INFLUENCE OF RADIATION FORCES ON THE OBSERVED POSITION AND EVOLUTION OF THE ORBIT OF SPACE DEBRIS OBJECTS WITH A HIGH AREA-TO-MASS RATIO
- Authors: Sannikova T.N.1
-
Affiliations:
- Crimean Astrophysical Observatory, Russian Academy of Sciences
- Issue: Vol 100, No 10 (2023)
- Pages: 898-917
- Section: Articles
- URL: https://journals.rcsi.science/0004-6299/article/view/147885
- DOI: https://doi.org/10.31857/S0004629923080091
- EDN: https://elibrary.ru/HNLPQU
- ID: 147885
Cite item
Full Text
Abstract
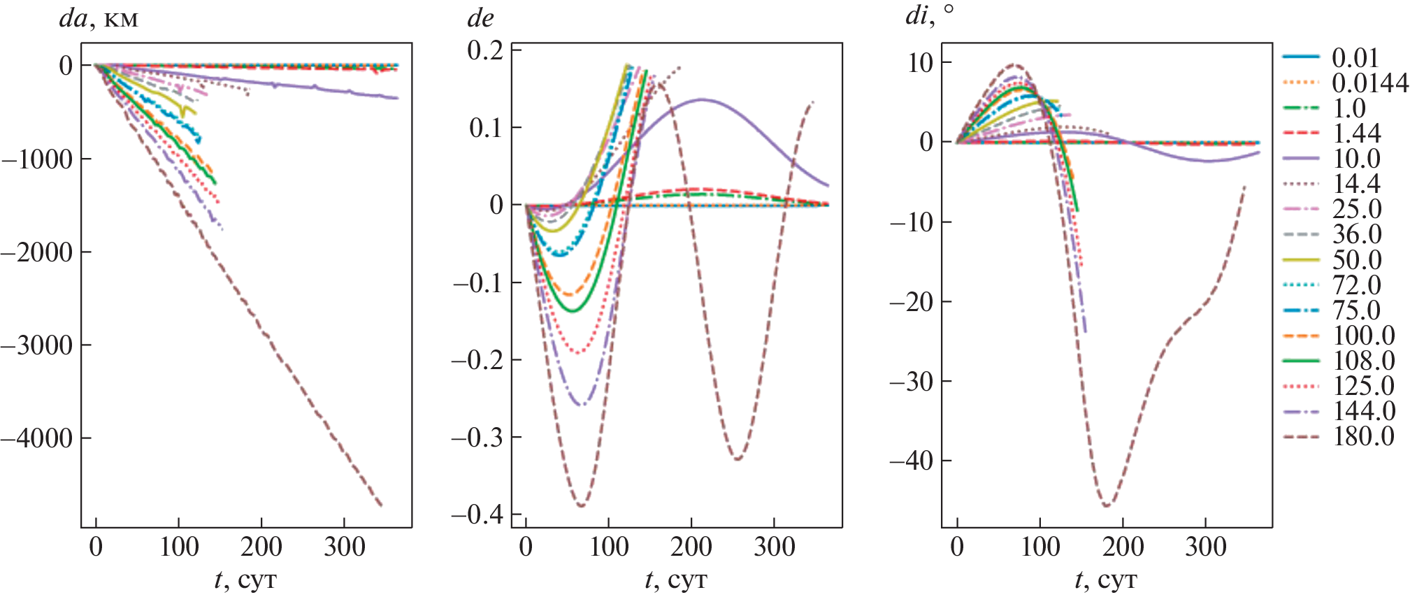
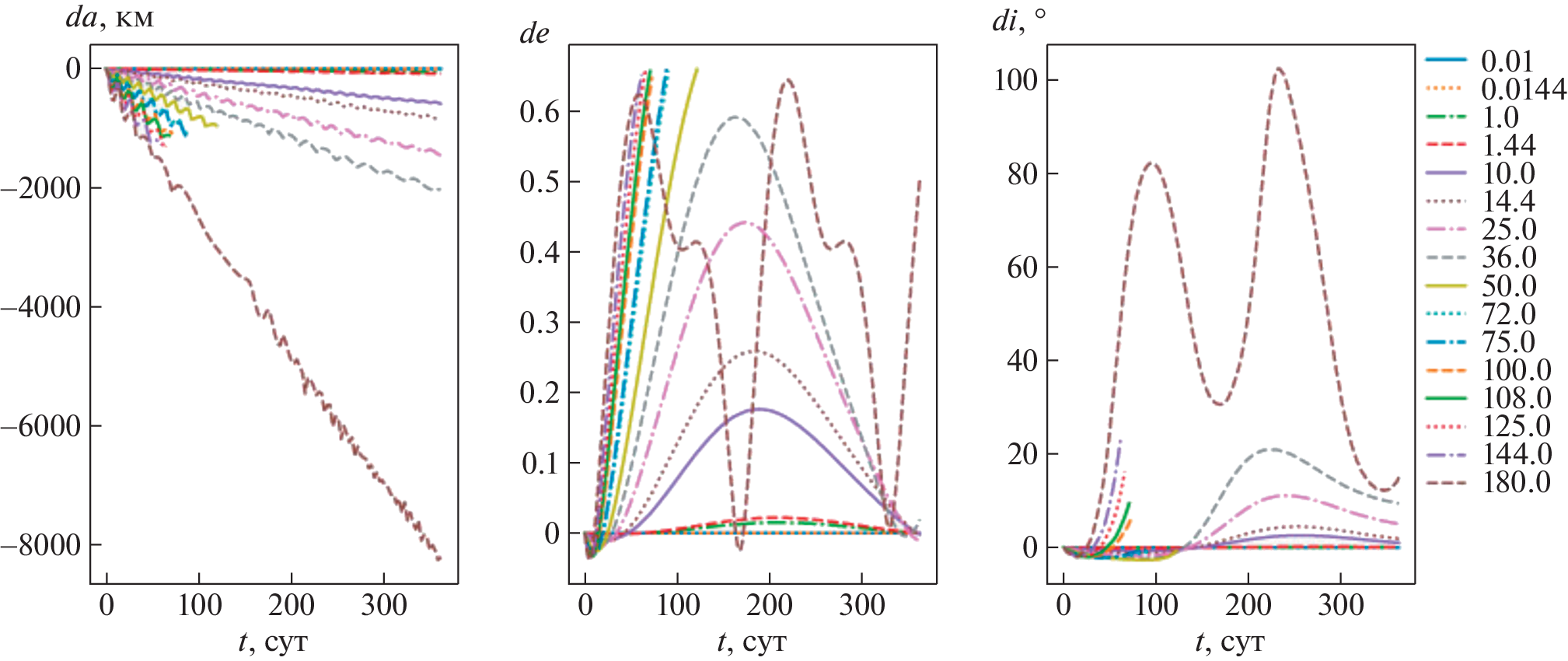
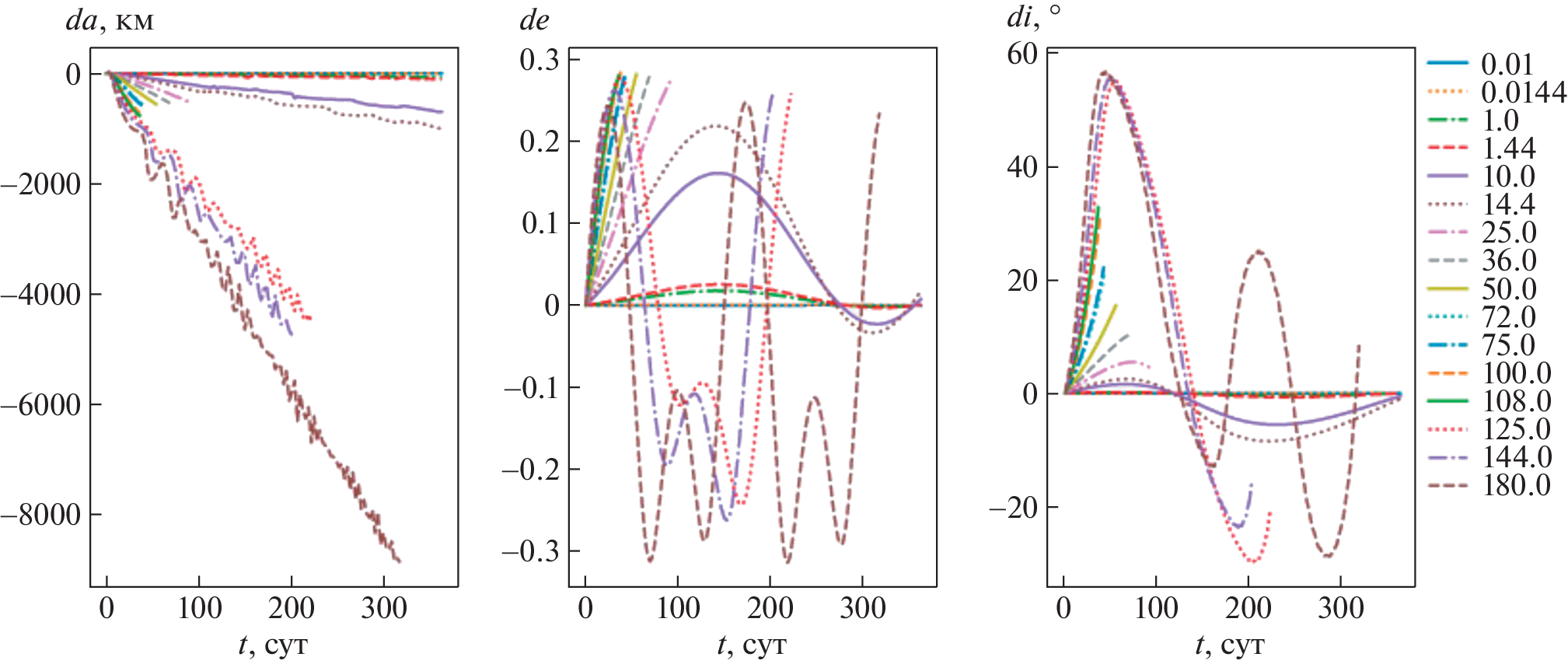
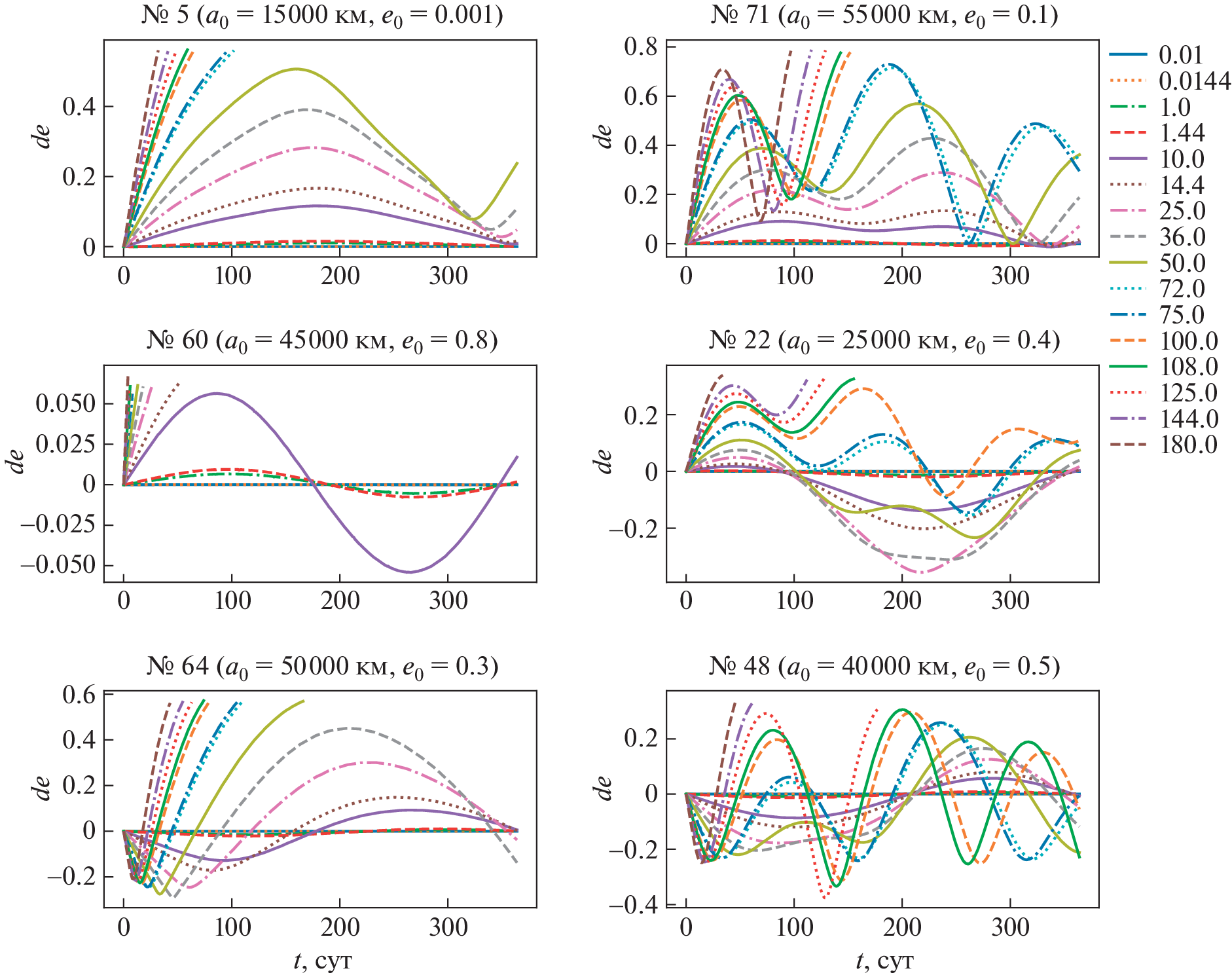
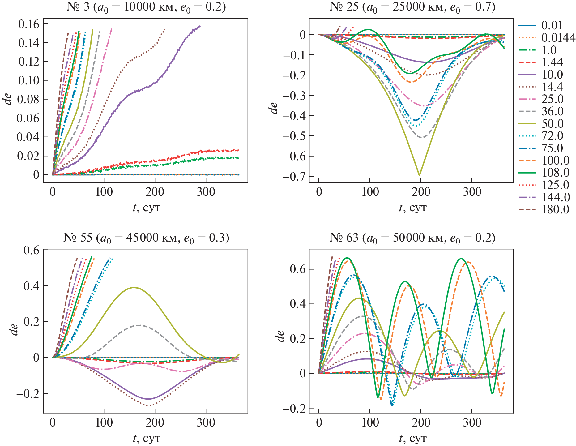
This study is devoted to assessing the effect of light pressure on the observed position and orbital elements of space debris objects with a large area-to-mass ratio \(A{\text{/}}m\) in the region of medium-high, geostationary and highly elliptical orbits over short time intervals (up to 1 year). Numerical integration of the orbits of 78 model objects was performed at 8 values of \(A{\text{/}}m\) from \(0.01\) to \(125\) m2/kg and two values of the reflection coefficient \(k = 1.0\) and 1.44. The maximum (during the given time periods) angular distances relative to the sub-satellite point on the Earth’s surface between the positions found with and without radiation forces, as well as the maximum changes in the semi-major axis, eccentricity and inclination of the orbit under the influence of radiation forces during the integration time, are determined. It is found that for all objects there is a negative drift of the semi-major axis. For models with semi-major axes of 10 000, 15 000, and 20 000km, the inclination variations do not exceed \(15^\circ \). Among other objects, at \(\gamma = kA{\text{/}}m \geqslant 50\) m2/kg, cases of transitions from direct to reverse motion (and vice versa) due to light pressure, were recorded, which indicates the possibility of flips of the orbital plane under the influence of radiation forces even in the short term. The duration of successful integration (the lifetime of an object in orbit) is given; it was less than \(1\) year for most models with \(\gamma \geqslant 50.0\) m2/kg. Also the time intervals during which the displacement of the position perturbed under the influence of radiation forces from the unperturbed one does not exceed \(5\prime \), \(45\prime \), and \(3^\circ \) are presented, depending on the value of \(\gamma \), semi-major axis, and eccentricity in the initial epoch. Based on the results of the article, it is possible to estimate the required frequency of observations of objects with large \(A{\text{/}}m\).
About the authors
T. N. Sannikova
Crimean Astrophysical Observatory, Russian Academy of Sciences
Author for correspondence.
Email: tnsannikova@craocrimea.ru
Russia, Nauchnyi
References
- ESA’s Space Debris Office at ESOC, Darmstadt. Space Debris by the numbers. (2023). https://www.esa.int/Safety_Security/Space_Debris/Space_debris_by_the_numbers
- A. Horstmann, S. Hesselbach, C. Wiedemann, S. Flegel, M. Oswald, and H. Krag, Enhancement of S/C Fragmentation and Environment Evolution Models, ESA contract No. 4000115973/15/D/SR (2020).
- ESA’s Space Debris Office at ESOC, Darmstadt. About space debris. (2023). https://www.esa.int/Space_Safety/Space_Debris/About_space_debris
- Г. Г. Ступак, Научно-практическая конференция с международным участием “Околоземная астрономия – 2022”, Москва, 18–21 апреля 2022 г. Тезисы http://www.inasan.ru/wp-content/uploads/2022/04/Abstract-Book-2022.pdf, с. 24 (2022).
- В. М. Агапов, И. Е. Молотов, Г. К. Боровин, А. И. Стрельцов, Инженерный журнал: наука и инновации № 2 (98), 6 (2020).
- ПАО МАК “Вымпел”, информационный портал. Параметры орбит новых обнаруженных высокоорбитальных объектов космического мусора. http://spacedata.vimpel.ru/ru
- R. Sun, C. Zhao, M. Zhang, and Y. Hou, Adv. Space Research 51 (11), 2136 (2013).
- L. Anselmo and C. Pardini, Adv. Space Research 43 (10), 1491 (2009).
- L. Anselmo and C. Pardini, Acta Astronautica 67 (1–2), 204 (2010).
- E. D. Kuznetsov and E. A. Avvakumova, Acta Astronautica 158, 140 (2019).
- A. J. Rosengren and D. J. Scheeres, Adv. Space Research 52 (8), 1545 (2013).
- S. Valk, N. Delsate, A. Lemaître, and T. Carletti, Adv. Space Research 43 (10), 1509 (2009).
- E. D. Kuznetsov, V. Gusev, and I. Malyutin, J. Space Safety Engineering 6 (4), 276 (2019).
- S. O. Belkin and E. D. Kuznetsov, Acta Astronautica 178, 360 (2021).
- S. Channumsin, M. Ceriotti, and G. Radice, Adv. Space Research 61 (4), 1066 (2018).
- Е. Н. Поляхова, Вестн. СПбГУ. Сер. 1: Математика. Механика. Астрономия № 4, 89 (2004).
- Э. Д. Кузнецов, Астрон. вестн. 45 (5), 444 (2011).
- В. А. Авдюшев, Численное моделирование орбит (Томск: Изд-во НТЛ, 2010).
- А. Г. Александрова, Т. В. Бордовицына, И. Н. Чувашов, Изв. ВУЗов. Физика 60 (1), 69 (2017).
- A Community Python Library for Astronomy Astropy v5.3.2. Astropy Documentation. Astronomical Coordinate Systems (astropy.coordinates). https://docs.astropy.org/en/stable/coordinates/index.html
Supplementary files














