toon, A. A. Pavlov, and H. De Sterck, Astrophys. J. 612, 1049 (2005).
- T. Penz, N. V. Erkaev, Yu. N. Kulikov, D. Langmayr, et al., Planet. Space Sci. 56 (9), 1260 (2008).
- T. T. Koskinen, J. Y-K. Cho, N. Achilleos, and A. D. Aylward, Astrophys. J. 722, 178 (2010).
- A. S. Arakcheev, A. G. Zhilkin, P. V. Kaigorodov, D. V. Bi-sikalo, and A. G. Kosovichev, Astron. Rep. 61, 932 (2017).
- A. G. Zhilkin and D. V. Bisikalo, Astron. Rep. 63, 550 (2019).
- A. G. Zhilkin, D. V. Bisikalo, and P. V. Kaygorodov, Astron. Rep. 64, 259 (2020).
- A. G. Zhilkin and D. V. Bisikalo, Astron. Rep. 64, 563 (2020).
- A. G. Zhilkin and D. V. Bisikalo, Universe 7, 422 (2021).
- A. G. Zhilkin, Astron. Rep. 67, 307 (2023).
- A. G. Zhilkin, Y. G. Gladysheva, and D. V. Bisikalo, I-NASAN Sci. Rep. 8, 26 (2023).
- D. McElroy, C. Walsh, A. J. Markwick, M. A. Cordiner, K. Smith, and T. J. Millar, Astron. and Astrophys. 550, id. A36 (2013).
- G. B. Trammell, P. Arras, and Z.-Y. Li, Astrophys. J. 728, id. 152 (2011).
- Y. B. Zel’dovich and Y. P. Raizer, Physics of shock waves and high-temperature hydrodynamic phenomena, edited by W. D. Hayes and R. F. Probstein (New York: Acad. press, 1967).
- W. F. Huebner and J. Mukherjee, Planet. Space Sci. 106, 11 (2015).
- T. N. Woods, G. J. Rottman, S. M. Bailey, S. C. Solomon, and J. R. Worden, Solar Phys. 177 (1–2), 133 (1998).
- L. Spitzer, Astrophys. J. 109, 337 (1949).
- N. G. Bochkarev, Fundamentals of Interstellar medium Physics (Moscow: MSU Press, 1992).
- A. Dalgarno and R. A. McCray, Ann. Rev. Astron. Astrophys. 10, 375 (1972).
- L. Spitzer, Physical processes in the interstellar medium (New York: Wiley-Interscience, 1978).
- S. Miller, T. Stallard, J. Tennyson, and H. Melin, J. Phys. Chem. A 117, 9770 (2013).
- Д. В. Бисикало, А. Г. Жилкин, А. А. Боярчук, Газодинамика тесных двойных звезд (М.: Физматлит, 2013).
- Y. G. Gladysheva, A. G. Zhilkin, and D. V. Bisikalo, I-NASAN Sci. Rep. 7, 195 (2022).
- E. N. Parker, Astrophys. J. 132, 821 (1960).
- R. S. Steinolfson and F. J. Hundhausen, J. Geophys. Res. 93, 14269 (1988).
- I. I. Roussev, T. I. Gombosi, and I. V. Sokolov, Astrophys. J. 595, L57 (2003).
- T. L. Totten, J. W. Freeman, and S. Arya, J. Geophys. Res. 100, 13 (1995).
- G. B. Field, Astrophys. J. 142, 531 (1965).
- T. Yoneyama, Publ. Astron. Soc. Japan 25, 349 (1973).
- C. K. Harada, E. M.-R. Kempton, E. Rauscher, M. Roman, I. Malsky, M. Brinjikji, and V. DiTomasso, Astrophys. J. 909 (1), id. 85 (2021).
- C. Helling, arXiv:2205.00454 [astro-ph.EP] (2022).
- D. V. Bisikalo and V. I. Shematovich, Astron. Rep. 59, 836 (2015).
- A. A. Boyarchuk, B. M. Shustov, I. S. Savanov, M. E. Sach-kov, et al., Astron. Rep. 60, 1 (2016).
Дополнительные файлы













