CONFIRMATION OF THE NEW EVOLUTIONARY STATUS OF UU CAS
- Authors: Gorda S.Y.1
-
Affiliations:
- Kourovka Astronomical Observatory, Yeltsin Ural Federal University
- Issue: Vol 100, No 9 (2023)
- Pages: 785-791
- Section: Articles
- URL: https://journals.rcsi.science/0004-6299/article/view/147874
- DOI: https://doi.org/10.31857/S0004629923090050
- EDN: https://elibrary.ru/AQEYVV
- ID: 147874
Cite item
Full Text
Abstract
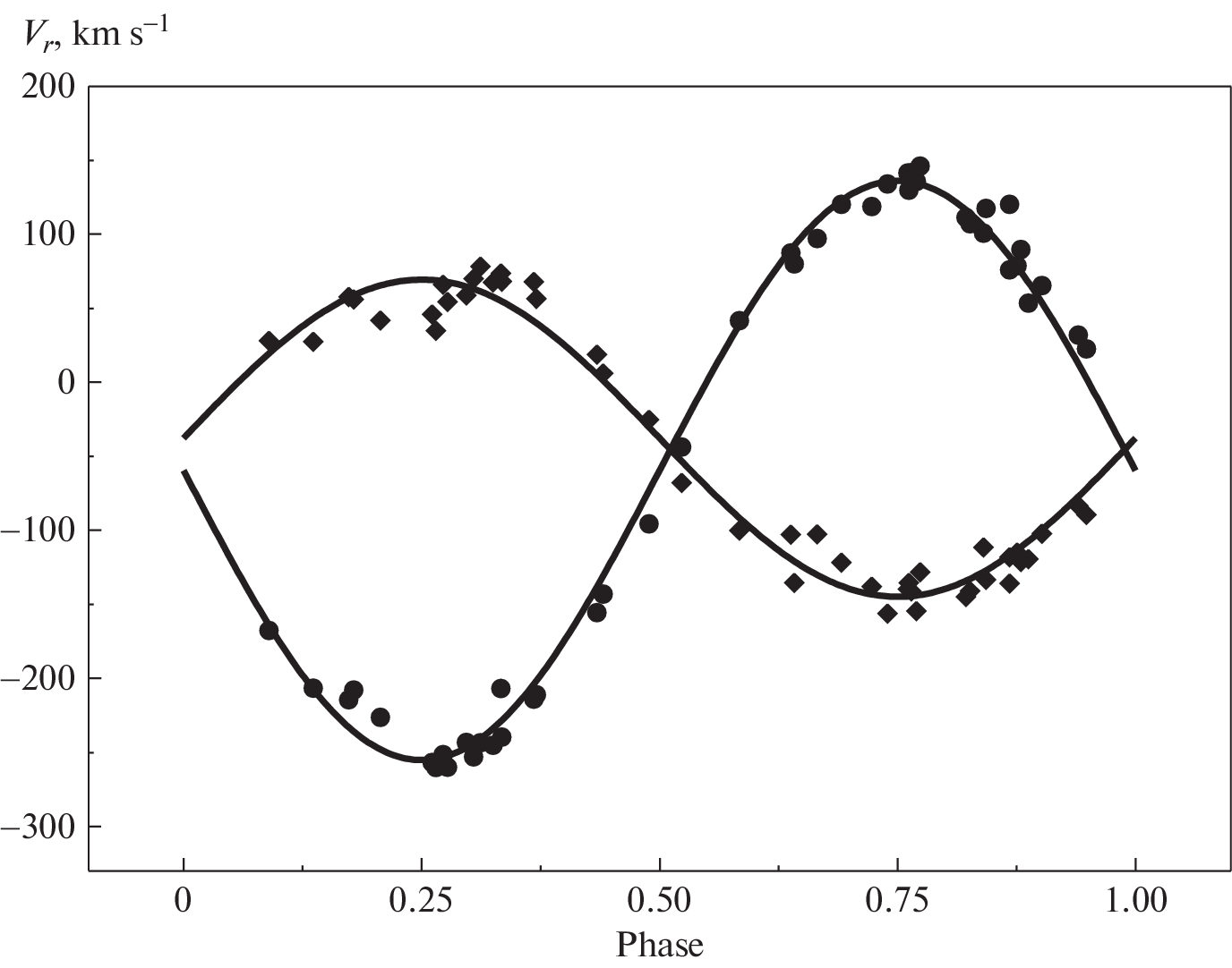
We present results of a new spectroscopic study of a close binary system with massive components UU Cas based on the spectra obtained with the echelle spectrometer on the 1.2m telescope of the UrFU Kourovka Astronomical Observatory from 2017 to 2022. The results of this study confirm the new evolutionary status of UU Cas previously determined by the author with the spectrophotometry of this system in 2017 and confirmed in a number of works by other researchers. According to these studies, the system is in the final stage of the mass exchange process, but not at its beginning, as previously thought. The components of UU Cas are not very massive, and the ratio of their masses is opposite to a ratio determined earlier from the results of photometry. The parameters of the binary system were obtained on the more extensive observational material. This new parameters differ only slightly from those obtained earlier by the author. The half-amplitudes of the radial velocities are \({{K}_{1}} = 195.6\) km s–1, \({{K}_{2}} = 106.5\) km s–1. The masses of the components are \({{M}_{1}} = 9.6\;{{M}_{ \odot }}\), \({{M}_{2}} = 17.6\;{{M}_{ \odot }}\) for the orbital inclination i = 74.5°. The orbital radius of this close binary is \(A = 54.2\;{{R}_{ \odot }}\). The paper is based on a talk presented at the astrophysical memorial seminar “Novelties in Understanding the Evolution of Binary Stars”, dedicated to the 90th anniversary of Professor M.A. Svechnikov.
Keywords
About the authors
S. Yu. Gorda
Kourovka Astronomical Observatory, Yeltsin Ural Federal University
Author for correspondence.
Email: stanislav.gorda@urfu.ru
Russia, Yekaterinburg
References
- R. F. Sanford, Astrophys. J. 79, 84 (1934).
- P. P. Parenago and B. V. Kukarkin, Peremennye Zvezdy 5, 287 (1940).
- M. I. Kumsiashvili and K. B. Chargeishvili, arXiv:0907.1047 [astro-ph.SR] (2009).
- T. S. Polushina, Astron. Rep. 46, 900 (2002).
- E. A. Antokhina and M. I. Kumsiashvili, Soviet Astron. 36, 25 (1992).
- H. Markov, I. Vince, N. Markova, and G. Djurašević, Publ. Astron. Observ. Belgrade 90, 159 (2010).
- H. Markov, N. Markova, I. Vince, and G. Djurašević, Bulgarian Astron. J. 15, 87 (2011).
- G. R. Djurašević, I. Vince, and O. Atanacković, ASP Conf. Ser. 435, 301 (2010).
- S. Y. Gorda, P. E. Zakharova, V. V. Krushinskii, and E. D. Kuznetsov, in 40th Student Sci. Conf. on Physics of Space, held in Ural Federal University, Ekaterinburg, 2011, p. 110.
- S. Y. Gorda, Astrophys. Bull. 72, 321 (2017).
- D. A. Kononov, S. Yu. Gorda, and S. Yu. Parfenov, Astrophys. J. 883, id. 186 (2019).
- R. E. Mennickent, G. Djurašević, I. Vince, J. Garcés, et al., Astron. and Astrophys. 642, id. A211 (2020).
- P. Hadrava, M. Cabezas, G. Djurašević, J. Garcés, et al., Astron. and Astrophys. 663, id. A8 (2022).
- P. Hadrava, Astron. and Astrophys. Suppl. Ser. 114, 393 (1995).
- V. E. Panchuk, M. V. Yushkin, and M. V. Yakopov, Astrophys. Bull. 66, 355 (2011).
- V. V. Krushinsky, A. A. Popov, and A. F. Punanova, As-trophys. Bull. 69, 497 (2014).
Supplementary files



