ON THE POSSIBILITY OF ESTIMATION OF THE ORBIT ECCENTRICITY OF A BINARY SYSTEM WITH AN EXOPLANET USING A TRANSIT LIGHT CURVE
- Authors: Bekesov E.V.1, Abubekerov M.K.1, Gostev N.Y.1, Cherepashchuk A.M.1
-
Affiliations:
- Lomonosov Moscow State University, Sternberg Astronomical Institute
- Issue: Vol 100, No 11 (2023)
- Pages: 964-986
- Section: Articles
- URL: https://journals.rcsi.science/0004-6299/article/view/148084
- DOI: https://doi.org/10.31857/S0004629923110014
- EDN: https://elibrary.ru/YGKUYD
- ID: 148084
Cite item
Full Text
Abstract
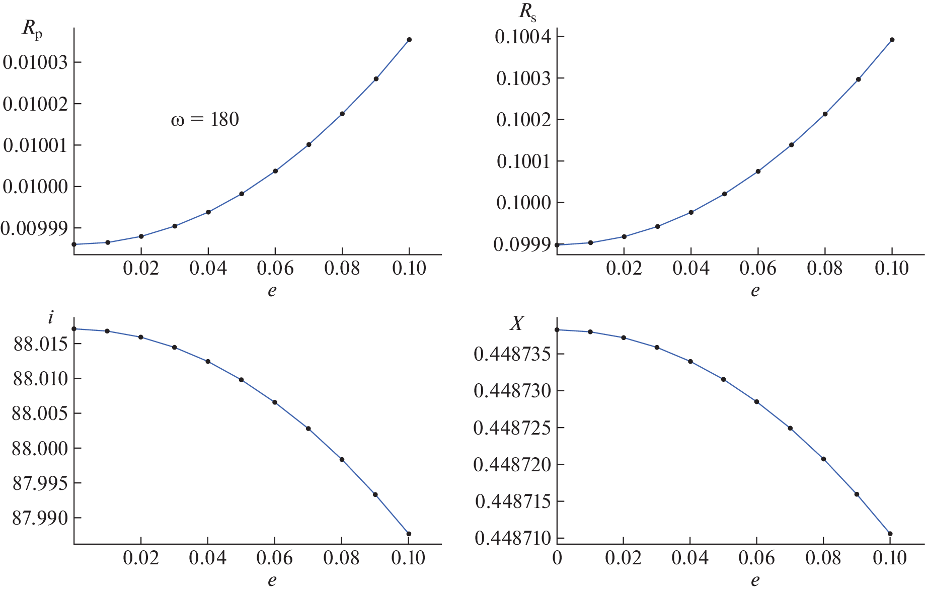
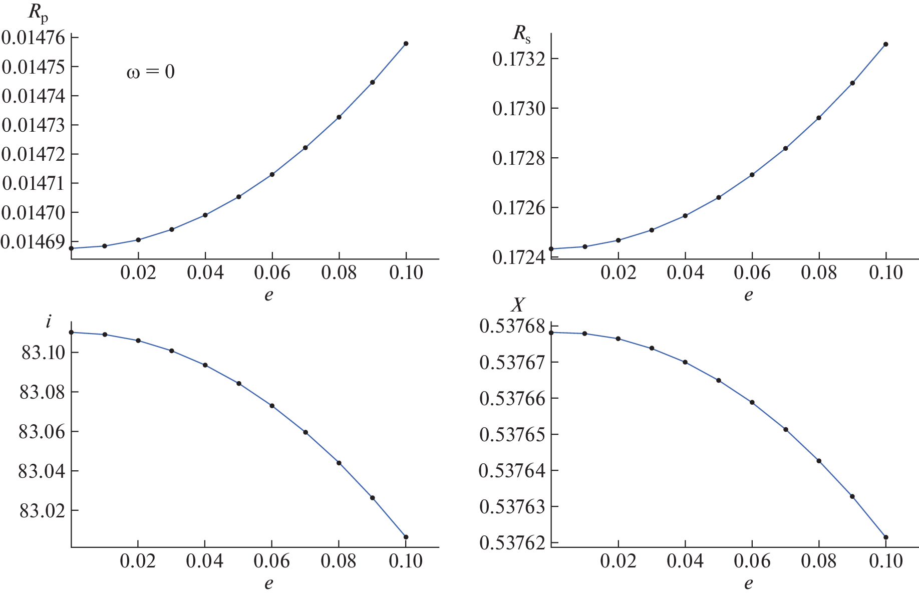
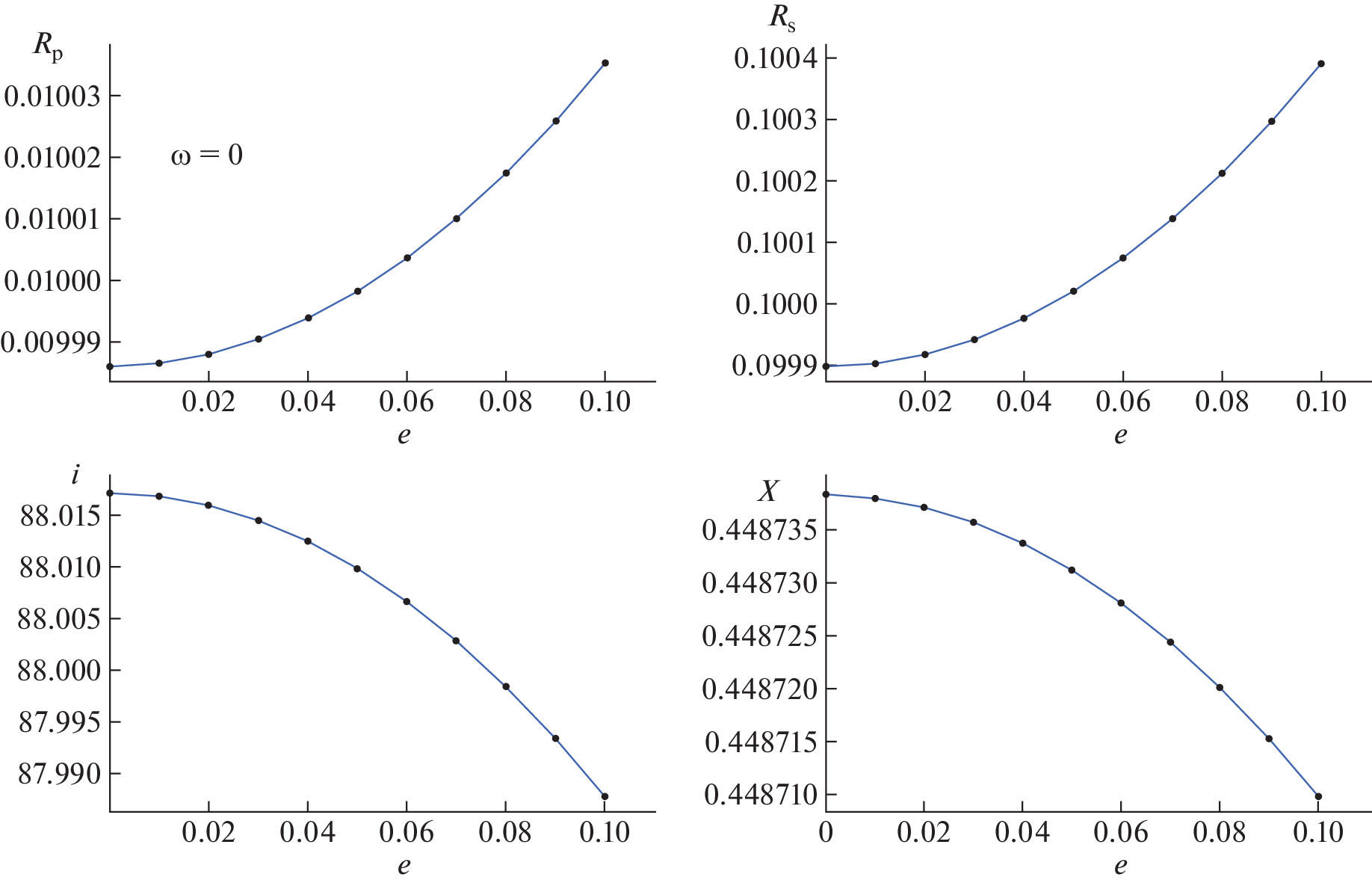
Working with both simulated and observed transit light curves, we studied a possibility of determining an orbital eccentricity of a binary star system with an exoplanet. It is shown that determining an exact eccentricity value from transit light curves is possible if a longitude of a periastron is known. In the absence of information about the longitude of periastron, analysis of the transit light curve makes it possible to impose restrictions on orbital eccentricity values. The influence of uncertainty in the orbital eccentricity on the accuracy of determination of other parameters of the system (a radius of the star, a radius of the planet, orbit inclination, and limb darkening coefficient) has been studied.
About the authors
E. V. Bekesov
Lomonosov Moscow State University, Sternberg Astronomical Institute
Email: cherepashchuk@gmail.com
Russia, Moscow
M. K. Abubekerov
Lomonosov Moscow State University, Sternberg Astronomical Institute
Author for correspondence.
Email: marat@sai.msu.ru
Russia, Moscow
N. Yu. Gostev
Lomonosov Moscow State University, Sternberg Astronomical Institute
Author for correspondence.
Email: ngostev@mail.ru
Russia, Moscow
A. M. Cherepashchuk
Lomonosov Moscow State University, Sternberg Astronomical Institute
Author for correspondence.
Email: cherepashchuk@gmail.com
Russia, Moscow
References
- A. Claret and S. Bloemen, Astron. and Astrophys. 529, id. A75 (2011).
- J. Southworth, Monthly Not. Roy. Astron. Soc. 386, 1644 (2008).
- Е. В. Бекесов, А. М. Черепащук, Астрон. журн. 100(2), 173 (2023).
- М. К. Абубекеров, Н. Ю. Гостев, А. М. Черепащук, Астрон. журн. 87(12), 1199 (2010).
- B. O. Demory, S. Seager, N. Madhusudhan, H. Kjeldsen, et al., Astrophys. J. Letters 735(1), L12 (2011).
- J. P. Zahn, Astron. and Astrophys. 57, 383 (1977).
- М. К. Абубекеров, Н. Ю. Гостев, А. М. Черепащук, Астрон. журн. 85(2), 121 (2008).
- М. К. Абубекеров, Н. Ю. Гостев, Вычисл. методы и программирование 15, 677 (2014).
- М. К. Абубекеров, Н. Ю. Гостев, А. М. Черепащук, Астрон. журн. 86(8), 778 (2009).
- M. K. Abubekerov and N. Yu. Gostev, Monthly Not. Roy. Astron. Soc. 432, 2216 (2013).
- M. K. Abubekerov and N. Yu. Gostev, Monthly Not. Roy. Astron. Soc. 459, 2078 (2016).
- M. K. Abubekerov and N. Yu. Gostev, Astron. and Astrophys. 633, id. A96 (2020).
- М. К. Абубекеров, Н. Ю. Гостев, Астрон. журн. 98(11), 922 (2021).
- Н. Ю. Гостев, Астрон. журн. 88(7), 704 (2011).
- W. Latham, W. J. Borucki, D. G. Koch, T. M. Brown, et al., Astrophys. J. 713, L140 (2010).
- Е. В. Бекесов, А. А. Белинский, С. Б. Попов, Астрон. журн. 98(12), 1043 (2021).
- A. S. Bonomo, S. Desidera, S. Benatti, and F. Borsa, A-stron. and Astrophys. 602, id. A107 (2017).
Supplementary files

























