NEUTRON STARS IN A UNIFORM DENSITY APPROXIMATION
- Authors: Bisnovatyi-Kogan G.S.1,2,3, Patraman E.A.1,3
-
Affiliations:
- Space Research Institute of the Russian Academy of Sciences
- National Research Nuclear University MEPhI
- Moscow Institute of Physics and Technology
- Issue: Vol 100, No 8 (2023)
- Pages: 721-734
- Section: Articles
- URL: https://journals.rcsi.science/0004-6299/article/view/139125
- DOI: https://doi.org/10.31857/S0004629923080017
- EDN: https://elibrary.ru/HIQYGP
- ID: 139125
Cite item
Full Text
Abstract
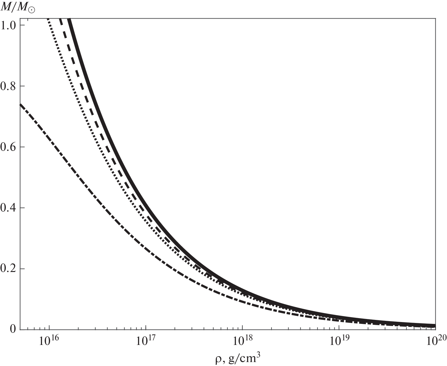
Models of neutron stars are considered in the case of a uniform density distribution. A universal algebraic equation is obtained that is valid for any equation of state. This equation allows us to find the approximate mass of a star of a given density without resorting to the integration of differential equations. Solutions for various equations of state, including more realistic ones, are presented in the paper and differ from the exact solutions obtained by numerical integration of differential equations by no more than 20%.
About the authors
G. S. Bisnovatyi-Kogan
Space Research Institute of the Russian Academy of Sciences; National Research Nuclear University MEPhI; Moscow Institute of Physics and Technology
Author for correspondence.
Email: gkogan@mx.iki.rssi.ru
Russia, Moscow; Russia, Moscow; Russia, Dolgoprudny
E. A. Patraman
Space Research Institute of the Russian Academy of Sciences; Moscow Institute of Physics and Technology
Email: gkogan@mx.iki.rssi.ru
Russia, Moscow; Russia, Dolgoprudny
References
- E. C. Stoner, London, Edinburgh, and Dublin Philosophical Magazine and Journal of Science: Ser. 7 9 (60), 944 (1930).
- R. H. Fowler, Monthly Not. Roy. Astron. Soc. 87, 114 (1926).
- J. Frenkel, Zeitschrift für Physik 50 (3–4), 234 (1928).
- Г. С. Бисноватый-Коган, Физические вопросы теории звездной эволюции (М.: Наука, 1989).
- S. Chandrasekhar, Astrophys. J. 74, 81 (1931).
- L. D. Landau, Phys. Zs. Sowjet. 1, 285 (1932).
- E. L. Schatzman, White dwarfs (Amsterdam: North-Holland Publishing Company, 1958).
- Г. С. Бисноватый-Коган, Е. А. Патраман, Астрофизика 64 (4), 551 (2021).
- Л. Д. Ландау, Е. М. Лифшиц, Теория поля (М.: Физматгиз, 2001).
- Я. Б. Зельдович, И. Д. Новиков, Теория тяготения и эволюция звезд (М.: Наука, 1971).
- J. R. Oppenheimer and G. M. Volkoff, Phys. Rev. 55, 374 (1939).
- I. S. Gradshteyn and I. M. Ryzhik, Table of integrals, series and products, edited by Yu. V. Geronimus and M. Yu. Tseytlin, (4th ed.) (New York: Academic Press, 1965).
- Л. Д. Ландау, Е. М. Лифшиц, Статистическая физика (М.: Наука, 1976).
- Н. А. Дмитриев, С. А. Холин, в кн. Вопросы космогонии, т. 9, 254 (М.: Изд-во АН СССР, 1963).
- S. H. Harrison, K. S. Thorne, M. Wakano, and J. A. Whee-ler, Gravitational theory and gravitational collapse (Univ. Chicago Press, 1965).
- G. S. Bisnovatyi-Kogan and A. V. Dorodnitsyn, Gravitation and Cosmology 4(3), 174 (1998).
- Я. Б. Зельдович, ЖЭТФ 42 (2), 641 (1962).
- Я. Б. Зельдович, ЖЭТФ 41 (5), 1609 (1962).
- Я. Б. Зельдович, Гидродинамическая устойчивость звезды, в кн. Вопросы космогонии, т. 9, 157 (М.: Изд-во АН СССР, 1963).
- Я. Б. Зельдович, И. Д. Новиков, Успехи физ. наук 86 (7), 447 (1965).
- С. Шапиро, С. Тьюкольский, Черные дыры, белые карлики и нейтронные звезды, Т. 1, 2 (М.: Мир, 1985).
- W. H. Press, S. A. Teukolsky, W. T. Vetterling, and B. P. Flannery, Numerical recipies (Cambridge University Press, 2007).
- H. A. Bethe and M. B. Johnson, Nuclear Phys. A 230, 1 (1974).
- R. C. Malone, M. B. Johnson, and H. A. Bethe, Astrophys. J. 199, 741 (1975).
- G. S. Bisnovatyi-Kogan, Astrophysics, 4 (2), 79 (1968).
Supplementary files











