ASTRONOMICAL AND COSMOCHEMICAL ASPECTS OF THE LIFE ORIGIN PROBLEM
- Authors: Marov M.Y.1
-
Affiliations:
- Vernadsky Institute of Geochemistry and Analytical Chemistry of Russian Academу of Sciences
- Issue: Vol 100, No 8 (2023)
- Pages: 655-683
- Section: Articles
- URL: https://journals.rcsi.science/0004-6299/article/view/139121
- DOI: https://doi.org/10.31857/S0004629923080078
- EDN: https://elibrary.ru/HMMESR
- ID: 139121
Cite item
Full Text
Abstract
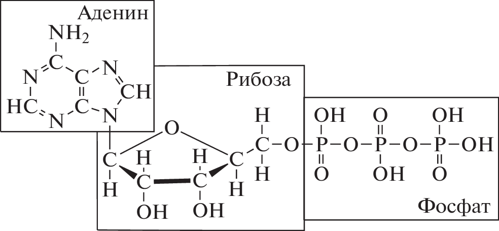
The fundamental properties of a known form of life are briefly considered, including the fundamental ideas about the chemical evolution of matter and the properties of living matter, which are based on biogeochemistry and molecular biology. The concepts underlying the modern understanding of the origin of life based on chemical and biological evolution are discussed. The basics of astrobiology and the intriguing problem of the existence of extraterrestrial intelligence and the search for life in the Universe are briefly touched upon.
About the authors
M. Ya. Marov
Vernadsky Institute of Geochemistry and Analytical Chemistry of Russian Academу of Sciences
Author for correspondence.
Email: astrep@pleiadesonline.com
Russia, Moscow
References
- В. И. Вернадский, Философские мысли натуралиста (Наука, М., 1988).
- В. И. Вернадский, Проблемы биогеохимии, вып 1. Значение биогеохимии для изучения биосферы. М.–Л., 1935.
- B. A. McGuire, Astrophys. J. Supp. 259, id. 30 (2022).
- J. T. R. Bae, R. Teague, S. M. Andrews, M. Benisty, et al., Astrophys. J. Lett. 934, L20 (2022).
- Г. А. Заварзин, Вестник РАН, 71, 988 (2001).
- В. И. Вернадский, Биосфера. Избранные сочинения. т. 5 (М., 1960).
- В. И. Вернадский, Химическое строение биосферы Земли и ее окружения (М., 1965).
- Л. А. Грибов, В. И. Баранов, От молекул к жизни (URSS, М., 2012).
- Дж. Хаггис, Д. Михи, А. Мюир, К. Робертс, П. Уокер, Введение в молекулярную биологию (М.: Мир, 1967).
- А. С. Спирин, Вестник РАН 71, 320 (2001).
- Э. М. Галимов, Феномен жизни. Между равновесием и нелинейностью. Происхождение и принципы эволюции (М.: Едиториал УРСС, 2001).
- Э. М. Галимов (ред.) Проблемы зарождения и эволюции биосферы (М.: URSS, 2008).
- И. Пригожин Конец определенности. Время, хаос и новые законы природы (R&C Dynamics, Москва-Ижевск, 2001).
- А. Г. Башкиров, Теоретическая и математическая физика 149, 299 (2006).
- А. В. Колесниченко, М. Я. Маров, Астрономический вестник 53, 436 (2019).
- Д. Рюэль Случайность и хаос (R&C Dynamics, Москва-Ижевск, 2001).
- Р. А. Лутц, М. Дж. Кенниш, Обзоры геофизики 31, 211 (1993).
- Н. В. Тимофеев-Ресовский, Н. Н. Воронцов, А. В. Яблоков, Краткий очерк теории эволюции. 2-е изд. (М.:Наука, 978).
- C. H. Lineweaver, Y. Fenner, and B. K. Gibson, The galactic habitable zone and the age distribution of complex life in the Milky Way // Science 303, 5962 (2004).
- C. Bounama, W. Von Bloh, S. Franck, How rare is complex life in the Milky Way? // Astrobiology, 7, 745756 (2007).
- М. Я. Маров, Успехи физ. наук 175, 668 (2005).
- M. Ya. Marov and S. I. Ipatov, Astrophysics and Space Science Library 261, 223 (2001).
- M. Ya. Marov and D. H. Grinspoon. The Planet Venus (Yale University Press, New Haven and London, 1998).
- М. Я. Маров, Космос. От Солнечной системы вглубь Вселенной. Изд. 3-е (Физматлит, М., 2021).
- J. S. Greaves, A. M. S. Richards, W. Bains, P. B. Rimmer, et al., Nature Astronomy 5, 655 (2021).
- D. Anfimov, A. Kozyrev, M. Litvak, A. Sanin, et al., Science 297, 78 (2002).
- I. G. Mitrofanov, M. T. Zuber, M. L. Litvak, and N. E. De-midov, Geophysical Research Letters 34, id. L18102 (2007).
- I. G. Mitrofanov, M. L. Litvak, A. B. Varenikov, Y. N. Bar-makov, Space Science Reviews 170, 559 (2012).
- D. I. Lisov, M. L. Litvak, A. B. Sanin, A. R. Vasavada, Journal of Geophysical Research: Planets, 127, id. e2022JE007327 (2022).
- D. S. McKay, E. K. Gibson, K. L. Thomas-Keprta, H. Vali, Hojatollah, et al., Science 273, 924 (1996).
- М. Я. Маров, И. И. Шевченко, Экзопланеты. Физика. Динамика. Космогония (Физматлит, М., 2022).
- V. I. Vernadsky. The Transition from the Biosphere to the Noosphere. Excepts from “Scientific Thought as a Planetary Phenomenon”. 21st Century Science &Technology, Spring-Summer 2012.
- М. Я. Маров, Ноосфера № 3, 111 (2013).
- G. Cocconi, P. Morrison, Nature 184, 844 (1959).
- В. С. Троицкий. Развитие внеземных цивилизаций и физические закономерности. В Сб.: “Проблема поиска внеземных цивилизаций”, с. 5–28 (Наука, М., 1981).
- Н. С. Кардашев. Стратегия и будущие проекты C-ETI. В Сб.: “Проблема поиска внеземных цивилизаций”, с. 29–45 (Наука, М., 1981).
- C. Sagan Pale Blue Dot (Random House, NY, 1994).
- C. B. Cosmovici, S. Bower, D. Werthimer (Eds.) Astronomical and Biochemical Origins and the Search for Life in the Universe, Editrice Compositori,1997.
- Ch. A. Beichman, in: The Astronomy Revolution: 400 Years of Exploring the Cosmos, eds D. G. York, O. Gingerich. Looking for Life, Searching the Solar System (Cambridge University Press, 2005).
- А. С. Монин, Н. И. Солнцева. Жизнь и разум (Наука, М., 2007).
- М. В. Озеров. От Гринвича до экватора (Советский писатель, М, 1984).
Supplementary files
























