NEW FORMS OF MATTER IN THE UNIVERSE
- Authors: Cherepashchuk A.M.1
-
Affiliations:
- Lomonosov Moscow State University, Sternberg Astronomical Institute
- Issue: Vol 100, No 8 (2023)
- Pages: 684-692
- Section: Articles
- URL: https://journals.rcsi.science/0004-6299/article/view/139122
- DOI: https://doi.org/10.31857/S0004629923080030
- EDN: https://elibrary.ru/HJHOLJ
- ID: 139122
Cite item
Full Text
Abstract
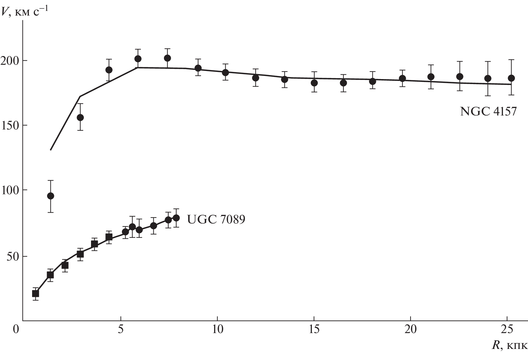
The article presents an overview of the development of our ideas about new forms of matter in the Universe.
Keywords
About the authors
A. M. Cherepashchuk
Lomonosov Moscow State University, Sternberg Astronomical Institute
Author for correspondence.
Email: astrep@pleiadesonline.com
Russia, Moscow
References
- F. Zwicky, Astrophys. J. 86, 217 (1937).
- Y. Sofue, V. Rubin, Ann. Rev Astron. and Astrophys. 39, 137 (2001).
- A.G. Riess, A.V. Filippenko, P. Challis, A. Clocchiatti et al., Astron. J. 116, 1009 (1998).
- S. Perlmutter, G. Aldering, G. Goldhaber, R.A. Knop et al., Astrophys. J. 517, 565 (1999).
- N.S. Kardashev, V.V. Khartov, V.V. Abramov, V.Yu. Av-deev et al., Astronomy Reports 57, 153 (2013).




