SPECTRAL SURVEY OF THE STAR FORMATION REGION DR21OH IN THE 4-mm WAVELENGTH RANGE
- Authors: Kalenskii S.V.1, Mikheeva E.A.1,2
-
Affiliations:
- Physical Institute of P.N. Lebedev RAS, Astrospace Center
- Lomonosov Moscow State University, Sternberg Astronomical Institute
- Issue: Vol 100, No 12 (2023)
- Pages: 1162-1189
- Section: Articles
- URL: https://journals.rcsi.science/0004-6299/article/view/233456
- DOI: https://doi.org/10.31857/S0004629923120034
- EDN: https://elibrary.ru/DAVJRY
- ID: 233456
Cite item
Full Text
Abstract
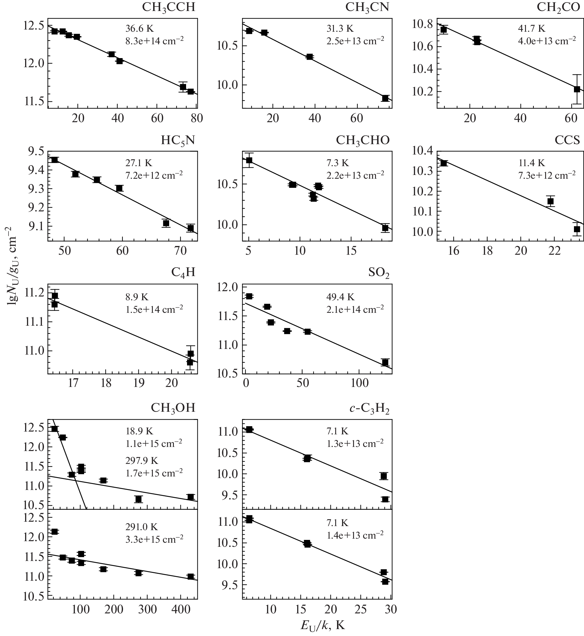
The results of a spectral survey of the star-forming region DR21OH in the 4 mm wavelength range are presented. Sixty-nine molecules and their isotopologues have been detected, ranging from simple diatomic or triatomic molecules, such as SO, SiO and CCH, to complex organic species, such as CH3OCHO or CH3OCH3. A noТаблица part of the results qualitatively repeat the results of the survey of the same source at 3 mm. The inventories of molecules found at 3 and 4 mm overlap to a great extent. However, at 4 mm we found a number of species that have no allowed transitions in the 3 mm wavelength range, e.g. DCN, DNC, or SO+. The bulk of the molecules detected at 4 mm are those that are common for dense cores, e.g., HC3N or CH3CCH, but some of the detected molecules are typical for hot cores. The latter include complex organic molecules CH3OCHO, CH3CH2OH, CH3OCH3, etc. However, the detected emission of these molecules probably arise in a gas heated to 30 K only. Nine molecules, including complex species CH3C3N, CH3CH2CN, CH3COCH3, were found by spectral line stacking. This demonstrates the prospects of the method for the study of molecular clouds.
About the authors
S. V. Kalenskii
Physical Institute of P.N. Lebedev RAS, Astrospace Center
Author for correspondence.
Email: kalensky@asc.rssi.ru
Russia, Moscow
E. A. Mikheeva
Physical Institute of P.N. Lebedev RAS, Astrospace Center; Lomonosov Moscow State University, Sternberg Astronomical Institute
Email: kalensky@asc.rssi.ru
Russia, Moscow; Russia, Moscow
References
- K. L. J. Rygl, A. Brunthaler, A. Sanna, K. M. Menten, et al., Astron. and Astrophys. 539, id. A79 (2012).
- P. M. Harvey, M. Joy, D. F. Lester, and B. A. Wilking, Astrophys. J. 300, 737 (1986).
- M. Hennemann, F. Motte, N. Schneider, P. Didelon, et al., Astron. and Astrophys. 543, id. L3 (2012).
- P. M. Harvey, M. F. Campbell, and W. F. Hoffmann, Astrophys. J. 211, 786 (1977).
- J. G. Mangum, A. Wootten, and L. G. Mundy, Astrophys. J. 378, 576 (1991).
- J. G. Mangum, A. Wootten, and L. G. Mundy, Astrophys. J. 388, 467 (1992).
- S. Padin, A. I. Sargent, L. G. Mundy, N. Z. Scoville, et al., Astrophys. J. 337, 45 (1989).
- L. A. Zapata, L. Loinard, Y.-N. Su, L. F. Rodriguez, K. M. Menten, N. Patel, R. Nimesh, and R. Galván-Madrid, Astrophys. J. 744 (2), id. 86 (2012).
- J. R. Dickel, H. R. Dickel, and W. J. Wilson, Astrophys. J. 223, 840 (1978).
- K. Dobashi, T. Shimoikura, Sh. Katakura, F. Nakamura, and Y. Shimajiri, Publ. Astron. Soc. Japan 71 (SP1), id. S12 (2019).
- Y. C. Minh, H.-R. Chen, Y.-N. Su, and S.-Y. Liu, J. Korean Astron. Soc. 45 (6), 157 (2012).
- R. Genzel and D. Downes, Astron. and Astrophys. Suppl. Ser. 30, 145 (1977).
- R. P. Norris, R. S. Booth, P. J. Diamond, and N. D. Porter, Monthly Not. Roy. Astron. Soc. 201, 191 (1982).
- W. Batrla, P. Pratap, and L. E. Snyder, Astrophys. J. Letters 330, L67 (1988).
- S.-P. Lai, J. M. Girart, and R. M. Crutcher, Astrophys. J. 598 (1), 392 (2003).
- M. T. Orozco-Aguilera, A. Hernández-Gómez, and L. A. Zapata, Astron. J. 157(1), id. 20 (2019).
- С. В. Каленский, Л. Е. Б. Юханссон, Астрон. журн. 87 (4), 335 (2010).
- S. V. Kalenskii, R. I. Kaiser, P. Bergman, A. O. H. Olofsson, K. D. Degtyarev, and P. Golysheva, Astrophys. J. 932 (1), id. 5 (2022).
- F. J. Lovas, J. E. Bass, R. A. Dragoset, and K. J. Olsen, NIST Recommended Rest Frequencies for Observed Interstellar Molecular Microwave Transitions. 2009 Revision, version 3.0. National Institute of Standards and Technology, Gaithersburg, MD 20899 (2009), http://physics.nist.gov/restfreq .
- H. S. P. Müller, F. Schlöder, J. Stutzki, and G. Winnewisser, J. Molecular Structure 742 (1–3), 215 (2005).
- H. S. P. Müller, S. Thorwirth, D. A. Roth, and G. Winnewisser, Astron. and Astrophys. 370, L49 (2001).
- H. M. Pickett, R. L. Poynter, E. A. Cohen, M. L. Delitsky, J. C. Pearson, and H. S. P. Müller, J. Quant. Spectroscop. Radiative Transfer 60, 883 (1998).
- M. Padovani, D. Galli, and A. E. Glassgold, Astron. and Astrophys. 501, 619 (2009).
- G. A. Blake, E. C. Sutton, C. R. Masson, and T. G. Phillips, Astrophys. J. 315, 621 (1987).
- J. Askne, B. Hoglund, A. Hjalmarson, and W. M. Irvine, Astron. and Astrophys. 130, 311 (1984).
- R. B. Loren and L. G. Mundy, Astrophys. J. 286, 232 (1984).
- F. F. S. van der Tak, J. H. Black, F. L. Schöier, D. J. Jansen, and E. F. van Dishoeck, Astron. and Astrophys. 468, 627 (2007).
- С. В. Каленский, С. Куртц, Астрон. журн. 93, 692 (2016).
- M. Agundez, J.-C. Loison, K. M. Hickson, V. Wakelam, et al., Astron. and Astrophys. 673, id. A34 (2023).
- S. Spezzano, A. Fuente, P. Caselli, A. Vasyunin, et al., Astron. and Astrophys. 657, id. A10 (2022).
- M. Rodriguez-Baras, A. Fuente, P. Riviére-Marichalar, D. Navarro-Almaida, et al., Astron. and Astrophys. 648, id. A120 (2021).
- L. E. B. Johansson, C. Andersson, J. Ellder, P. Friberg, et al., Astron. and Astrophys. 130, 227 (1984).
- С. В. Каленский, Л. Е. Б. Юханссон, Астрон. журн. 87 (12), 1176 (2010).
- S. V. Kalenskii, in Proc. of the Russian-Indian workshop on radio astronomy and star formation, October 10–12, 2016; edited by I. Zinchenko and P. Zemlyanukha, Institute of Applied Physics RAS, p. 43 (2017); arXiv:1708.06829 [astro-ph.GA].
- B. A. McGuire, A. M. Burkhardt, S. V. Kalenskii, C. N. Shingledecker, A. Remijan, E. Herbst, and M. C. McCarthy, Science 359 (6372), 202 (2018).
- R. A. Loomis, A. M. Burkhardt, C. N. Shingledecker, S. B. Charnley, et al., Nature Astron. 5, 188 (2021).
- Y.-J. Kuan, S. B. Charnley, H.-C. Huang, W.-L. Tseng, and Z. Kisiel, Astrophys. J. 593, 848 (2003).
- L. E. Snyder, F. J. Lovas, J. M. Hollis, D. N. Friedel, et al., Astrophys. J. 619, 914 (2005).
Supplementary files















